Experiments and Modeling of Solid–Solid Phase Change Material-Loaded Plaster to Enhance Building Energy Efficiency
Abstract
1. Introduction
2. Experimental Section
2.1. Materials
2.2. Characterization
2.2.1. DSC
2.2.2. Thermal Performance
2.3. Experimental Results
2.3.1. DSC
2.3.2. Thermal Performance
3. Numerical Analysis
3.1. Methodology
- The physical properties are constant with temperature variations with the exception of the specific heat;
- The PCM is simulated with variable Cp to include the latent heat effect in the transition interval;
- Density, specific heat and thermal conductivity are equal for both solid phases of the PCM;
- Volumetric expansion of the PCM during the phase change is neglected;
- Possible supercooling effect is neglected;
- Heat exchange by radiation is neglected;
- Heat transfer is only in the thickness direction;
- The temperature of the heat exchanger plate ( is uniform;
- The system is initially started at the same experimental ambient temperature;
- Simulations are carried out in transient conditions.
- Uniform temperature on the lower face of the specimen (Dirichlet’s condition) with temporal evolution imposed by the acquired experimental data;
- Convective heat transfer on the external upper face of the specimen (Neumann’s condition);
- Experimental ambient temperature on the upper face to simulate the convective heat transfer;
- Perfect thermal insulation on the lateral sides.
3.2. Governing Equations
3.3. Model Validation
3.4. Numerical Results
3.4.1. Effect of the PCM Mass Fraction
3.4.2. Effect of the Phase Transition Temperature
3.4.3. Effect of the PCM-Loaded Plaster Thickness
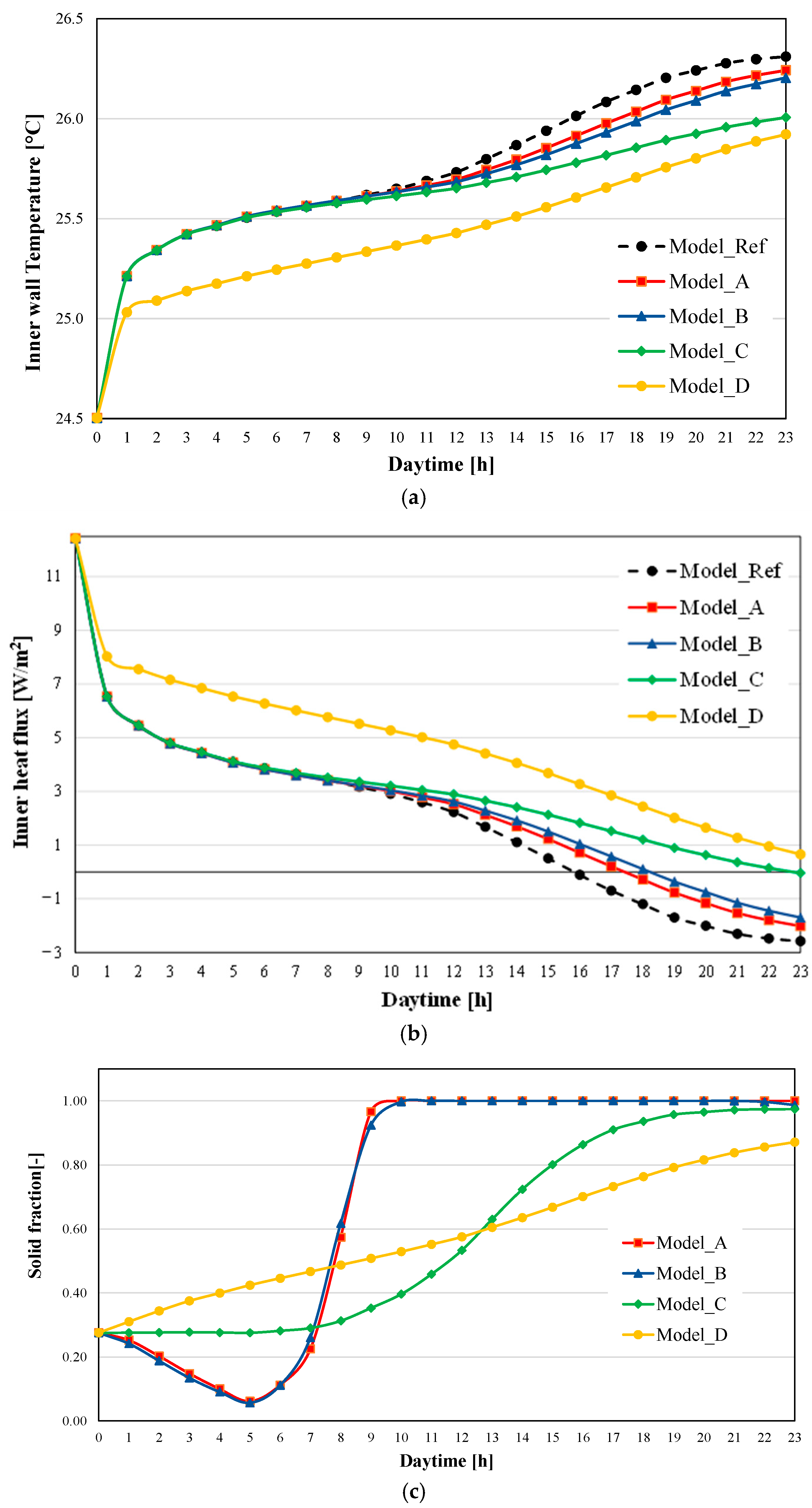
3.4.4. Simulations of Summer Conditions
3.4.5. Effect of the PCM Location in the Wall Structure
4. Conclusions
Author Contributions
Funding
Data Availability Statement
Conflicts of Interest
Abbreviations
| DSC | Differential scanning calorimetry |
| HEX | Heat exchanger |
| HVAC | Heating, ventilation and air conditioning |
| MBE | Mean bias error |
| NI | Nation instruments |
| PCM | Phase change material |
| PM | Post Meridiem |
| PS | Pure specimen |
| RMSE | Root mean square error |
| SL-PCMs | Solid–liquid phase change materials |
| Nomenclature | |
| cp | Specific heat [kJ/(kg K)] |
| E | Energy demand |
| ES | Energy saving |
| f | PCM phase fraction |
| G | Incident solar radiation [W/m2] |
| H | Total enthalpy [J/kg] |
| h | Convective heat transfer [W/(m2 K)] |
| L | Latent heat [kJ/kg] |
| m | Mass [g] |
| N | Total number of measurements |
| Q | Heat flux [W/m2] |
| q | Volumetric heat source [W/m3] |
| S | DSC signal |
| s | Thickness [mm] |
| T | Temperature [K] |
| External ambient temperature [K] | |
| Transition temperature [K] | |
| Plate exchanger temperature [K] | |
| Fluid temperature [K] | |
| Sol-air temperature [K] | |
| Surface temperature [K] | |
| TC | Thermostatic bath (Thermocryostat) |
| V | Valve |
| vol% | Volume fraction |
| Greek letters | |
| α | Absorption coefficient |
| ε | Emissivity coefficient |
| Volume fraction | |
| λ | Thermal conductivity [W/(m k)] |
| ρ | Density [kg/m3] |
| Subscripts | |
| ave, ex | Experimental mean value |
| Conv | Convective |
| ext | External ambient |
| f | Fluid |
| i | Inner |
| i,ex | ith measured experimental value |
