Performance Analysis of Internal Ballistic Multiphase Flow of Composite Charge Structure
Abstract
1. Introduction
- (1)
- The multi-scale reactive flows of complex charge structures are numerically studied;
- (2)
- The ballistic properties and flow field distribution of different charge structures are discussed in detail; and
- (3)
- The sensitivity of ballistic characteristics to structural parameters is studied by adjusting the charge structure.
2. Mathematical Model
2.1. Governing Equation of Gas Phase
2.2. Auxiliary Equation
2.3. Numerical Methods
2.4. Initial and Boundary Conditions
3. Results and Discussion
3.1. Ballistic Performance of Different Charge Structures
3.2. Flame Propagation Performance
3.3. Influence of Tubular Propellant and Granular Propellant Proportion
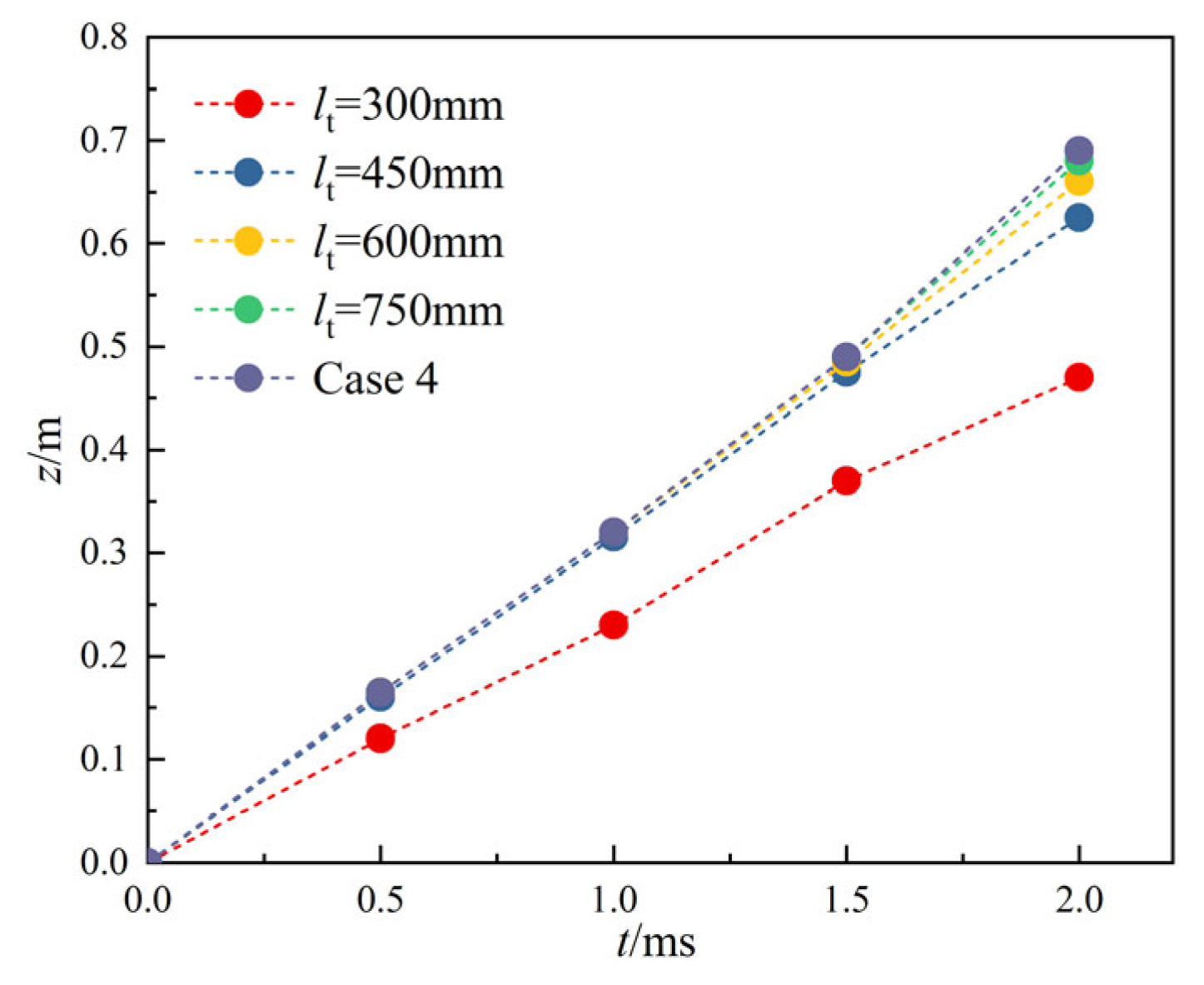
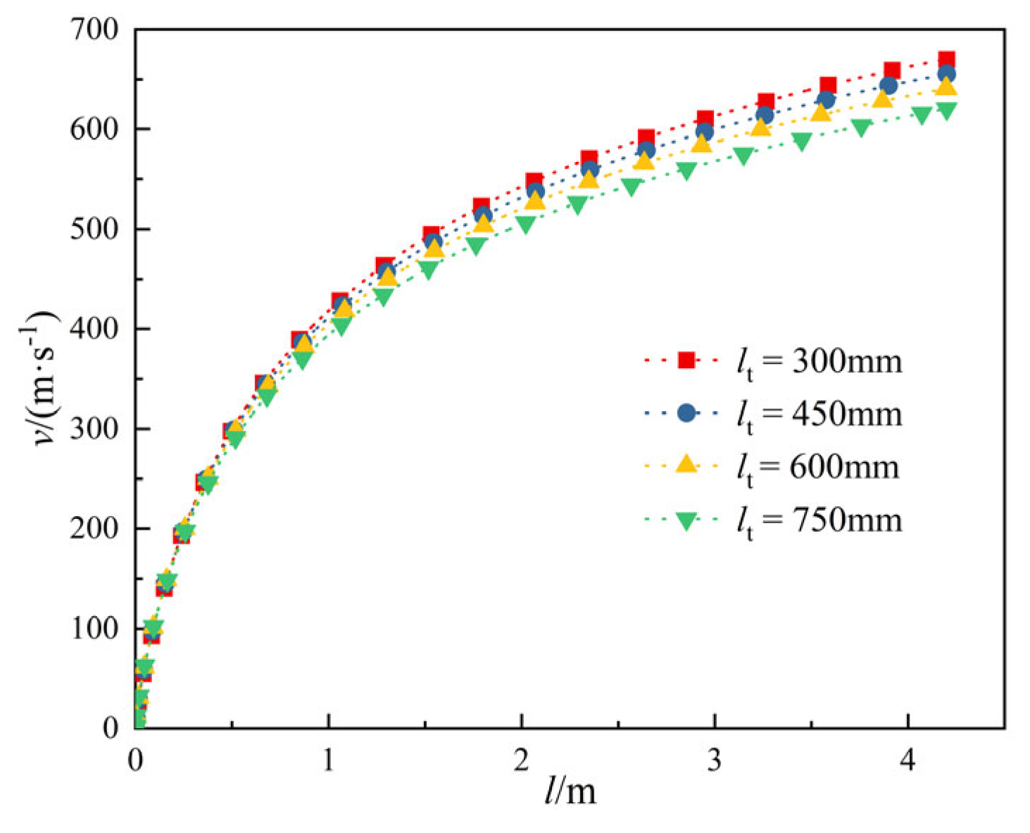
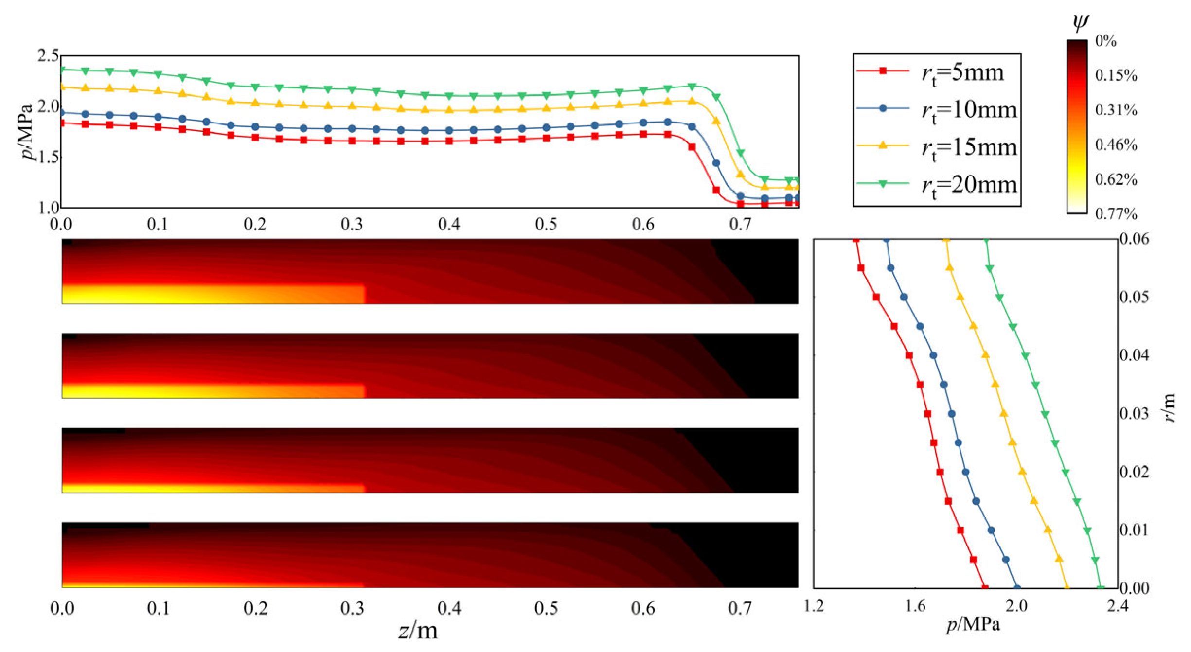
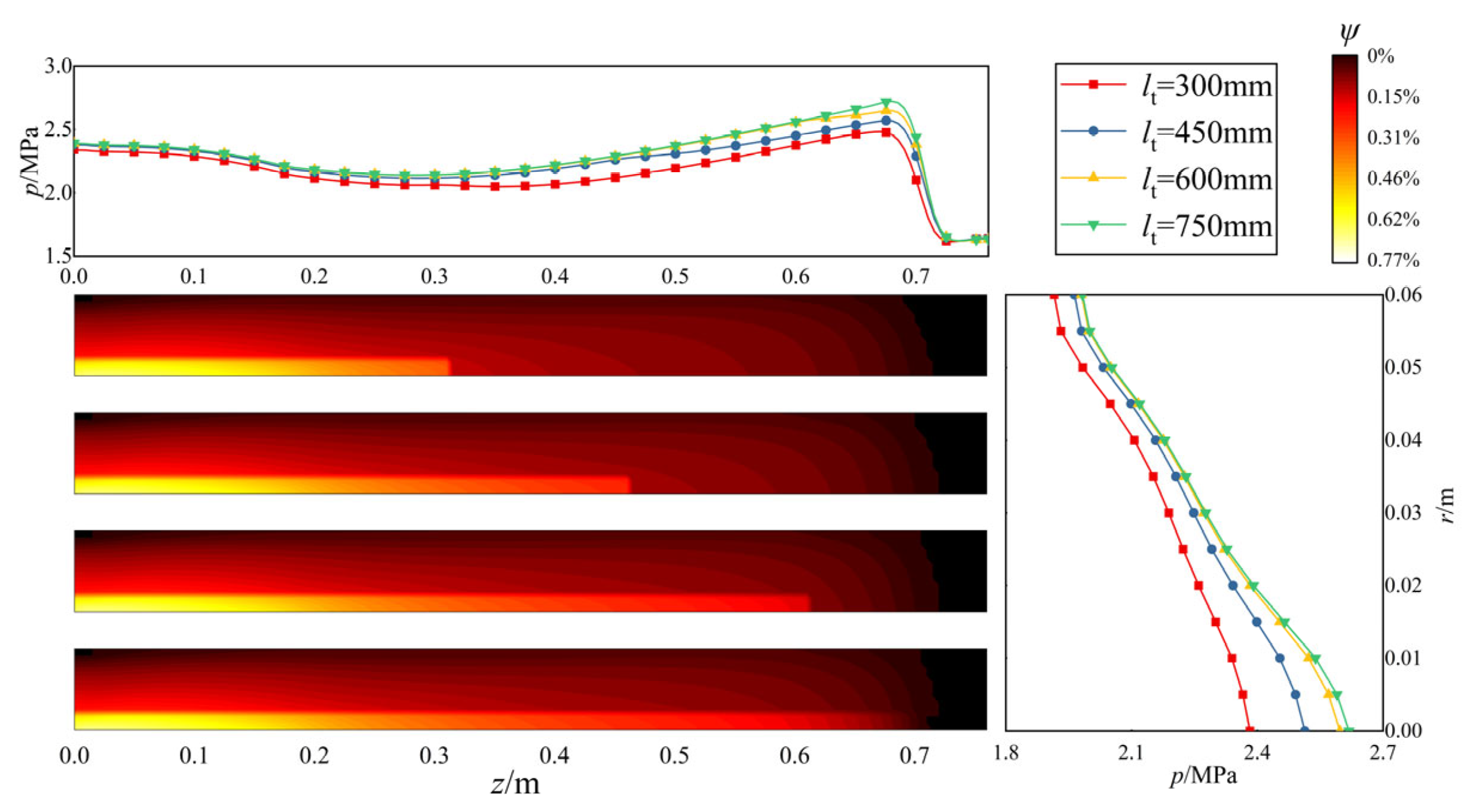
3.4. Influence of Center Charge Structure Parameters
4. Conclusions and Prospects
- (1)
- By comparing the four charging structures, the tubular propellant has better ignition performance than the granular propellant, and the ignition consistency can be improved by charging tubular propellant.
- (2)
- The front and rear mixed charge structure and the center tubular propellant charge has good ignition and fire transmission performance. The flame spreading time is obviously smaller than that of the full particle charging structure, and is basically the same as that of the full tubular charging structure.
- (3)
- The mass and ignition properties of tubular propellants are nonlinear. As the tubular length increases gradually, the increase of flame propagation speed becomes increasingly smaller. More tubular propellants are ineffective at significantly improving ignition performance, and would reduce the chamber pressure.
