A Novel Performance Evaluation Method for Gas Reservoir-Type Underground Natural Gas Storage
Abstract
1. Introduction
2. Methodology
2.1. Physical Model
- (1)
- Gas in the reservoir was the single−phase, compressible fluid, and it obeyed Darcy’s law.
- (2)
- The vertical and horizontal wells in UGS were involved in the gas injection and withdrawal processes at a constant rate.
- (3)
- The effects of gravity and temperature on gas flow were ignored.
- (4)
- The UGS formation had a closed top−to−bottom interface in the vertical direction.
- (5)
- The effects of wellbore storage and skin−on−gas flow during gas injection and withdrawal were considered.
- (6)
- Due to the gas’s compressibility, the pseudo−pressure method proposed by Al−Hussainy was used to describe the natural gas flow [46].

2.2. Mathematical Model
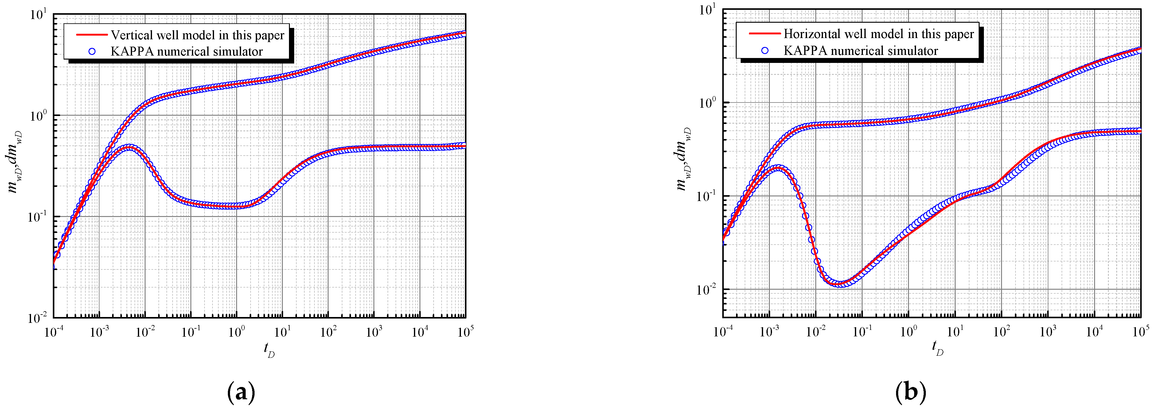
2.3. Model Validation
3. Flow Chart
- 1.
- Step 1 Inventory Parameters Evaluated by Gas Reservoir Engineering
- 2.
- Step 2: Error Sources in Error Theory
- 3.
- Step 3: Calculation of Average Formation Pressure
- 4.
- Step 4: Calculation of the Deviation Factor
4. Field Application
4.1. Geological Background
4.2. Pressure Monitoring
4.3. Model Application
- 1.
- Step 1: Inventory Parameters Evaluated by Gas Reservoir Engineering
- 2.
- Step 2: Error Sources in Error Theory
- 3.
- Step 3: Calculation of the AFP and Deviation Factor
- 4.
- Step 4: Inventory Evaluation Results
5. Summary and Conclusions
- The workflow and theoretical basis behind the method were first introduced. The flexibility and effectiveness of this method in UGS performance evaluation were illustrated. The well models based on the Laplace transform technology and the Stehfest numerical inversion method were used to match the field pressure monitoring data. By prolonging the well shut−in time, the balanced formation pressure represented by a single−well was obtained. The pressure superposition principle and weighting method of the gas injection−withdrawal rate were selected to obtain the AFP.
- The pressure monitoring results show that large−scale injection and production lead to a continuous rise of the pressure derivative curve in the middle and late stages. This reflects the formation heterogeneity caused by gas injection and production. For the Zi I layer, the AFP at the end of the gas injection and withdrawal cycle increased rapidly from 18.7 MPa and 16.3 MPa in the first cycle to 32.1 MPa and 25.4 MPa in the fourth cycle. After the fourth cycle, the AFP tended to be stable. The final AFP values of the Zi I layer were stable at around 32.9 MPa and 22.2 MPa. For the Zi II layer, the final AFP values were 32.8 MPa and 22.4 MPa.
