Diagenetic Evolution and Its Impact on Reservoir Quality of Tight Sandstones: A Case Study of the Triassic Chang-7 Member, Ordos Basin, Northwest China
Abstract
1. Introduction
2. Geological Setting
3. Materials and Methods
3.1. Thin-Section Analysis
3.2. Porosity and Permeability Analysis
3.3. Scanning Electron Microscopy
3.4. X-ray Diffractometry
4. Results
4.1. Petrology
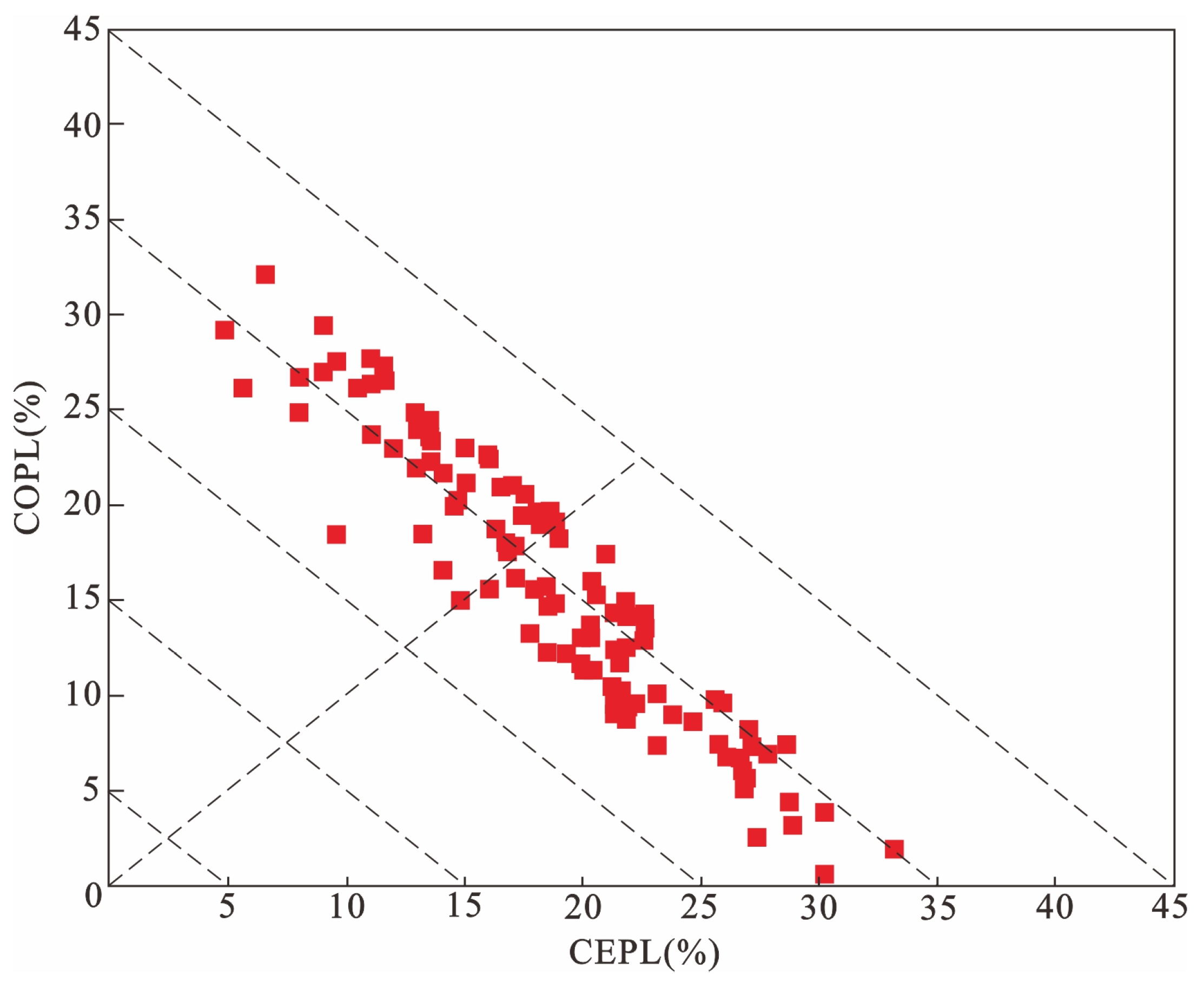
4.2. Reservoir Properties
- (1)
- Porosity and permeability
- (2)
- Pore types and pore-throat characteristics
4.3. Diagenetic Events and Characteristics
- (1)
- Compaction
- (2)
- Cementation
- (3)
- Dissolution
5. Discussion
5.1. Paragenetic Sequence of Diagenesis
- (1)
- Eodiagenesis
- (2)
- Mesodiagenesis
5.2. Diagenetic Control on Reservoir Quality
- (1)
- Impact of compaction
- (2)
- Impact of cementation
- (3)
- Impact of dissolution
5.3. Diagenetic Evolution Model
6. Conclusions
Author Contributions
Funding
Data Availability Statement
Acknowledgments
Conflicts of Interest
References
- Jarvie, D.M.; Hill, R.J.; Ruble, T.E.; Pollastro, R.M. Unconventional shale-gas systems: The Mississippian Barnett Shale of north-central Texas as one model for thermogenic shale-gas assessment. AAPG Bull. 2007, 91, 475–499. [Google Scholar] [CrossRef]
- Maugeri, L. The Shale Oil Boom: A US Phenomenon; Harvard Kennedy School: Cambridge, MA, USA, 2013. [Google Scholar]
- Arthur, M.A.; Cole, D.R. Unconventional hydrocarbon resources: Prospects and problem. Elements 2014, 10, 257–264. [Google Scholar] [CrossRef]
- Karim, A.; Piper, P.G.; Piper, J.M.D. Controls on diagenesis of Lower Cretaceous reservoir sandstones in the western Sable Subbasin, offshore Nova Scotia. Sediment. Geol. 2010, 224, 65–83. [Google Scholar] [CrossRef]
- Dutton, P.S.; Loucks, G.R. Diagenetic controls on the evolution of porosity and permeability in lower Tertiary Wilcox sandstones from shallow to ultradeep (200–6700 m) burial, Gulf of Mexico Basin, U.S.A. Mar. Petrol. Geol. 2010, 27, 69–81. [Google Scholar] [CrossRef]
- Wolela, A. Diagenetic evolution and reservoir potential of the Barremiane Cenomanian Debre Libanose Sandstone, Blue Nile (Abay) Basin, Ethiopia. Cretac. Res. 2012, 36, 83–95. [Google Scholar] [CrossRef]
- Zou, C.N.; Zhu, R.K.; Liu, K.; Su, L.; Bai, B.; Zhang, X. Tight gas sandstone reservoirs in China: Characteristics and recognition criteria. J. Pet. Sci. Eng. 2012, 88, 82–91. [Google Scholar] [CrossRef]