Author Contributions
Funding
Data Availability Statement
Conflicts of Interest
References
- Miura, H.; Matsuo, A.; Nakamura, Y. Numerical prediction of interior ballistics performance of projectile accelerator using granular or tubular solid propellant. Propellants Explos. Pyrotech. 2012, 38, 204–213. [Google Scholar] [CrossRef]
- El Sadek, H.; Zhang, X.; Rashad, M.; Cheng, C. Improvement of interior ballistic performance utilizing particle swarm optimization. Math. Probl. Eng. 2014, 2014, 1–10. [Google Scholar] [CrossRef]
- Li, K.J.; Zhang, X.B. Optimization and application of interior ballistic performance with mixed-charge. Chin. J. Explos. Propellants 2011, 34, 74–79. [Google Scholar]
- Tabrizi, A.B.; Shams, M.; Ebrahimi, R. Numerical study of gas-solid reactive flow in a cylinder. J. Mech. Sci. Technol. 2012, 26, 811–817. [Google Scholar] [CrossRef]
- Jiang, S.Y.; Wang, H.; Lin, C.J.; Wang, J.L. Establishment and simulation of two-dimensional interior ballistics model of large caliber davis gun considering the axial movement of tubular charge clusters. Acta Armamentarii 2016, 37, 1941. [Google Scholar]
- Jiang, S.; Wang, H. Discrete group gas-solid two-phase flow model and its simulation in the large caliber high speed davis gun. J. Harbin Inst. Technol. 2016, 23, 5. [Google Scholar]
- Nusca, M.J.; Gough, S. Numerical Model of Multiphase Flow Applied to Solid Propellant Combustion in Gun Systems. In Proceedings of the 34th AIAA/ASME/SAE/ASEE Joint Propulsion Conference and Exhibit, Cleveland, OH, USA, 13–15 July 1998. [Google Scholar] [CrossRef]
- Miura, H.; Matsuo, A.; Nakamura, Y. Three-Dimensional Simulation of Pressure Fluctuation in a Granular Solid Propellant Chamber within an Ignition Stage. Propellants Explos. Pyrotech. 2011, 36, 259–267. [Google Scholar] [CrossRef]
- Wildegger-Gaissmaier, A.E.; Johnston, I.R. Ignition of a granular propellant bed. Combust. Flame 1996, 106, 219–230. [Google Scholar] [CrossRef]
- Taylor, M.J.; Woodley, C.R. Comparison from modelling and experiment of electrothermal plasma temperature and pressure within granular propellant beds. In Proceedings of the 2004 12th Symposium on Electromagnetic Launch Technology, Snowbird, UT, USA, 25–28 May 2004. [Google Scholar]
- Zhang, L.K.; Yu, Y.G.; Lu, X. Interior ballistics simulation of modular charge gun system using matlab. Appl. Mech. Mater. 2012, 195–196, 834–839. [Google Scholar] [CrossRef]
- Wang, Y.W.; Zhu, W.F.; Di, J.W.; Hu, X.H. Study on the analysis method on ballistic performance of deterred propellant with large web size in large caliber artillery. Def. Technol. 2018, 14, 522–526. [Google Scholar] [CrossRef]
- Acharya, R. Modeling and Numerical Simulation of Interior Ballistic Processes in a 120 mm Mortar System. Ph.D. Thesis, The Pennsylvania State University, State College, PA, USA, 2009. [Google Scholar]
- Acharya, R.; Kuo, K.; Ferrara, P.; Rand, H.; Nimphius, J. Comprehensive Three Dimensional Mortar Interior Ballistics Model for 120mm Mortar System with Experimental Validation. In Proceedings of the 45th AIAA/ASME/SAE/ASEE Joint Propulsion Conference & Exhibit, Denver, CO, USA, 2–5 August 2009. [Google Scholar]
- Schmidt, J.R.; Nusca, M.J. Progress toward a Multidimensional Representation of Mortar Interior Ballistics; John Wiley & Sons, Inc.: Hoboken, NJ, USA, 2009. [Google Scholar]