- By using the material balance method, the inventory, effective inventory, and working gas volume were calculated. During the nine injection−withdrawal cycles in Hutubi UGS, the changes in inventory parameters could be divided into a rapid−increase stage and a steady stage. In the rapid−increase stage, the inventory, effective inventory, and working gas volume increased to 97.7 × 108 m3, 84.5 × 108 m3, and 35.7 × 108 m3, respectively, in the fourth cycle. From the fourth cycle, these three parameters began to stabilize, and the variation range was less than 11.4%. The final inventory, effective inventory, and working gas volume were 100.1 × 108 m3, 95.3 × 108 m3, and 40.3 × 108 m3, respectively.
Author Contributions
Funding
Data Availability Statement
Acknowledgments
Conflicts of Interest
Nomenclature
| Pressure, MPa | |
| Temperature, K | |
| Pseudo−pressure, MPa2/mPa·s | |
| Time, h | |
| Radial distance, m | |
| Reference length, m | |
| Permeability, mD | |
| Production rate, m3/d | |
| Compressibility, MPa−1 | |
| Laplace variable | |
| Reservoir thickness, m | |
| Deviation factor | |
| The origin position | |
| Skin factor | |
| Wellbore storage coefficient | |
| Mobility ratio | |
| Effective inventory, m3 | |
| The cumulative gas injection and production volume of a single well, m3 | |
| Total amount of produced gas, m3 | |
| Effective gas volume, m3 | |
| Working gas volume, m3 | |
| Upper limit pressure, MPa | |
| Lower limit pressure, MPa | |
| Well number | |
| Gas constant, J·mol−1·K−1 | |
| Zero order, first−class Bessel function | |
| First order, first−class Bessel function | |
| Zero order, second−class Bessel function | |
| First order, second−class Bessel function | |
| Porosity | |
| Gas viscosity, mPa·s | |
| The integral variable | |
| Dispersion ratio | |
| Molar density, kmol·m−3 | |
| Reduced density | |
| Dimensionless | |
| Initial condition | |
| Standard condition | |
| Wellbore | |
| The ending time of the gas injection stage | |
| The ending time of the gas withdrawal stage |
Appendix A. Dimensionless Variables
Appendix B. Model Solution Equation Chapter (Next) Section 1
Appendix C. Error Theory
Appendix D. Calculation of Deviation Factor
References
- Qafleshi, M.; Kryeziu, D.R.; Qafleshi, D. A Review on the Kosovo’s Challenge on Green Energy Generation and Paris Climate Agreement. 2021. Available online: https://knowledgecenter.ubt-uni.net/conference/2021UBTIC/all-events/8 (accessed on 28 November 2022).