| i,m | ith value predicted by the model |
| s | specimen |
| S1 | Solid phase 1 |
| S2 | Solid phase 2 |
References
- Rao, V.V.; Parameshwaran, R.; Ram, V.V. PCM-mortar based construction materials for energy efficient buildings: A review on research trends. Energy Build. 2018, 158, 95–122. [Google Scholar] [CrossRef]
- Courtois, E.; Glouannec, P.; Magueresse, A.; Loulou, T. Estimating thermal properties of phase change material from heat flux measurements. Int. J. Therm. Sci. 2022, 172, 107307. [Google Scholar] [CrossRef]
- Marin, P.; Saffari, M.; de Gracia, A.; Zhu, X.; Farid, M.M.; Cabeza, L.F.; Ushak, S. Energy savings due to the use of PCM for relocatable lightweight buildings passive heating and cooling in different weather conditions. Energy Build. 2016, 129, 274–283. [Google Scholar] [CrossRef]
- Lei, J.; Yang, J.; Yang, E.H. Energy performance of building envelopes integrated with phase change materials for cooling load reduction in tropical Singapore. Appl. Energy 2016, 162, 207–217. [Google Scholar] [CrossRef]
- Liu, Z.; Hou, J.; Huang, Y.; Zhang, J.; Meng, X.; Dewancker, B.J. Influence of phase change material (PCM) parameters on the thermal performance of lightweight building walls with different thermal resistances. Case Stud. Therm. Eng. 2022, 31, 101844. [Google Scholar] [CrossRef]
- Frigione, M.; Lettieri, M.; Sarcinella, A. Phase change materials for energy efficiency in buildings and their use in mortars. Materials 2019, 12, 1260. [Google Scholar] [CrossRef]
- Bastien, D.; Athienitis, A.K. Passive thermal energy storage, part 2: Design methodology for solaria and greenhouses. Renew. Energy 2017, 103, 537–560. [Google Scholar] [CrossRef]
- Fallahi, A.; Guldentops, G.; Tao, M.; Granados-Focil, S.; Van Dessel, S. Review on solid-solid phase change materials for thermal energy storage: Molecular structure and thermal properties. Appl. Therm. Eng. 2017, 127, 1427–1441. [Google Scholar] [CrossRef]
- Cabeza, L.F. Advances in thermal energy storage systems: Methods and applications. In Advances in Thermal Energy Storage Systems—Methods and Applications; Woodhead Publishing: Cambridge, UK, 2021; pp. 37–54. [Google Scholar] [CrossRef]
- Mehling, H.; Brütting, M.; Haussmann, T. PCM products and their fields of application—An overview of the state in 2020/2021. J. Energy Storage 2022, 51, 104354. [Google Scholar] [CrossRef]
- Harlé, T.; Hebert, R.L.; Nguyen, G.T.M.; Ledésert, B.A. A composite of cross-linked polyurethane as solid–solid phase change material and plaster for building application. Energy Build. 2022, 262, 111945. [Google Scholar] [CrossRef]
- Farulla, G.A.; Tumminia, G.; Sergi, F.; Aloisio, D.; Antonucci, V.; Ferraro, M.; Nazionale, C.; Avanzate, T.; Nicola, E.; Contesse, L. A review of key performance indicators for building flexibility quantification to support the clean energy transition. Energies 2021, 14, 5676. [Google Scholar] [CrossRef]
- Haurie, L.; Serrano, S.; Bosch, M.; Fernandez, A.I.; Cabeza, L.F. Single layer mortars with microencapsulated PCM: Study of physical and thermal properties, and fire behaviour. Energy Build. 2016, 111, 393–400. [Google Scholar] [CrossRef]
- Tyagi, V.V.; Kaushik, S.C.; Tyagi, S.K.; Akiyama, T. Development of phase change materials based microencapsulated technology for buildings: A review. Renew. Sustain. Energy Rev. 2011, 15, 1373–1391. [Google Scholar] [CrossRef]