- van der Hoef, M.A.; van Sint Annaland, M.; Deen, N.G.; Kuipers, J.A.M. Numerical simulation of dense gas-solid fluidized beds: A multiscale modeling strategy. Annu. Rev. Fluid Mech. 2008, 40, 47–70. [Google Scholar] [CrossRef]
- Tsuji, Y. Multi-scale modeling of dense phase gas-particle flow. Chem. Eng. Sci. 2007, 62, 3410–3418. [Google Scholar] [CrossRef]
- van der Hoef, M.A.; Ye, M.; van Sint Annaland, M.; Andrews, A.T.; Sundaresan, S.; Kuipers, J. Multiscale modeling of gas-fluidized beds. Adv. Chem. Eng. 2006, 31, 65–149. [Google Scholar]
- Jaramaz, S.; Mickovic, D.; Elek, P. Two-phase flows in gun barrel: Theoretical and experimental studies. Int. J. Multiph. Flow. 2011, 37, 475–487. [Google Scholar] [CrossRef]
- Cheng, C.; Zhang, X.B. Parallel numerical simulation on three-dimensional two-phase flow of interior ballistic trajectory. Acta Armamentarii 2019, 40, 769. (In Chinese) [Google Scholar]
- Luo, Q.; Zhang, X.B. Numerical simulation of gas-solid two-phase reaction flow with multiple moving boundaries. Int. J. Numer. Methods Heat Fluid Flow. 2015, 25, 375–390. [Google Scholar] [CrossRef]
- Cheng, C.; Zhang, X.B. Influence of serial and parallel structures on the two-phase flow behaviors for dual combustion chambers with a propelled body. Powder Technol. 2017, 314, 442–454. [Google Scholar] [CrossRef]
- Nussbaum, J.; Helluy, P.; Hérard, J.M.; Carriére, A. Numerical simulations of gas-particle flows with combustion. Flow Turbul. Combust. 2006, 76, 403–417. [Google Scholar] [CrossRef]
- Woodley, C.R.; Billett, S.; Lowe, C.; Speares, W.; Toro, E. The FHIBS internal ballistics code. In Proceedings of the 22nd International Symposium on Ballistics, Vancouver, BC, Canada, 14–18 November 2005; pp. 322–329. [Google Scholar]
- Cheng, S.S.; Wang, H.; Xue, S.; Tao, R.Y. Application and Research of the Particle Element Model in Ignition Process of Large-Particle High-Density Charge. Combust. Sci. Technol. 2022, 194, 1850–1871. [Google Scholar] [CrossRef]
- Cheng, C.; Zhang, X. Modeling of interior ballistic gas-solid flow using a coupled computational fluid dynamics-discrete element method. J. Appl. Mech 2013, 80, 314031–314036. [Google Scholar] [CrossRef]
- Miura, H.; Matsuo, A.; Nakamura, Y. Interior Ballistics Simulation of Projectile Launch System Utilizing Tubular Solid Propellant. In Proceedings of the 44th AIAA/ASME/SAE/ASEE Joint Propulsion Conference & Exhibit, Hartford, CT, USA, 21–23 July 2008. [Google Scholar]
- Cheng, C.; Zhang, X.B. Numerical investigation on the transient ignition behavior using CFD-DEM approach. Combust. Sci. Technol. 2014, 186, 1115–1137. [Google Scholar] [CrossRef]
- Baer, M.R.; Nunziato, J.W. A two-phase mixture theory for the deflagration-to-detonation transition (ddt) in reactive granular materials. Int. J. Multiph. Flow 1986, 12, 861–889. [Google Scholar] [CrossRef]
- Jang, J.S.; Oh, S.H.; Roh, T.S. Development of three-dimensional numerical model for combustion-flow in interior ballistics. J. Mech. Sci. Technol. 2016, 30, 1631–1637. [Google Scholar] [CrossRef]
- Jang, J.; Oh, S.; Roh, T. Comparison of the characteristics of granular propellant movement in interior ballistics based on the interphase drag model. J. Mech. Sci. Technol. 2014, 28, 4547–4553. [Google Scholar] [CrossRef]
- Yuan, Y.X.; Zhang, X.B. Multiphase Hydrokinetic Foundation of High Temperature and High Pressure; Publishing Company of Harbin Institute of Technology: Harbin, China, 2005. [Google Scholar]