- Yuan, G.H.; Cao, Y.C.; Gluyas, J.; Li, X.Y.; Xi, K.L.; Wang, Y.Z.; Jia, Z.Z.; Sun, P.P.; Oxtoby, N.H. Feldspar dissolution, authigenic clays, and quartz cements in open and closed sandstone geochemical systems during diagenesis: Typical examples from two sags in Bohai Bay Basin, East China. AAPG Bull. 2015, 99, 2121–2154. [Google Scholar] [CrossRef]
- Yang, H.; Li, S.X.; Liu, X.Y. Characteristics and resource prospects of tight oil and shale oil in Ordos Basin. Acta Pet. Sin. 2013, 34, 1–11, (In Chinese with an English abstract). [Google Scholar]
- Yao, J.L.; Deng, X.Q.; Zhao, Y.D.; Han, T.Y.; Chu, M.J.; Pang, J.L. Characteristics of tight oil in Triassic Yanchang Formation, Ordos Basin. Pet. Explor. Dev. 2013, 40, 161–169. [Google Scholar] [CrossRef]
- Jia, C.Z.; Zou, C.N.; Li, J.Z.; Li, D.H.; Zheng, M. Evaluation criteria, major types, characteristics and resource prospects of tight oil in China. Petrol. Res. 2016, 1, 1–9. [Google Scholar] [CrossRef]
- Bjørlykke, K. Relationships between depositional environments, burial history, and rock properties. Some principal aspects of diagenetic process in sedimentary basins. Sediment. Geol. 2014, 301, 1–14. [Google Scholar] [CrossRef]
- Makeen, Y.M.; Abdullah, W.H.; Ayinla, H.A.; Hakimi, M.H.; Sia, S. Sedimen-tology, diagenesis and reservoir quality of the upper abu gabra formationsandstones in the Fula Sub-basin, Muglad Basin. Sudan. Mar. Petroleum Geol. 2016, 77, 1227–1242. [Google Scholar] [CrossRef]
- Bjørlykke, K.; Jahren, J. Open or closed geochemical systems during diagenesis in sedimentary basins: Constraints on mass transfer during diagenesis and the prediction of porosity in sandstone and carbonate reservoirs. AAPG Bull. 2012, 96, 2193–2214. [Google Scholar] [CrossRef]
- Schmid, S.; Worden, R.H.; Fisher, Q.J. Diagenesis and reservoir quality of the Sherwood Sandstone (Triassic), Corrib Field, Slyne Basin, west of Ireland. Mar. Pet. Geol. 2004, 21, 299–315. [Google Scholar] [CrossRef]
- Morad, S.; Al-Ramadan, K.; Ketzer, J.M.; Ros, L.F. The impact of diagenesis on the heterogeneity of sandstone reservoirs: A review of the role of depositional facies and sequence stratigraphy. AAPG Bull. 2010, 94, 1267–1309. [Google Scholar] [CrossRef]
- Rahman, M.J.; McCann, T. Diagenetic history of the Surma Group sandstones (Miocene) in the Surma Basin, Bangladesh. J. Asian Earth Sci. 2012, 45, 65–78. [Google Scholar] [CrossRef]
