Thermal Behavior and Kinetics of Shenmu Coal Pyrolyzed under Hydrogen-Rich or Methane-Gas-Rich Atmosphere
Abstract
1. Introduction
2. Experiment
2.1. Materials
2.2. TG-MS Analysis
2.3. FTIR Analysis
2.4. Distributed Activation Energy Model
- (1)
- Infinite parallel reaction hypothesis: The reaction system is composed of numerous independent first-order reactions with different activation energies.
- (2)
- Activation energy distribution hypothesis: The activation energy of each reaction presents a continuous distribution and conforms to a certain functional form.
- (1)
- At least three weight loss curves under different heating rates were obtained.
- (2)
- According to the selected weight loss curve, the same conversion α makes the ln(h/T2)–1/T curve correspond to the temperature data.
- (3)
- A series of Arrhenius straight lines with the same conversion can be obtained by making different heating rates on the ln(h/T2)–1/T diagram. The activation energy, Eα, at different conversion can be calculated from the slope of these straight lines.
- (4)
- With α to Eα, the distribution activation energy function ƒ(Eα) is obtained via the differential calculation of the obtained curve.
3. Results and Discussion
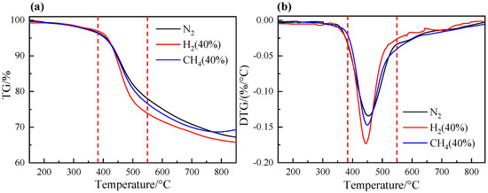
3.1. Thermogravimetric Analysis
3.2. Gas Product Release Analysis
3.3. Effect of Heating Rate on Coal Pyrolysis Process
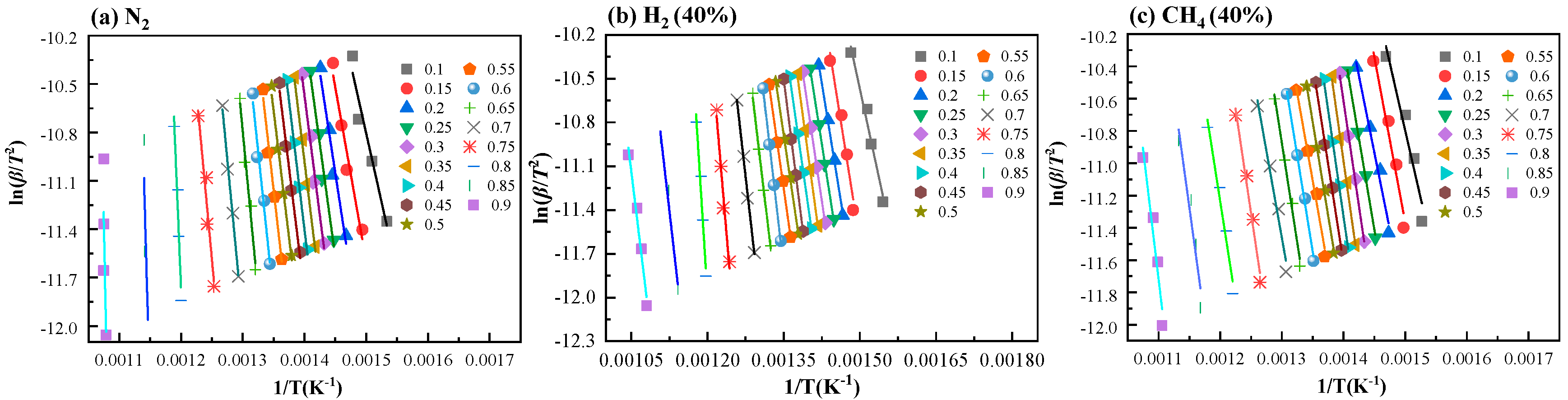
3.4. Kinetic Analysis
4. Conclusions
- (1)
- The H2 (40%) atmosphere obviously promotes the second and third stages of coal pyrolysis weight loss (higher than 380 °C). H2 promotes the formation of H2, CH4, and H2O by providing the combination of active hydrogen groups with CH groups and –OH functional groups in coal and promoting the cracking of CH functional groups. The H2 (40%) and CH4 (40%) atmospheres inhibit the cracking of oxygen-containing functional groups such as carbonyl and C–O groups, and this is not conducive to the formation of CO2 and CO.