- Cohen, R.; Eames, P.C.; Hammond, G.P.; Newborough, M.; Norton, B. Briefing: The 2021 Glasgow Climate Pact: Steps on the transition pathway towards a low carbon world. Proc. Inst. Civ. Eng.-Energy 2022, 175, 97–102. [Google Scholar] [CrossRef]
- Jia, Z.; Lin, B. How to achieve the first step of the carbon-neutrality 2060 target in China: The coal substitution perspective. Energy 2021, 233, 121179. [Google Scholar] [CrossRef]
- Wang, Y.; Guo, C.H.; Chen, X.J.; Jia, L.Q.; Guo, X.N.; Chen, R.S.; Zhang, M.S.; Chen, Z.Y.; Wang, H.D. Carbon peak and carbon neutrality in China: Goals, implementation path and prospects. China Geol. 2021, 4, 720–746. [Google Scholar] [CrossRef]
- Xu, G.; Dong, H.; Xu, Z.; Bhattarai, N. China can reach carbon neutrality before 2050 by improving economic development quality. Energy 2022, 243, 123087. [Google Scholar] [CrossRef]
- Xu, T.; Tian, H.; Zhu, H.; Cai, J. China actively promotes CO2 capture, utilization and storage research to achieve carbon peak and carbon neutrality. Adv. Geo-Energy Res. 2022, 6, 1–3. [Google Scholar] [CrossRef]
- Depledge, J.; Saldivia, M.; Peñasco, C. Glass half full or glass half empty? the 2021 Glasgow Climate Conference. Clim. Policy 2022, 22, 147–157. [Google Scholar] [CrossRef]
- Bashir, M.F.; Pan, Y.; Shahbaz, M.; Ghosh, S. How energy transition and environmental innovation ensure environmental sustainability? Contextual evidence from Top-10 manufacturing countries. Renew. Energy 2023, 204, 697–709. [Google Scholar] [CrossRef]
- Mahlia, T.M.I.; Saktisahdan, T.J.; Jannifar, A.; Hasan, M.H.; Matseelar, H.S.C. A review of available methods and development on energy storage; technology update. Renew. Sustain. Energy Rev. 2014, 33, 532–545. [Google Scholar] [CrossRef]
- Koohi-Fayegh, S.; Rosen, M.A. A review of energy storage types, applications and recent developments. J. Energy Storage 2020, 27, 101047. [Google Scholar] [CrossRef]
- Plaat, H. Underground gas storage: Why and how. Geol. Soc. Lond. Spec. Publ. 2009, 313, 25–37. [Google Scholar] [CrossRef]
- Lemieux, A.; Shkarupin, A.; Sharp, K. Geologic feasibility of underground hydrogen storage in Canada. Int. J. Hydrogen Energy 2020, 45, 32243–32259. [Google Scholar] [CrossRef]
- Li, L.; Liang, W.; Lian, H.; Yang, J.; Dusseault, M. Compressed air energy storage: Characteristics, basic principles, and geological considerations. Adv. Geo-Energy Res. 2018, 2, 135–147. [Google Scholar] [CrossRef]
- Barron, T.F. Regulatory, technical pressures prompt more US salt-cavern gas storage. Oil Gas J. 1994, 92. [Google Scholar]
- Zhang, J.; Tan, Y.; Zhang, T.; Yu, K.; Wang, X.; Zhao, Q. Natural gas market and underground gas storage development in China. J. Energy Storage 2020, 29, 101338. [Google Scholar] [CrossRef]
- Ozarslan, A. Large-scale hydrogen energy storage in salt caverns. Int. J. Hydrogen Energy 2012, 37, 14265–14277. [Google Scholar] [CrossRef]
- Soroush, M.; Alizadeh, N. Underground gas storage in a partially depleted gas reservoir. In Proceedings of the Petroleum Society’s 8th Canadian International Petroleum Conference, Calgary, AB, Canada, 12–14 June 2007. [Google Scholar] [CrossRef]
- Lysyy, M.; Fernø, M.; Ersland, G. Seasonal hydrogen storage in a depleted oil and gas field. Int. J. Hydrogen Energy 2021, 46, 25160–25174. [Google Scholar] [CrossRef]