- Sarı, A.; Bicer, A.; Karaipekli, A.; Al-Sulaiman, F.A. Preparation, characterization and thermal regulation performance of cement based-composite phase change material. Sol. Energy Mater. Sol. Cells 2018, 174, 523–529. [Google Scholar] [CrossRef]
- Frazzica, A.; Brancato, V.; Palomba, V.; La Rosa, D.; Grungo, F.; Calabrese, L.; Proverbio, E. Thermal performance of hybrid cement mortar-PCMs for warm climates application. Sol. Energy Mater. Sol. Cells 2019, 193, 270–280. [Google Scholar] [CrossRef]
- Wi, S.; Yang, S.; Yun, B.Y.; Kim, S. Exterior insulation finishing system using cementitious plaster/microencapsulated phase change material for improving the building thermal storage performance. Constr. Build. Mater. 2021, 299, 123932. [Google Scholar] [CrossRef]
- Abbasi Hattan, H.; Madhkhan, M.; Marani, A. Thermal and mechanical properties of building external walls plastered with cement mortar incorporating shape-stabilized phase change materials (SSPCMs). Constr. Build. Mater. 2021, 270, 121385. [Google Scholar] [CrossRef]
- Németh, B.; Ujhidy, A.; Tóth, J.; Gyenis, J.; Feczkó, T. Testing of microencapsulated phase-change heat storage in experimental model houses under winter weather conditions. Build. Environ. 2021, 204, 108119. [Google Scholar] [CrossRef]
- M’ziane, M.C.; Grine, A.; Younsi, Z.; Touhami, M.S.K. Modelling and Numerical Simulation of a Passive Wall Incorporating a Phase Change Material. J. Adv. Res. Fluid Mech. Therm. Sci. 2021, 79, 169–181. [Google Scholar] [CrossRef]
- Dobri, A.; Tsiantis, A.; Papathanasiou, T.D.; Wang, Y. Investigation of transient heat transfer in multi-scale PCM composites using a semi-analytical model. Int. J. Heat Mass Transf. 2021, 175, 121389. [Google Scholar] [CrossRef]
- Cárdenas-Ramírez, C.; Gómez, M.A.; Jaramillo, F.; Cardona, A.F.; Fernández, A.G.; Cabeza, L.F. Experimental steady-state and transient thermal performance of materials for thermal energy storage in building applications: From powder SS-PCMs to SS-PCM-based acrylic plaster. Energy 2022, 250, 123768. [Google Scholar] [CrossRef]
- Baccega, E.; Bottarelli, M. Granular PCM-Enhanced Plaster for Historical Buildings: Experimental Tests and Numerical Studies. Energies 2022, 15, 975. [Google Scholar] [CrossRef]
- Miers, C.S.; Marconnet, A. Experimental investigation of composite phase change material heat sinks for enhanced passive thermal management. J. Heat Transf. 2021, 143, 013001. [Google Scholar] [CrossRef]
- Fikri, M.A.; Pandey, A.K.; Samykano, M.; Kadirgama, K.; George, M.; Saidur, R.; Selvaraj, J.; Rahim, N.A.; Sharma, K.; Tyagi, V.V. Thermal conductivity, reliability, and stability assessment of phase change material (PCM) doped with functionalized multi-wall carbon nanotubes (FMWCNTs). J. Energy Storage 2022, 50, 104676. [Google Scholar] [CrossRef]
- Crespo, A.; Zsembinszki, G.; Vérez, D.; Borri, E.; Fernández, C.; Cabeza, L.F.; de Gracia, A. Optimization of design variables of a phase change material storage tank and comparison of a 2D implicit vs. 2D explicit model. Energies 2021, 14, 2605. [Google Scholar] [CrossRef]
- Phase Change Materials: Thermal Management Solutions. Available online: https://www.pcmproducts.net/ (accessed on 12 June 2022).