- Dai, J.X.; Ni, Y.Y.; Wu, X.Q. Tight gas in China and its significance in exploration and exploitation. Pet. Explor. Dev. 2012, 39, 277–284. [Google Scholar] [CrossRef]
- Yang, Q.F.; Bao, Z.D.; Wang, N.; Qu, X.F.; Lin, Y.B.; Shen, J.J.; Awan, R.S. Diagenetic evolution and its impact on reservoir quality of tight sandstones: A case study of the Triassic Chang 6 Member, Ordos Basin. Mar. Petrol. Geol. 2020, 117, 104360. [Google Scholar] [CrossRef]
- Sun, Z.X.; Sun, Z.L.; Lu, H.J.; Yin, X.J. Characteristics of carbonate cements in sandstone reservoirs: A case from Yanchang Formation, middle and southern Ordos basin, China. Pet. Explor. Dev. 2010, 37, 543–551. [Google Scholar] [CrossRef]
- Xi, K.L.; Cao, Y.C.; Jahren, J.; Zhu, R.K.; Bjørlykke, K.; Zhang, X.X.; Cai, L.X.; Hellevang, H. Quartz cement and its origin in tight sandstone reservoirs of the Cretaceous Quantou formation in the southern Songliao basin, China. Mar. Petrol. Geol. 2015, 66, 748–753. [Google Scholar] [CrossRef]
- Lai, J.; Wang, G.W.; Ran, Y.; Zhou, Z.L.; Cui, Y.F. Impact of diagenesis on the reservoir quality of tight oil sandstones: The case of Upper Triassic Yanchang Formation Chang 7 oil layers in Ordos Basin, China. J. Petrol. Sci. Eng. 2016, 145, 54–65. [Google Scholar] [CrossRef]
- Dou, W.C.; Liu, L.F.; Wu, K.J.; Xu, Z.J.; Feng, X. Diagenesis of tight oil sand reservoirs: Upper triassic tight sandstones of yanchang formation in ordos basin, China. Geol. J. 2017, 53, 707–724. [Google Scholar] [CrossRef]
- Yang, T.; Cao, Y.C.; Friis, H.; Liu, K.Y.; Wang, Y.Z.; Zhou, L.L.; Zhang, S.M.; Zhang, H.N. Genesis and distribution pattern of carbonate cements in lacustrine deep-water gravity-flow sandstone reservoirs in the third member of the Shahejie Formation in the Dongying Sag, Jiyang Depression, Eastern China. Mar. Pet. Geol. 2018, 92, 547–564. [Google Scholar] [CrossRef]
- Xi, K.L.; Cao, Y.C.; Liu, K.Y.; Wu, S.T.; Yuan, G.H.; Zhu, R.K.; Kashif, M.; Zhao, Y.W. Diagenesis of tight sandstone reservoirs in the Upper Triassic Yanchang Formation, southwestern Ordos Basin, China. Mar. Petrol. Geol. 2019, 99, 548–562. [Google Scholar] [CrossRef]
- Cui, J.W.; Zhu, R.K. Mecanism of Strong Calcium Cementation in Tight Sandstone and Its Significance: A Case Study on Triassic Chang 7 Oil Formation of Yanchang Formation in Ordos Basin. J. Jilin Univ. (Earth Sci. Ed.) 2020, 50, 957–967, (In Chinese with an English abstract). [Google Scholar]