- Goryl, L. 2012–2015 Triennium Work Reports: Working Committee 2: Underground Gas Storage WGC PARIS 2015 World Gas Conference; International Gas Union: Barcelona, Spain, 2018. [Google Scholar]
- Molíková, A.; Vítězová, M.; Vítěz, T.; Buriánková, I.; Huber, H.; Dengler, L.; Hanišáková, N.; Onderka, V.; Urbanová, I. Underground gas storage as a promising natural methane bioreactor and reservoir? J. Energy Storage 2021, 47, 103631. [Google Scholar] [CrossRef]
- Ding, G.; Li, C.; Wang, J.; Xu, H.; Zheng, Y.; Wanyan, Q.; Zhao, Y. The status quo and technical development direction of underground gas storages in China. Nat. Gas Ind. B 2015, 2, 535–541. [Google Scholar] [CrossRef]
- Tang, Y.; Long, K.; Wang, J.; Xu, H.; Wang, Y.; He, Y.; Shi, L.; Zhu, H. Change of phase state during multi-cycle injection and production process of condensate gas reservoir based underground gas storage. Pet. Explor. Dev. 2021, 48, 395–406. [Google Scholar] [CrossRef]
- Song, X.; Li, G.; Wen, X. A Probabilistic Model to Evaluate the Operation Reliability of the Underground System in Underground Gas Storage Transformed from Depleted Gas Reservoir. In Proceedings of the International Petroleum Technology Conference, Bangkok, Thailand, 14–16 November 2016. [Google Scholar] [CrossRef]
- Wanyan, Q.; Ding, G.; Zhao, Y.; Li, K.; Deng, J.; Zheng, Y. Key technologies for salt-cavern underground gas storage construction and evaluation and their application. Nat. Gas Ind. B 2018, 5, 623–630. [Google Scholar] [CrossRef]
- Ma, X.; Pei, G.; Xu, H.; Song, L. Hutubi Gas Storage Facility. In Handbook of Underground Gas Storages and Technology in China; Springer: Singapore, 2020. [Google Scholar] [CrossRef]
- Qin, Q.; Lin, L.; Pan, X. Research Methods of Main Parameter Sensitivity Differences in China’s Dynamic Oil and Gas Reserve Estimation under SEC Standards. Energies 2022, 15, 5358. [Google Scholar] [CrossRef]
- Han, G.; Liu, Y.; Sun, L.; Liu, M.; Gao, D.; Li, Q. Determination of pore compressibility and geological reserves using a new form of the flowing material balance method. J. Pet. Sci. Eng. 2019, 172, 1025–1033. [Google Scholar] [CrossRef]
- Wei, Y.; Jia, A.; Xu, Y.; Fang, J. Progress on the different methods of reserves calculation in the whole life cycle of gas reservoir development. J. Nat. Gas Geosci. 2021, 6, 55–63. [Google Scholar] [CrossRef]
- Liu, Y.; Zhu, W.; Kong, D.; Pan, B.; Yue, M. Analytical model of hydraulic fracturing horizontal well gas production capacity of a water-bearing tight sandstone reservoir considering planar heterogeneity. Phys. Fluids 2022, 34, 126603. [Google Scholar] [CrossRef]
- Cui, M.; Fan, A.; Wang, Z.; Gao, W.; Li, J.; Li, Y. A volumetric model for evaluating tight sandstone gas reserves in the Permian Sulige gas field, Ordos Basin, Central China. Acta Geol. Sin. Engl. Ed. 2019, 93, 386–399. [Google Scholar] [CrossRef]
- Gümrah, N.; Fevzi, K. A numerical simulation study on mixing of inert cushion gas with working gas in an underground gas storage reservoir. Energy Sources 2000, 22, 869–879. [Google Scholar] [CrossRef]