- Zhang, B.Z.; Wang, H.; Wang, S.S.; Cao, R.Y. One-dimensional two-phase flow modeling and simulation for interior ballistics of large-caliber davis gun. J. Ballist. 2014, 26, 17–21. [Google Scholar]
- Gough, P.S. Some Fundamental Aspects of the Digital Simulation of Convective Burning in Porous Beds; AIAA: Orlando, FL, USA, 1977; pp. 77–855. [Google Scholar]
- Jiang, G.; Shu, C. Efficient Implementation of Weighted ENO Schemes. J. Comput. Phys. 1996, 126, 202–228. [Google Scholar] [CrossRef]


















| Parameters | Value | Parameters | Value |
|---|---|---|---|
| projectile mass/(kg) | 45.35 | density of powder /(kg/m3) | 1578 |
| calibre/(mm) | 132 | specific heat ratio | 1.27 |
| tubular propellant burn rate coefficient | 0.18 | granular propellant burn rate coefficient | 0.0784 |
| tubular propellant burn rate index | 0.75 | granular propellant burn rate index | 0.9 |
| tubular propellant length (mm) | 150 | granular propellant length (mm) | 25.4 |
| tubular propellant diameter (mm) | 6.06 | granular propellant diameter (mm) | 11.43 |
| tubular propellant perforated diameter (mm) | 2.2 | granular propellant perforated diameter (mm) | 11.43 |
| tubular propellant geometry | 7-hole | granular propellant geometry | slotted |
| Charge Structure | The Mass of Granular/kg | The Mass of Tubular/kg | Charging Density/(g·cm−3) | |
|---|---|---|---|---|
| Case 1 | fully tubular | 9.5 | 0 | 0.908 |
| Case 2 | bottom granular | 5.5 | 4 | 0.908 |
| Case 3 | center tubular | 0.5 | 9.0 | 0.908 |
| Case 4 | fully granular | 0 | 9.5 | 0.908 |
| Scheme | The Charging Length of Tubular/mm | The Charging Length of Granular/mm |
|---|---|---|
| 1 | 300 | 462 |
| 2 | 450 | 312 |
| 3 | 600 | 162 |
| 4 | 750 | 12 |
| Scheme | Radial Charging Length of Tubular/mm | Scheme | Axial Charging Length of Tubular/mm |
|---|---|---|---|
| 1 | 5 | 5 | 300 |
| 2 | 10 | 6 | 450 |
| 3 | 15 | 7 | 600 |
| 4 | 20 | 8 | 750 |
Disclaimer/Publisher’s Note: The statements, opinions and data contained in all publications are solely those of the individual author(s) and contributor(s) and not of MDPI and/or the editor(s). MDPI and/or the editor(s) disclaim responsibility for any injury to people or property resulting from any ideas, methods, instructions or products referred to in the content. |
© 2023 by the authors. Licensee MDPI, Basel, Switzerland. This article is an open access article distributed under the terms and conditions of the Creative Commons Attribution (CC BY) license (https://creativecommons.org/licenses/by/4.0/).
Share and Cite
Cheng, S.; Jiang, K.; Xue, S.; Tao, R.; Lu, X. Performance Analysis of Internal Ballistic Multiphase Flow of Composite Charge Structure. Energies 2023, 16, 2127. https://doi.org/10.3390/en16052127
Cheng S, Jiang K, Xue S, Tao R, Lu X. Performance Analysis of Internal Ballistic Multiphase Flow of Composite Charge Structure. Energies. 2023; 16(5):2127. https://doi.org/10.3390/en16052127
Chicago/Turabian StyleCheng, Shenshen, Kun Jiang, Shao Xue, Ruyi Tao, and Xinggan Lu. 2023. "Performance Analysis of Internal Ballistic Multiphase Flow of Composite Charge Structure" Energies 16, no. 5: 2127. https://doi.org/10.3390/en16052127
APA StyleCheng, S., Jiang, K., Xue, S., Tao, R., & Lu, X. (2023). Performance Analysis of Internal Ballistic Multiphase Flow of Composite Charge Structure. Energies, 16(5), 2127. https://doi.org/10.3390/en16052127