- Sun, N.L.; Zhong, J.H.; Hao, B.; Ge, Y.Z.; Swennen, R. Sedimentological and diagenetic con- trol on the reservoir quality of deep-lacustrine sedimentary gravity flow sand reser- voirs of the Upper Triassic Yanchang Formation in Southern Ordos Basin, China. Mar. Petrol. Geol. 2020, 112, 104050. [Google Scholar] [CrossRef]
- Zhang, W.Z.; Yang, W.W.; Xie, L.Q. Controls on organic matter accumulation in the Triassic Chang 7 lacustrine shale of the Ordos Basin, central China. Int. J. Coal Geol. 2017, 183, 38–51. [Google Scholar] [CrossRef]
- Fu, J.H.; Li, S.X.; Xu, L.M.; Niu, X.B. Paleo-sedimentary environmental restoration and its significance of Chang 7 Member of Triassic Yanchang Formation in Ordos Basin, NW China. Petroleum Explor. Dev. 2018, 45, 936–946. [Google Scholar] [CrossRef]
- Qiao, S.H.; Li, Y.H.; Guo, W.; Zhang, Y.B.; Wang, Y. Inorganic geochemical characteristics and paleoenvironment of Chang 7 oil shale in Yanchang Formation, Tongchuan area, Shaanxi Province. Pet Geol. Exper. 2019, 41, 121–126, (In Chinese with an English abstract). [Google Scholar]
- Li, Q.; Wu, S.H.; Xia, D.L.; You, X.L.; Zhang, H.M.; Lu, H. Major and trace element geochemistry of the lacustrine organic-rich shales from the Upper Triassic Chang 7 Member in the southwestern Ordos Basin, China: Implications for paleoenvironment and organic matter accumulation. Mar. Pet. Geol. 2020, 111, 852–867. [Google Scholar] [CrossRef]
- Yu, W.; Tian, J.C.; Wang, F.; Liang, Q.S.; Yang, T.; Kneller, B.; Liang, X.W. Sedimentary environment and organic matter enrichment of black mudstones from the upper Triassic Chang-7 member in the Ordos Basin. Northern China. J. Asian Earth Sci. 2022, 224, 105009. [Google Scholar] [CrossRef]
- Yang, H.; Fu, J.H.; He, H.Q.; Liu, X.Y.; Zhang, Z.Y.; Deng, X.Q. Formation and distribution of large low-permeability lithologic oil regions in Huaqing, Ordos Basin. Petroleum Explor. Dev. 2012, 39, 641–648. [Google Scholar] [CrossRef]
- Dickson, J.A.D. Carbonate identification and genesis as revealed by staining. J. Sediment. Res. 1966, 36, 491–505. [Google Scholar] [CrossRef]
- Moore, D.M.; Reynolds, R.C. X-ray Diffraction and the Identification and Analysis of Clay Minerals; Oxford University Press: Oxford, UK, 1997. [Google Scholar]