- Agate, G.; Colucci, F.; Guandalini, R.; Moia, F.; Pagotto, R.; Crosta, G.B. A Numerical Modeling Approach to Investigate the Safety Aspects of the Gas Storage in a Deep Geological Reservoir. In Proceedings of the Offshore Mediterranean Conference and Exhibition, Ravenna, Italy, 29–31 March 2017. OMC-2017–768. [Google Scholar]
- Wang, J.; Fu, J.; Xie, J.; Wang, J. Quantitative characterisation of gas loss and numerical simulations of underground gas storage based on gas displacement experiments performed with systems of small-core devices connected in series. J. Nat. Gas Sci. Eng. 2020, 81, 103495. [Google Scholar] [CrossRef]
- Wei, C.; Liu, Y.; Deng, Y.; Cheng, S.; Hassanzadeh, H. Temperature Transient Analysis of Naturally Fractured Geothermal Reservoirs. SPE J. 2022, 27, 2723–2745. [Google Scholar] [CrossRef]
- Tahmasebi, A.; Nasiri, A.; Riazi, M.; Amiri, M. Advantages and disadvantages of in situ N2 presence in underground gas storage (UGS) process: Technical and economical evaluation of a case study. J. Nat. Gas Sci. Eng. 2020, 84, 103649. [Google Scholar] [CrossRef]
- Mahdi, D.S.; Al-Khdheeawi, E.A.; Yuan, Y.; Zhang, Y.; Iglauer, S. Hydrogen underground storage efficiency in a heterogeneous sandstone reservoir. Adv. Geo-Energy Res. 2021, 5, 437–443. [Google Scholar] [CrossRef]
- Li, H.; Deng, J.; Wanyan, Q.; Feng, Y.; Kamgue Lenwoue, A.R.; Luo, C.; Hui, C. Numerical investigation on shape optimization of small-spacing twin-well for salt cavern gas storage in ultra-deep formation. Energies 2021, 14, 2859. [Google Scholar] [CrossRef]
- Reza, M.; Reza, A. The optimization of underground gas storage in a partially depleted gas reservoir. Pet. Sci. Technol. 2011, 9, 824–836. [Google Scholar] [CrossRef]
- Iwaszczuk, N.; Prytula, M.; Prytula, N.; Pyanylo, Y.; Iwaszczuk, A. Modeling of Gas Flows in Underground Gas Storage Facilities. Energies 2022, 15, 7216. [Google Scholar] [CrossRef]
- Azin, R.; Nasiri, A.; Entezari, A.J. Underground gas storage in a partially depleted gas reservoir. Oil Gas Sci. Technol.-Rev. IFP 2008, 63, 691–703. [Google Scholar] [CrossRef]
- Tek, M.R. Underground Storage of Natural Gas; Gulf Publishing Company, Book Division: Houston, TX, USA, 1987. [Google Scholar]
- Lee, J.; Wattenbargar, R.A. Gas Reservoir Engineering; Society of Petroleum Engineers: Houston, TX, USA, 1996; ISBN 978-1-61399-924-0. [Google Scholar] [CrossRef]
- Tang, L.; Wang, J.; Bai, F.; Shi, L. Inventory forecast of underground gas storage based on modified material balance equation. Pet. Explor. Dev. 2014, 41, 528–532. [Google Scholar] [CrossRef]
- Mukherjee, H.; Economides, M.J. A parametric comparison of horizontal and vertical well performance. SPE Form. Eval. 1991, 6, 209–216. [Google Scholar] [CrossRef]
- Stehfest, H. Algorithm 368: Numerical inversion of Laplace transforms. Commun. ACM 1970, 13, 47–49. [Google Scholar] [CrossRef]
- Al-Hussainy, R.; Ramey, H.J.; Crawford, P.B. The Flow of Real Gases Through Porous Media. J. Pet. Technol. 1966, 18, 624–636. [Google Scholar] [CrossRef]
- Johnson, T.W.; Berwald, W.B. Deviation of Natural Gas from Boyle’s Law; US Government Printing Office: Washington, DC, USA, 1932; Volume 539.
- Geostock. 2022. Available online: https://www.geostockgroup.com/activites/types-de-stockage-souterrains (accessed on 28 November 2022).