- (2)
- In the same pyrolysis temperature range, the pyrolysis weight loss rate of raw coal will decrease with the increase of heating rate, and the pyrolysis weight-loss curve will move to the high-temperature zone. The pyrolysis conversion is in the range of 0.2~0.7, ln (β/T2) has a good linear correlation with 1/T, and R2 is above 0.95. At the same conversion and pyrolysis temperature, the pyrolysis activation energy of the H2 (40%) and CH4 (40%) pyrolysis atmospheres is lower than that of the N2 atmosphere. The activation energy of low-rank coal in N2, H2 (40%), and CH4 (40%) pyrolysis atmospheres does not accord with Gaussian distribution.
- (3)
- H2 (40%) and CH4 (40%) atmospheres promote the release of H2, CH4, H2O, and other products during coal pyrolysis; promote the weight loss of coal pyrolysis; and reduce the activation energy required for coal pyrolysis. The pyrolysis activation energy, Eα, distribution is narrow in the H2 (40%) atmosphere and CH4 (40%) atmosphere: the H2 (40%) atmosphere’s Eα is concentrated in the range 17~215 kJ/mol, while the Eα in the CH4 (40%) atmosphere is concentrated in the range of 225~230 kJ/mol, and the Eα in the H2 (40%) atmosphere is at the same conversion pyrolysis atmosphere below CH4 (40%).
Author Contributions
Funding
Institutional Review Board Statement
Informed Consent Statement
Data Availability Statement
Conflicts of Interest
References
- Lin, Y.K.; Li, Q.S.; Li, X.F. Pyrolysates distribution and kinetics of Shenmu long flame coal. Energy Convers. Manag. 2014, 86, 428–434. [Google Scholar] [CrossRef]
- Zou, C.; Ma, C.; Zhao, J.X. Research status and suggestion of mid-low temperature pyrolysis semi-coke as the PCI fuel in blast furnace. Clean Coal Technol. 2017, 23, 57–64. [Google Scholar]
- Sun, Q.L.; Li, W.; Chen, H.K. Composition of coal tar from pyrolysis and hydropyrolysis of Shenmu coal macerals. J. Fuel Chem. Technol. 2005, 33, 412–415. [Google Scholar]
- Chen, H.K.; Li, B.Q.; Zhang, B.J. Composition of coal derived tars and its relationship with coal network structure. J. Fuel Chem. Technol. 1997, 25, 564–565. [Google Scholar]
- Cai, H.-Y.; Güell, A.; Chatzakis, I.N. Combustion reactivity and morphological change in coal chars: Effect of pyrolysis temperature, heating rate and pressure. Fuel 1996, 75, 15–24. [Google Scholar] [CrossRef]
- Yang, H.P.; Chen, H.P.; Ju, F.D. Influence of pressure on coal pyrolysis and char gasification. Energy Fuels 2007, 21, 3165–3170. [Google Scholar] [CrossRef]
- Wu, H.; Zou, C.; He, J.Y. Effect of low-rank coal pyrolysis conditions on combustion performance and kinetic characteristics of semi-coke for blast furnace injection. Chin. J. Process. Eng. 2020, 20, 449–457. [Google Scholar]
- She, Y.; Zou, C.; Liu, S.W. Combustion and gasification characteristics of low-temperature pyrolytic semi-coke prepared through atmosphere rich in CH4 and H2. Green Process. Synth. 2021, 10, 189–200. [Google Scholar] [CrossRef]
- Zhang, J.T.; Shi, R.K.; Niu, B. Effect of CH4 atmosphere on tar yield and quality in coal pyrolysis at low-medium pyrolysis temperature. J. China Coal Soc. 2021, 46, 292–299. [Google Scholar]
- Zhong, M.; Ma, F.Y. Analysis of product distribution and quality for continuous pyrolysis of coal in different atomspheres. J. Fuel Chem. Technol. 2013, 41, 1427–1436. [Google Scholar]
- Fidalgo, B.; Van Niekerk, D.; Millan, M. The effect of syngas on tar quality and quantity in pyrolysis of a typical South African inertinite-rich coal. Fuel 2014, 134, 90–96. [Google Scholar] [CrossRef]
- Jin, H.; Zhao, X.; Guo, L.J. Experimental investigation on methanation reaction based on coal gasification in supercritical water. Int. J. Hydrog. Energy 2017, 42, 4636–4641. [Google Scholar]