- Hillier, S. Quantitative analysis of clay and other minerals in sandstones by X-ray powder diffraction (XRPD). In Clay Mineral Cements in Sandstones; Worden, R., Morad, S., Eds.; International Association of Sedimentologist, Special Publication; Blackwell Publishing Ltd.: Oxford, UK, 2003. [Google Scholar] [CrossRef]
- Folk, R.L.; Andrews, P.B.; Lewis, D. Detrital sedimentary rock classification and nomenclature for use in New Zealand. New Zeal. J. Geol. Geophys. 1970, 13, 937–968. [Google Scholar] [CrossRef]
- Chuhan, F.A.; Kjeldstad, A.; Bjørlykke, K.; Høeg, K. Experimental compression of loose sands: Relevance to porosity reduction during burial in sedimentary basins. Can. Geotech. J. 2003, 40, 995–1011. [Google Scholar] [CrossRef]
- Wang, J.J.; Wu, S.H.; Li, Q.; Xiao, S.M. Controls of diagenetic alteration on the reservoir quality of tight sandstone reservoirs in the Triassic Yanchang formation of the Ordos Basin, China. J. Asian Earth Sci. 2020, 200, 104472. [Google Scholar] [CrossRef]
- Walderhaug, O.; Bjørkum, P.A. Calcite cement in shallow marine sandstones: Growth mechanisms and geometry. In Carbonate Cementation in Sandstones; Morad, S., Ed.; International Association of Sedimentologists Special Publication 26; Blackwell Publishing Ltd.: Oxford, UK, 1998; pp. 179–192. [Google Scholar] [CrossRef]
- Worden, R.H.; Morad, S. Quartz Cementation in Oil Field Sandstones: A Review of the Key Controversies; Blackwell Publishing Ltd.: Oxford, UK, 2000; pp. 1–20. [Google Scholar] [CrossRef]
- de Carvalho, M.D.; Praça, U.M.; da Silva-Telles, A.C., Jr.; Jahnert, R.J.; Dias, J.L. Bioclastic carbonate lacustrine facies models in the Campos Basin (lower cretaceous), Brazil. In Lake Basins through Space Time; AAPG Studies in Geology: Tulsa, OK, USA, 2000. [Google Scholar] [CrossRef]
- Scholle, P.A. Chalk diagenesis and its relation to petroleum exploration: Oil from chalks, a modern miracle? AAPG Bull. 1977, 61, 982–1009. [Google Scholar] [CrossRef]
- SY/T 5163-2010; Analysis Method for Clay Minerals and Ordinary Non-Clay Minerals in Sedimentary Rocks by the X-ray Diffraction. China Petroleum Standardization Committee: Beijing, China, 2010. (In Chinese)
- Ozkan, A.; Cumella, S.P.; Milliken, K.L.; Laubach, S.E. Prediction of lithofacies and reservoir quality using well logs, late cretaceous williams fork formation, mamm creek field, piceance basin, Colorado. AAPG Bull. 2011, 95, 1699–1723. [Google Scholar] [CrossRef]