- Ozkan, E.; Raghavan, R. New solutions for well-test-analysis problems: Part 1—Analytical considerations. SPE Form. Eval. 1991, 6, 359–368. [Google Scholar] [CrossRef]
- Zheng, D.; Xu, H.; Wang, J.; Sun, J.; Zhao, K.; Li, C.; Shi, L.; Tang, L. Key evaluation techniques in the process of gas reservoir being converted into underground gas storage. Pet. Explor. Dev. 2017, 44, 840–849. [Google Scholar] [CrossRef]
- Ma, X.; Zheng, D.; Shen, R.; Wang, C.; Luo, J.; Sun, J. Key technologies and practice for gas field storage facility construction of complex geological conditions in China. Pet. Explor. Dev. 2018, 45, 507–520. [Google Scholar] [CrossRef]
- He, Y.; Lan, Y.; Liu, J.; Cao, R. New Interpretation Methods of Interference Test and Its Application on UGS. International Field Exploration and Development Conference; Springer: Singapore, 2022. [Google Scholar] [CrossRef]
- Chu, H.; Ma, T.; Zhu, W.; Gao, Y.; Zhang, J.; Lee, W.J. A novel semi-analytical monitoring model for multi-horizontal well system in large-scale underground natural gas storage: Methodology and case study. Fuel 2023, 334, 126807. [Google Scholar] [CrossRef]
- Chu, H.; Ma, T.; Chen, Z.; Liu, W.; Gao, Y. Well Testing Methodology for Multiple Vertical Wells with Well Interference and Radially Composite Structure during Underground Gas Storage. Energies 2022, 15, 8403. [Google Scholar] [CrossRef]
- Cinco, L.; Heber, F.; Samaniego, V.; Dominguez, N.A. Transient pressure behavior for a well with a finite-conductivity vertical fracture. Soc. Pet. Eng. J. 1978, 18, 253–264. [Google Scholar] [CrossRef]
- Chu, H.; Zhang, J.; Zhang, L.; Ma, T.; Gao, Y.; Lee, W.J. A new semi-analytical flow model for multi-branch well testing in natural gas hydrates. Adv. Geo-Energy Res. 2023, 7, 176–188. [Google Scholar] [CrossRef]
- Standing, M.B.; Katz, D.L. Density of natural gases. Trans. AIME 1942, 146, 140–149. [Google Scholar] [CrossRef]
- ISO-12213-2; Natural Gas—Calculation of Compression Factor—Part 2: Calculation Using Molar-Composition Analysis. Technical Report; International Organization for Standardization: Geneva, Switzerland, 2006.
- Hu, G.; Zhang, S.; Li, J.; Li, J.; Han, Z. The origin of natural gas in the Hutubi gas field, Southern Junggar Foreland Sub-basin, NW China. Int. J. Coal Geol. 2010, 84, 301–310. [Google Scholar] [CrossRef]
- Liao, W.; Liu, G.; Chen, R.; Sun, J.; Zhang, S.; Wang, Y.; Liu, X. Evaluation on the dynamic sealing capacity of underground gas storages rebuilt from gas reservoirs: A case study of Xinjiang H underground gas storage. Nat. Gas Ind. B 2021, 8, 334–343. [Google Scholar] [CrossRef]
- Wang, Y.; Feng, G.; Li, Z.; Xu, W.; Zhu, J.; He, L.; Xiong, Z.; Qiao, X. Retrieving the displacements of the Hutubi (China) underground gas storage during 2003–2020 from multi-track InSAR. Remote Sens. Environ. 2022, 268, 112768. [Google Scholar] [CrossRef]
- Wang, B.; Li, D.; Xu, B.; Zhang, Y.; Zhang, F.; Wang, Q.; Yang, B. Probabilistic-based geomechanical assessment of maximum operating pressure for an underground gas storage reservoir, NW China. Geomech. Energy Environ. 2022, 31, 100279. [Google Scholar] [CrossRef]
- Song, L.; Xu, H.; Wang, J.; Zhao, K.; Liao, W.; Zhang, S.; Zhang, G. Production Performance Analysis of the Biggest Underground Gas Storage in China. In Proceedings of the SPE Asia Pacific Oil & Gas Conference and Exhibition, Virtual, 17–19 November 2020. [Google Scholar] [CrossRef]