- Sun, Q.L.; Li, W.; Chen, H.K. Comparison Between DAEM and Coats-Redfern Method for Combustion Kinetics Coal Char. CIESC J. 2003, 54, 1598–1602. [Google Scholar]
- Qin, L.N.; LI, L.J.; Zhou, A.L. Establishment of dynamics model for coal pyrolysis. Clean Coal Technol. 2014, 134, 92–96. [Google Scholar]
- Ulloa, C.; Gordon, A.L.; García, X. Distribution of activation energy model applied to the rapid pyrolysis of coal blends. J. Anal. Appl. Pyrolysis 2004, 71, 465–483. [Google Scholar] [CrossRef]
- Wu, H.; Zheng, J.F.; Zou, C. Numerical analysis of kinetics of char combustion process and selection of mechanism functions. J. Therm. Anal. Calorim. 2021, 147, 3217–3227. [Google Scholar] [CrossRef]
- Vand, V. A theory of the irreversible electrical resistance changes of metallic films evaporated in vacuum. Proc. Phys. Soc. London 1943, 55, 222. [Google Scholar] [CrossRef]
- Pitt, G.; Millward, G.R. Coal and modern coal processing: An introduction. Chem. Eng. Edu. 1979, 15, 186–219. [Google Scholar]
- Miura, K. A new and simple method to estimate f (E) and k0 (E) in the distributed activation energy model from three sets of experimental data. Energy Fuels 1995, 9, 302–307. [Google Scholar] [CrossRef]
- Heidenreich, C.A.; Yan, H.; Zhang, D. Mathematical modelling of pyrolysis of large coal particles—Estimation of kinetic parameters for methane evolution. Fuel 1999, 78, 557–566. [Google Scholar] [CrossRef]
- Alonso, M.; Alvarez, D.; Borrego, A. Systematic effects of coal rank and type on the kinetics of coal pyrolysis. Energy Fuels 2001, 15, 413–428. [Google Scholar] [CrossRef]
- Zhang, K.; You, C.F. Research on the Parallel Reaction Kinetic Model of Lignite Pyrolysis. Proc. China Soc. Electr. Eng. 2020, 31, 26–31. [Google Scholar]
- Li, C.J.; Jiang, H.; Zhao, J.M. Lignite Pyrolysis Characteristics of Thermogravimetric Analysis and DAEM Model Analysis. Energy Conserv. Technol. 2015, 33, 69–71. [Google Scholar]
- Zhao, Y.M.; Qiu, P.H.; Xie, X. Analysis on applicability of distributed activation energy model in coal pyrolysis kinetics. Coal Conv. 2017, 40, 13–18. [Google Scholar]
- Wang, F.; Zeng, X.; Wang, Y.G. Investigation on in/ex-situ coal char gasification kinetics in a micro fluidized bed reactor. J. Fuel Chem. Technol. 2015, 43, 393–401. [Google Scholar]
- Miura, K.; Maki, T. A Simple Method for Estimating f(E) and k0(E) in the Distributed Activation Energy Model. Energy Fuels 1998, 12, 864–869. [Google Scholar] [CrossRef]
- Yu, J.; Zhang, M.C. A Simple Method for Predicting the Rate Constant of Pulverized-coal Pyrolysis at Higher Heating Rate. Energy Fuels 2003, 133, 107–117. [Google Scholar] [CrossRef]
- Li, Q.Z.; Lin, B.Q.; Zhao, C.S. Chemical structure analysis of coal semi-coke surface based on Fourier-transform infrared spectrometer. Proce CSEE. 2011, 31, 46–52. [Google Scholar]
- Burnham, A.K.; Braun, R.L. Global Kinetic Analysis of Complex Materials. Energy Fuels 1999, 13, 1–22. [Google Scholar] [CrossRef]
- Wang, J.L.; Li, P.; Liang, L.T. Kinetics modeling of low-rank coal pyrolysis based on a three-Gaussian distributed activation energy model (DAEM) reaction model. Energy Fuels 2016, 30, 9693–9702. [Google Scholar] [CrossRef]
- Zhang, S.F.; Zhu, F.; Bai, C.G. Thermal behavior and kinetics of the pyrolysis of the coal used in the COREX process. J. Anal. Appl. Pyrolysis 2013, 104, 660–666. [Google Scholar] [CrossRef]
- Guizani, C.; Sanz, F.E.; Salvador, S. Effects of CO2 on biomass fast pyrolysis: Reaction rate, gas yields and char reactive properties. Fuel 2014, 116, 310–320. [Google Scholar] [CrossRef]
- De Jong, W.; Di Nola, G.; Venneker, B. TG-FTIR pyrolysis of coal and secondary biomass fuels: Determination of pyrolysis kinetic parameters for main species and NOx precursors. Fuel 2007, 86, 2367–2376. [Google Scholar] [CrossRef]