- Henares, S.; Caracciolo, L.; Viseras, C.; Fernandez, J.; Yeste, L.M. Diagenetic constraints on heterogeneous reservoir quality assessment: A Triassic outcrop analog of meandering fluvial reservoirs. AAPG Bull. 2016, 100, 1377–1398. [Google Scholar] [CrossRef]
- Li, Z.; Wu, S.H.; Xia, D.L.; Zhang, X.F.; Huang, M. Diagenetic alterations and reservoir heterogeneity within the depositional facies: A case study from distributary-channel belt sandstone of Upper Triassic Yanchang Formation reservoirs (Ordos Basin, China). Mar. Pet. Geol. 2017, 86, 950–971. [Google Scholar] [CrossRef]
- Wang, W.R.; Yue, D.L.; Zhao, J.Y.; Li, W.; Wang, B.; Wu, S.H.; Li, S.H. Diagenetic alteration and its control on reservoir quality of tight sandstones in lacustrine deep-water gravity-flow deposits: A case study of the Yanchang Formation, southern Ordos Basin, China. Mar. Petrol. Geol. 2019, 110, 676–694. [Google Scholar] [CrossRef]
- Yao, J.L.; Wang, Q.; Zhang, R.; Tang, J.; Tian, B.; Liao, P. Origin and spatial distribution of carbonates in Yanchang Fm. (Triassic) sandstones within the lacustrine center of Ordos Basin, NW China. Nat. Gas. Geos. 2011, 22, 943–950, (In Chinese with an English abstract). [Google Scholar]
- Houseknecht, W.D. Assessing the relative importance of compaction processes and cementation to reduction of porosity in sandstones. AAPG Bull. 1987, 71, 633–642. [Google Scholar] [CrossRef]














| Samples | Well | Depth (m) | Whole Rock Mineral (%) | Authigenic Clay Minerals (%) | Porosity (%) | Permeability (mD) | ||||||||||
|---|---|---|---|---|---|---|---|---|---|---|---|---|---|---|---|---|
| Q | Pla | PF | Ca | Dol | Sid | Clay | I | I/S | K | Ch | I/S(S) | |||||
| 1 | C96 | 1964.82 | 38.75 | 6.96 | 1.76 | / | 16.14 | 2.18 | 32.86 | 54.43 | 26.04 | 5.67 | 13.86 | 20 | 5.3 | 0.053 |
| 2 | C96 | 1965.59 | 46.28 | 21.08 | 18.34 | 2.27 | 4.14 | 0.64 | 7.25 | 48.8 | 25.53 | 6.11 | 19.57 | 15 | 8.4 | 0.107 |
| 3 | C96 | 1973.27 | 63.29 | 13.45 | 4.32 | 2.12 | 4.59 | 0.87 | 11.35 | 48.97 | 23.11 | 5.71 | 22.2 | 20 | 5.7 | 1.544 |
| 4 | C96 | 1981 | 55.45 | 6.42 | 4.02 | 6.77 | 7.19 | / | 12.16 | 49.22 | 34.7 | / | 16.08 | 20 | 0.6 | 0.02 |
| 5 | C96 | 1992.29 | 26.96 | 10.48 | 2.82 | / | 13.33 | 1.61 | 44.8 | 55.8 | 27.51 | 4.24 | 12.45 | 20 | 7.4 | 0.094 |
| 6 | C96 | 1993.42 | 65.86 | 17.75 | 3.06 | 0.67 | 2.75 | 0.76 | 9.15 | 54.45 | 23.36 | / | 22.18 | 20 | 9 | 0.136 |
| 7 | C96 | 1996.15 | 54.11 | 13.64 | 5.69 | 1.97 | 5.18 | 2.01 | 17.4 | 55.75 | 24.63 | 4.9 | 14.71 | 20 | 4.8 | 0.064 |