- Ahmad, M.; Bontemps, A.; Sallée, H.; Quenard, D. Experimental investigation and computer simulation of thermal behaviour of wallboards containing a phase change material. Energy Build. 2006, 38, 357–366. [Google Scholar] [CrossRef]
- Lachheb, M.; Younsi, Z.; Naji, H.; Karkri, M.; Ben Nasrallah, S. Thermal behavior of a hybrid PCM/plaster: A numerical and experimental investigation. Appl. Therm. Eng. 2017, 111, 49–59. [Google Scholar] [CrossRef]
- Incropera, F.P.; DeWitt, D.P.; Bergman, T.L.; Lavine, A.S. Fundamentals of Heat and Mass Transfer, 6th ed.; John Wiley & Sons: Hoboken, NJ, USA, 2007. [Google Scholar]
- Henninger, J.H. Solar Absorptance and Thermal Emittance of Some Common Spacecraft Thermal-Control Coatings; NASA Reference Publication: Washington, DC, USA, 1984.
- Rai, A.C. Energy performance of phase change materials integrated into brick masonry walls for cooling load management in residential buildings. Build. Environ. 2021, 199, 107930. [Google Scholar] [CrossRef]
- Elawady, N.; Bekheit, M.; Sultan, A.A.; Radwan, A. Energy assessment of a roof-integrated phase change materials, long-term numerical analysis with experimental validation. Appl. Therm. Eng. 2022, 202, 117773. [Google Scholar] [CrossRef]
- Nitsas, M.; Koronaki, I.P. Performance analysis of nanoparticles-enhanced PCM: An experimental approach. Therm. Sci. Eng. Prog. 2021, 25, 100963. [Google Scholar] [CrossRef]
- McCartney, L.N. Applications of Maxwell’s methodology to the prediction of the effective properties of composite materials. In Multi-Scale Continuum Mechanics Modelling of Fibre-Reinforced Polymer Composites; Woodhead Publishing: Cambridge, UK, 2021; pp. 179–216. [Google Scholar] [CrossRef]
- Zhang, G.; Xiao, N.; Wang, B.; Razaqpur, A.G. Thermal performance of a novel building wall incorporating a dynamic phase change material layer for efficient utilization of passive solar energy. Constr. Build. Mater. 2022, 317, 126017. [Google Scholar] [CrossRef]
- Salihi, M.; El Fiti, M.; Harmen, Y.; Chhiti, Y.; Chebak, A.; M’Hamdi Alaoui, F.E.; Achak, M.; Bentiss, F.; Jama, C. Evaluation of global energy performance of building walls integrating PCM: Numerical study in semi-arid climate in Morocco. Case Stud. Constr. Mater. 2022, 16, e00979. [Google Scholar] [CrossRef]


















| Cycle | PlusIce X25 | Step | H (J/g) | T Onset (°C) | T Peak (°C) |
|---|---|---|---|---|---|
| I | Pristine | Heating | 92.76 | 28.82 | 38.17 |
| V | 92.40 | 26.30 | 35.50 | ||
| X | 90.31 | 27.26 | 34.40 | ||
| XV | 86.89 | 27.55 | 34.20 | ||
| XX | 86.03 | 27.49 | 34.17 | ||
| Reduction % | 7.26 | 4.61 | 10.48 | ||
| I | Pristine | Cooling | 86.03 | 22.64 | 21.77 |
| V | 85.67 | 22.08 | 20.93 | ||
| X | 81.40 | 19.79 | 18.33 | ||
| XV | 81.50 | 19.65 | 18.00 | ||
| XX | 76.94 | 20.27 | 17.93 | ||
| Reduction % | 10.57 | 10.47 | 17.64 | ||
| I | Water-dissolved | Heating | 91.84 | 27.90 | 35.10 |
| V | 92.06 | 27.88 | 32.73 | ||
| X | 86.16 | 27.98 | 32.30 | ||