- Zhang, B.; Wang, B.; Wei, B.; Wu, Z.; Wu, N.E.; Lu, R.; Ji, Z.; Hou, J.; Li, L. Spatiotemporal evolution of seismicity during the cyclic operation of the Hutubi underground gas storage, Xinjiang, China. Sci. Rep. 2022, 12, 14427. [Google Scholar] [CrossRef] [PubMed]
- Chen, J.; Wang, X.; Ni, Y.; Xiong, B.; Liao, F.; Liao, J.; Zhao, C. “Genetic type and source of natural gas in the southern margin of Junggar Basin, NW China. Pet. Explor. Dev. 2019, 46, 482–495. [Google Scholar] [CrossRef]
- Zheng, Y.; Sun, J.; Qiu, X.; Lai, X.; Liu, J.; Guo, Z.; Wei, H.; Min, Z. Connotation and evaluation technique of geological integrity of UGSs in oil/gas fields. Nat. Gas Ind. B 2020, 7, 594–603. [Google Scholar] [CrossRef]
- Lee, J.; Rollins, J.B.; Spivey, J.P. Pressure Transient Testing; Society of Petroleum Engineers: Richardson, TX, USA, 2003; ISBN 978-1-55563-099-7. [Google Scholar]











| Parameter | Value | Unit |
|---|---|---|
| UGS thickness | 25 | m |
| Permeability | 35 | mD |
| porosity | 0.21 | − |
| Initial pressure | 34.478 | MPa |
| Total compressibility | 0.0192 | MPa−1 |
| Production rate | 80 × 104 | m3/d |
| Wellbore storage coefficient | 0.5 | m3/MPa |
| Skin factor | 2 | − |
| Horizontal well length | 300 | m |
| Composite distance of the vertical well | 100 | m |
| Composite distance of the horizontal well | 500 | m |
| Mobility ratio | 4 | − |
| Dispersion ratio | 4 | − |
| Injection−Withdrawal Cycle | Gas Injection Cycle | Gas Withdrawal Cycle | ||
|---|---|---|---|---|
| Zi I Layer | Zi II Layer | Zi I Layer | Zi II Layer | |
| 1 | 0.933 | 0.930 | 0.930 | 0.929 |
| 2 | 0.956 | 0.932 | 0.941 | 0.931 |
| 3 | 0.989 | 0.944 | 0.953 | 0.937 |
| 4 | 1.007 | 0.972 | 0.960 | 0.952 |
| 5 | 1.006 | 0.994 | 0.960 | 0.955 |
| 6 | 1.006 | 1.001 | 0.964 | 0.960 |
| 7 | 1.002 | 1.002 | 0.963 | 0.959 |
| 8 | 1.019 | 1.016 | 0.948 | 0.950 |
| 9 | 1.014 | 1.013 | 0.944 | 0.945 |
Disclaimer/Publisher’s Note: The statements, opinions and data contained in all publications are solely those of the individual author(s) and contributor(s) and not of MDPI and/or the editor(s). MDPI and/or the editor(s) disclaim responsibility for any injury to people or property resulting from any ideas, methods, instructions or products referred to in the content. |
© 2023 by the authors. Licensee MDPI, Basel, Switzerland. This article is an open access article distributed under the terms and conditions of the Creative Commons Attribution (CC BY) license (https://creativecommons.org/licenses/by/4.0/).
Share and Cite
Wanyan, Q.; Xu, H.; Song, L.; Zhu, W.; Pei, G.; Fan, J.; Zhao, K.; Liu, J.; Gao, Y. A Novel Performance Evaluation Method for Gas Reservoir-Type Underground Natural Gas Storage. Energies 2023, 16, 2640. https://doi.org/10.3390/en16062640
Wanyan Q, Xu H, Song L, Zhu W, Pei G, Fan J, Zhao K, Liu J, Gao Y. A Novel Performance Evaluation Method for Gas Reservoir-Type Underground Natural Gas Storage. Energies. 2023; 16(6):2640. https://doi.org/10.3390/en16062640
Chicago/Turabian StyleWanyan, Qiqi, Hongcheng Xu, Lina Song, Weiyao Zhu, Gen Pei, Jiayi Fan, Kai Zhao, Junlan Liu, and Yubao Gao. 2023. "A Novel Performance Evaluation Method for Gas Reservoir-Type Underground Natural Gas Storage" Energies 16, no. 6: 2640. https://doi.org/10.3390/en16062640
APA StyleWanyan, Q., Xu, H., Song, L., Zhu, W., Pei, G., Fan, J., Zhao, K., Liu, J., & Gao, Y. (2023). A Novel Performance Evaluation Method for Gas Reservoir-Type Underground Natural Gas Storage. Energies, 16(6), 2640. https://doi.org/10.3390/en16062640