| 8 | C96 | 1997.39 | 41.87 | 13.08 | 2.84 | 0.92 | 10.14 | 1.27 | 29.89 | 54.02 | 28.68 | 4.12 | 13.18 | 20 | 7.6 | 0.09 |
| 9 | C96 | 1997.69 | 63.66 | 16.13 | 6.18 | 1.48 | 2.13 | 1.03 | 9.41 | 53.26 | 26.16 | 5.04 | 15.55 | 15 | 8.8 | 0.15 |
| 10 | C96 | 1998.64 | 63.37 | 13.52 | 5.48 | 2.29 | 5.32 | 0.88 | 9.13 | 55.64 | 22.72 | 7.02 | 14.62 | 15 | 9.3 | 0.136 |
| 11 | C96 | 2000.69 | 65.6 | 13.39 | 5.64 | 1.18 | 2.92 | 0.9 | 10.37 | 55.8 | 24.26 | / | 19.95 | 15 | 8.8 | 0.163 |
| 12 | C96 | 2001.42 | 68.19 | 12.21 | 4.14 | 1.57 | 3.22 | 0.94 | 9.73 | 59.97 | 22.11 | / | 17.93 | 15 | 9 | 0.142 |
| 13 | C96 | 2002.1 | 35.5 | 14 | 3.07 | / | 7.54 | 1.02 | 38.87 | 55.45 | 27.45 | 3.19 | 13.91 | 20 | 6.6 | 0.066 |
| 14 | C96 | 2003.25 | 68.28 | 14.19 | 2.68 | 1.26 | 2.97 | 1.09 | 9.53 | 61.42 | 16.42 | / | 22.15 | 15 | 10.6 | 0.174 |
| 15 | C96 | 2005.38 | 58.13 | 22.06 | 3.54 | 0.58 | 5.01 | 0.67 | 10 | 61.52 | 21.26 | 4.96 | 12.27 | 15 | 7.2 | 0.137 |
| 16 | C96 | 2006.6 | 66.51 | 15.69 | 5.46 | 1.21 | 2.22 | 1.05 | 7.86 | 67.56 | 7.16 | 6.17 | 19.11 | 15 | 10.1 | 0.128 |
| 17 | C96 | 2008.9 | 57.98 | 17.43 | 10.76 | 1.03 | 2.09 | 0.66 | 10.05 | 55.86 | 26.57 | / | 17.57 | 15 | 6.7 | 0.102 |
| 18 | C96 | 2010.04 | 55.55 | 18.68 | 7.81 | 1.12 | 4.7 | / | 12.14 | 63.14 | 22.55 | 3.68 | 10.62 | 15 | 3.2 | 0.058 |
| 19 | C96 | 2013.02 | 67.05 | 13.18 | 4.33 | 1.04 | 2.44 | 0.77 | 11.19 | 53.4 | 26.42 | 5.43 | 14.74 | 15 | 7.7 | 0.077 |
| 20 | C96 | 2014.58 | 56.99 | 21.4 | 4.49 | 1.18 | 2.86 | 1.31 | 11.77 | 53.69 | 28.24 | 4.51 | 13.57 | 20 | 6.8 | 0.081 |
| 21 | C96 | 2016.86 | 55.29 | 14.17 | 19.75 | 1.13 | 2.3 | 0.76 | 6.6 | 59.68 | 17.38 | 8.91 | 14.03 | 15 | 10.3 | 0.129 |
| 22 | C96 | 2018.3 | 63.92 | 14.3 | 6.62 | 1.15 | 3.19 | 0.88 | 9.93 | 60.06 | 16.09 | 6.29 | 17.55 | 20 | 7.7 | 0.139 |
| 23 | C96 | 2019.79 | 68.2 | 13.09 | 4.16 | 1.23 | 2.47 | 0.94 | 9.92 | 60.84 | 18.09 | 5.82 | 15.25 | 15 | 8.8 | 0.155 |
| 24 | C96 | 2021.34 | 61.74 | 18.37 | 6.18 | 0.88 | 3.06 | 0.81 | 8.97 | 63.81 | 15.97 | 5.8 | 14.41 | 15 | 8.1 | 0.139 |
| 25 | C96 | 2022.77 | 64.53 | 10.78 | 8.55 | 3.15 | 2.33 | 1.18 | 9.48 | 61.1 | 19.15 | / | 19.75 | 20 | 7.1 | 0.081 |
| 26 | C96 | 2024.24 | 64.69 | 10.3 | 5.8 | 1.16 | 5.41 | 1.34 | 11.3 | 61.06 | 18.93 | 5 | 15.01 | 20 | 7 | 0.078 |
| 27 | C96 | 2026.85 | 57.92 | 7.36 | 3.54 | 9.1 | 5.5 | / | 10.25 | 62.8 | 19.38 | / | 17.83 | 15 | 4.3 | 0.034 |