- Arenillas, A.; Pevida, C.; Rubiera, F. Characterisation of model compounds and a synthetic coal by TG/MS/FTIR to represent the pyrolysis behaviour of coal. J. Anal. Appl. Pyrolysis 2004, 71, 747–763. [Google Scholar] [CrossRef]
- Chen, X.Y.; Liu, L.; Zhang, L.Y. Pyrolysis characteristics and kinetics of coal–biomass blends during co-pyrolysis. Energy Fuels 2019, 33, 1267–1278. [Google Scholar] [CrossRef]
- Sun, Q.L.; Li, W.; Chen, H.K. The variation of structural characteristics of macerals during pyrolysis☆. Fuel 2003, 82, 669–676. [Google Scholar] [CrossRef]
- Liu, L.L.; Kumar, S.; Wang, Z.H. Catalytic effect of metal chlorides on coal pyrolysis and gasification part I. Combined TG-FTIR study for coal pyrolysis. Thermochim. Acta 2017, 655, 331–336. [Google Scholar] [CrossRef]
- Niu, Z.Y.; Liu, G.J.; Yin, H. Effect of pyridine extraction on the pyrolysis of a perhydrous coal based on in-situ FTIR analysis. J. Energy Inst. 2019, 92, 428–437. [Google Scholar] [CrossRef]
- Please, C.P.; McGuinness, M.J.; McElwain, D.L.S. Approximations to the distributed activation energy model for the pyrolysis of coal. Combust. Flame 2003, 133, 107–117. [Google Scholar] [CrossRef]









| Rank Coal | Proximate Analysis/% | Ultimate Analysis/% | |||||||
| Mad | Aad | Vdaf | FCad | Cdaf | Hdaf | O *daf | Ndaf | Sdaf | |
| 3.83 | 7.53 | 37.06 | 55.97 | 71.97 | 4.38 | 22.51 | 0.93 | 0.2 | |
| Atmosphere | Total Weight Loss/% | Weight Loss I/% | Weight Loss II/% | Weight Loss III/% | (dw/dt)max (%/°C) |
|---|---|---|---|---|---|
| N2 | 32.23 | 3.76 | 18.38 | 10.09 | 0.134 |
| H2 (40%) | 34.86 | 3.25 | 22.96 | 8.65 | 0.179 |
| CH4 (40%) | 30.68 | 3.98 | 19.57 | 7.13 | 0.147 |
| Heating Rate/(°C/min) | N2 | H2-40% | CH4-40% | |||
|---|---|---|---|---|---|---|
| Tmax/°C | (dw/dt) max%/min | Tmax/°C | (dw/dt) max%/min | Tmax/°C | (dw/dt) max%/min | |
| 5.0 7.5 10.0 15.0 | 437.88 | 0.142 | 434.37 | 0.153 | 437.46 | 0.140 |
| 444.87 | 0.211 | 436.70 | 0.237 | 440.15 | 0.209 | |
| 447.17 | 0.228 | 442.39 | 0.280 | 446.50 | 0.261 | |
| 453.75 | 0.336 | 445.51 | 0.431 | 449.45 | 0.379 | |
Disclaimer/Publisher’s Note: The statements, opinions and data contained in all publications are solely those of the individual author(s) and contributor(s) and not of MDPI and/or the editor(s). MDPI and/or the editor(s) disclaim responsibility for any injury to people or property resulting from any ideas, methods, instructions or products referred to in the content. |
© 2023 by the authors. Licensee MDPI, Basel, Switzerland. This article is an open access article distributed under the terms and conditions of the Creative Commons Attribution (CC BY) license (https://creativecommons.org/licenses/by/4.0/).
Share and Cite
Zou, C.; Li, X.; Ren, M.; Wang, W.; Wu, H. Thermal Behavior and Kinetics of Shenmu Coal Pyrolyzed under Hydrogen-Rich or Methane-Gas-Rich Atmosphere. Energies 2023, 16, 2339. https://doi.org/10.3390/en16052339
Zou C, Li X, Ren M, Wang W, Wu H. Thermal Behavior and Kinetics of Shenmu Coal Pyrolyzed under Hydrogen-Rich or Methane-Gas-Rich Atmosphere. Energies. 2023; 16(5):2339. https://doi.org/10.3390/en16052339
Chicago/Turabian StyleZou, Chong, Xi Li, Mengmeng Ren, Weian Wang, and Hao Wu. 2023. "Thermal Behavior and Kinetics of Shenmu Coal Pyrolyzed under Hydrogen-Rich or Methane-Gas-Rich Atmosphere" Energies 16, no. 5: 2339. https://doi.org/10.3390/en16052339
APA StyleZou, C., Li, X., Ren, M., Wang, W., & Wu, H. (2023). Thermal Behavior and Kinetics of Shenmu Coal Pyrolyzed under Hydrogen-Rich or Methane-Gas-Rich Atmosphere. Energies, 16(5), 2339. https://doi.org/10.3390/en16052339