| XV | 87.12 | 28.12 | 32.37 | ||
| XX | 84.53 | 28.15 | 32.37 | ||
| Reduction % | 7.96 | −0.90 | 7.78 | ||
| I | Water-dissolved | Cooling | 84.72 | 23.23 | 22.27 |
| V | 85.05 | 22.64 | 20.77 | ||
| X | 81.71 | 23.94 | 19.43 | ||
| XV | 81.14 | 20.49 | 19.40 | ||
| XX | 78.07 | 21.17 | 18.37 | ||
| Reduction % | 7.85 | 8.87 | 17.51 |
| IN200 | PCM-X25 | |
|---|---|---|
| Density ρ [kg/m3] | 1550 | 925 |
| Thermal conductivity λ [W/(m k)] | 0.76 | 0.36 |
| Specific heat cp [kJ/(kg K)] | 0.8 | Cp (T) |
| Latent heat L [kJ/kg] | - | 95.7 |
| Transition Temperature (°C) | 20 | 22 | 25 | 28 | 30 |
|---|---|---|---|---|---|
| Upper surface temperature (°C) | 23.40 | 25.12 | 27.42 | 30.28 | 31.90 |
| Surface heat flux (W/m2) | 23.39 | 26.09 | 11.67 | −17.98 | −53.02 |
| Cement Mortar | Brick | Gypsum Board | |
|---|---|---|---|
| ρ [kg/m3] | 1550 | 1200 | 1200 |
| λ [W/(m k)] | 0.76 | 0.39 | 0.42 |
| cp [J/(kg K)] | 800 | 1050 | 840 |
| Model Ref. | Model A | Model B | Model C | Model D | |
|---|---|---|---|---|---|
| Total outdoor heat flux [kW/m2] | 56.41 | 59.72 | 61.37 | 68.86 | 107.85 |
| Maximum inner wall temperature [°C] | 26.31 | 26.24 | 26.20 | 26.01 | 25.92 |
| ES % | - | 5.85 | 8.79 | 22.06 | 91.17 |
Disclaimer/Publisher’s Note: The statements, opinions and data contained in all publications are solely those of the individual author(s) and contributor(s) and not of MDPI and/or the editor(s). MDPI and/or the editor(s) disclaim responsibility for any injury to people or property resulting from any ideas, methods, instructions or products referred to in the content. |
© 2023 by the authors. Licensee MDPI, Basel, Switzerland. This article is an open access article distributed under the terms and conditions of the Creative Commons Attribution (CC BY) license (https://creativecommons.org/licenses/by/4.0/).
Share and Cite
Farulla, G.A.; Brancato, V.; Palomba, V.; Zhang, Y.; Dino, G.E.; Frazzica, A. Experiments and Modeling of Solid–Solid Phase Change Material-Loaded Plaster to Enhance Building Energy Efficiency. Energies 2023, 16, 2384. https://doi.org/10.3390/en16052384
Farulla GA, Brancato V, Palomba V, Zhang Y, Dino GE, Frazzica A. Experiments and Modeling of Solid–Solid Phase Change Material-Loaded Plaster to Enhance Building Energy Efficiency. Energies. 2023; 16(5):2384. https://doi.org/10.3390/en16052384
Chicago/Turabian StyleFarulla, Girolama Airò, Vincenza Brancato, Valeria Palomba, Yannan Zhang, Giuseppe E. Dino, and Andrea Frazzica. 2023. "Experiments and Modeling of Solid–Solid Phase Change Material-Loaded Plaster to Enhance Building Energy Efficiency" Energies 16, no. 5: 2384. https://doi.org/10.3390/en16052384
APA StyleFarulla, G. A., Brancato, V., Palomba, V., Zhang, Y., Dino, G. E., & Frazzica, A. (2023). Experiments and Modeling of Solid–Solid Phase Change Material-Loaded Plaster to Enhance Building Energy Efficiency. Energies, 16(5), 2384. https://doi.org/10.3390/en16052384