| 28 | C96 | 2028.99 | 62.89 | 16.24 | 2.94 | 1.14 | 5.09 | 1.45 | 10.25 | 65.18 | 14.56 | 6.39 | 13.88 | 15 | 8.5 | 0.078 |
| 29 | C96 | 2033.45 | 56.09 | 17.62 | 5.83 | 1.44 | 5.94 | 1.42 | 11.67 | 66.42 | 16.12 | 7.25 | 10.21 | 20 | 7.6 | 0.075 |
| 30 | C96 | 2034.95 | 56.35 | 15.25 | 3.66 | 0.88 | 5.15 | 1.5 | 17.21 | 59.1 | 26.54 | 3.67 | 10.68 | 20 | 2.4 | 1.677 |
| 31 | C96 | 2039.32 | 60.63 | 16.57 | 5.65 | 1.4 | 3.37 | 1.39 | 11 | 60.1 | 21.99 | 4.14 | 13.77 | 20 | 5.6 | 0.048 |
| 32 | C96 | 2072.5 | 64.12 | 15.71 | 5.87 | 0.81 | 3.86 | 0.73 | 8.89 | 67.08 | 13.15 | / | 19.77 | 20 | 8.7 | 0.084 |
Disclaimer/Publisher’s Note: The statements, opinions and data contained in all publications are solely those of the individual author(s) and contributor(s) and not of MDPI and/or the editor(s). MDPI and/or the editor(s) disclaim responsibility for any injury to people or property resulting from any ideas, methods, instructions or products referred to in the content. |
© 2023 by the authors. Licensee MDPI, Basel, Switzerland. This article is an open access article distributed under the terms and conditions of the Creative Commons Attribution (CC BY) license (https://creativecommons.org/licenses/by/4.0/).
Share and Cite
Yu, W.; Wang, F.; Liu, X.; Tian, J.; Yang, T.; Ren, Z.; Gong, L. Diagenetic Evolution and Its Impact on Reservoir Quality of Tight Sandstones: A Case Study of the Triassic Chang-7 Member, Ordos Basin, Northwest China. Energies 2023, 16, 2217. https://doi.org/10.3390/en16052217
Yu W, Wang F, Liu X, Tian J, Yang T, Ren Z, Gong L. Diagenetic Evolution and Its Impact on Reservoir Quality of Tight Sandstones: A Case Study of the Triassic Chang-7 Member, Ordos Basin, Northwest China. Energies. 2023; 16(5):2217. https://doi.org/10.3390/en16052217
Chicago/Turabian StyleYu, Wei, Feng Wang, Xianyang Liu, Jingchun Tian, Tian Yang, Zhaocai Ren, and Li Gong. 2023. "Diagenetic Evolution and Its Impact on Reservoir Quality of Tight Sandstones: A Case Study of the Triassic Chang-7 Member, Ordos Basin, Northwest China" Energies 16, no. 5: 2217. https://doi.org/10.3390/en16052217
APA StyleYu, W., Wang, F., Liu, X., Tian, J., Yang, T., Ren, Z., & Gong, L. (2023). Diagenetic Evolution and Its Impact on Reservoir Quality of Tight Sandstones: A Case Study of the Triassic Chang-7 Member, Ordos Basin, Northwest China. Energies, 16(5), 2217. https://doi.org/10.3390/en16052217

