Abstract
The efficient use of energy is a crucial goal related to the world economy, and efforts are aimed at reducing energy demand for the same quality and quantity of products and services. The drive to improve energy efficiency in the context of technological development, as well as the intensification of industrial and other processes, imposes a constant demand for more efficient heat exchange devices and systems. As devices in which the heat transfer process is crucial, heat exchangers play an essential role in many engineering and other applications. There are several generic techniques for improving the performance of thermal devices, which ultimately manifest through an increase in the heat transfer coefficient as the primary efficiency indicator. These methods include initiating or intensifying the turbulent flow of working fluids, increasing the heat exchange surface by applying specific shapes and additional elements, and using working fluids with improved thermophysical characteristics. This work presents a model for optimising a heat-exchanging surface with cylindrical fins based on the assumption that the material has a constant volume. In doing so, the maximum heat flux at the optimal diameter of the cylindrical fins made of different materials is compared. This research was conducted through a combination of three methods, namely, analytical, numerical (based on the computational fluid dynamic (CFD) technique), and experimental support, for the verification of the obtained results. The optimisation model is based on the analytical and numerical simulation of the heat flux through the fins to obtain the relevant thermophysical parameters of the investigated fin profiles. The optimisation of cylindrical fin profiles is performed for three different fin materials (steel, aluminium, and copper) based on the constant heat transfer coefficient and for different fin materials based on variable heat flux. The heat flux change along the fin was evaluated using analytical and numerical methods. The analysis showed that, due to the trade-off between the convective heat transfer surface area for each of the fin materials, an optimal fin diameter could be identified. Furthermore, the temperature along the cylindrical fin was evaluated through analytical, numerical, and experimental methods. The numerical simulation of the fin model was performed using CFD simulations, and the practical experimental research was carried out on a physical installation using a TESTO 875-2 thermal camera to obtain a clearer picture of the temperature profile. The results include heat flux through cylindrical fins as a function of the fin diameter, the material used, and the convective heat transfer coefficient. Moreover, a comparison of analytical and numerical solutions for the heat flux of cylindrical fins is presented. The temperature profile as a function of the fin element height x, obtained using three methods, has been used as a possible comparison between the methods. The optimisation of the fins has implications on the heat transfer efficiency, as well as on the material used to build the thermal devices and other heat-exchanging equipment.
1. Introduction
Contemporary thermal, processing, and power engineering equipment and devices are characterised by an effective use of various types of extended heat-exchanging surfaces and finned systems to intensify heat transfer from or to the surrounding ambient air. These include thermal appliances and devices in multiple industry sectors and services, electrical machinery, electronic devices, household apparatus and devices, medical devices with specific purposes, and many other technical devices, including apparatus for cosmic programmes. Recently, the use of such systems has been further extended; therefore, they are subject to permanent development, primarily directed towards optimising their geometry, materials used, and the aerodynamics and heat transfer conditions. An improvement in energy efficiency in the context of technological development, as well as the intensification of industrial and other processes, impose a permanent demand for more efficient heat-exchanging devices and systems. As devices in which the heat transfer process is crucial, heat exchangers play an essential role in many engineering and other applications. The tendency to continuously improve energy efficiency in industrial and other sectors is driven by rising energy costs and the growing awareness that it is necessary to reduce the environmental impact of energy conversion processes and energy use. Increasing the overall heat transfer coefficient to improve the performance of thermal devices can be achieved in several ways. These include the intensification of the flow of working fluids, the extension of heat transfer surfaces with specific shapes such as ribs, fins, lamellae, and other elements, and the use of working fluids with improved thermophysical properties.
Extended or finned surfaces are frequently employed in engineering applications where there is a need to enhance heat transfer between a hot primary surface and the environment. In [1], the subject of analytical, numerical, and experimental study is heat transferred via free convection from an isothermal cylinder installed between vertical walls. The authors of [2] have extended the study of transient free convection from a horizontal tube placed between parallel walls by using the finite element method. Another study [3] examined heat transfer via natural convection throughout the horizontal isothermal tubes installed in a vertical array, with a diameter D, placed between two horizontal walls at a distance of t. The optimal dependency of the Nusselt number is presented with a ratio (t/D) that is obtained through analytical, numerical, and experimental modes.
Similarly, the works [4,5] investigated the functional dependence of heat transfer via natural convection and the parameters that define the optimal arrangement of horizontal isothermal pipes, their diameter, and the space (volume) between them and the surrounding area. A significant factor concerning the arrangement of cylindrical elements on an extended surface is the method of placement in a certain volume, that is, the density of the arrangement, which is thoroughly explained [6], [7], and [8]. An investigation of a horizontally placed cylinder beam towards a surrounding fluid is presented in [6], while, in [7], the case of free convection heat transfer from vertically placed cylinders is elaborated. In work [8], heat transfer via natural convection to polymeric spiked elements is treated. A theoretical, numerical, and experimental study of the natural convection around a horizontal cylinder between adiabatic vertical walls was carried out in work [9]. The functional dependency between the Nusselt (Nu) and Rayleigh (Ra) numbers was presented for various positions of the cylinder towards vertical walls. In work [10], an analytical comparison of the efficiency of horizontal cylindrical, conical, and other fins was carried out depending on a dimensionless characteristic parameter for various heat transfer coefficient values. A comparison of the performance of three types of conical fins (longitudinal, spine, and annular with a straight taper), achieved by changing the heat transfer coefficient and the surrounding ambience for the material and a similar transversal cut of the same, is presented in work [11]. Kraus et al. [12] have offered a detailed discussion of the mathematical models related to the optimisation of extended heat transfer surfaces as finned systems with various profiles, such as cylindrical, conical, rectangular, and triangular, etc. The work [13] also considers an optimisation of the extended surface dimensions aimed for operation in a convective environment. Bunjaku et al. [14] presented a methodology for the thermal optimisation of various profiles, such as rectangular and triangular fins, taking into consideration different fin materials. The research presented in [15] focuses on an experimental investigation of heat transfer via free convection in a rectangular container. As an outcome, the authors proposed the use of correlation equations based on two characteristic dimensions—cylinder diameter and boundary layer length. In [16], a shell-and-tube-type thermal energy storage system with longitudinal fins, based on the latent heat utilisation, was the subject of numerical analysis. More precisely, the melting and solidification processes have been numerically studied to determine an accurate model for describing the charging and discharging of the system. The study presented in [17] conducts a numerical investigation of the hydrodynamics and heat transfer of a six-tube-row compact fin and tube heat exchangers. The aim of the analysis was to identify the interaction between the geometry and the operating conditions to design more efficient devices.
The baseline hypothesis in the present research is that heat transfer from or to a complex extended surface can be intensified by optimising the geometry of finned elements. The research methodology is based on the use of three methods: analytical, numerical (computational fluid dynamic (CFD) technique), and experimental. The work focuses on optimising extended heat-exchanging surfaces with cylindrical fins and heat flux driven by natural convection as a function of fin diameter under the assumption of a constant volume of fins. Thereby, the optimal diameter of the cylindrical fins, which results from the maximum heat flux through the fins, is compared in several cases, i.e., cases of fins made of three different materials. The approach applied in the research, which combines three methods (analytical, numerical, and experimental), has rarely been used in other works. Moreover, the optimisation model was based on an analytical and numerical simulation of the heat flux through the fins in order to obtain relevant thermophysical parameters of the investigated fin profiles. The implications of this study’s findings and other similar works relate to improved heat transfer conditions and the technoeconomic optimisation of the systems.
2. Materials and Methods
The application of profiled, i.e., ribbed, heat exchange surfaces in thermal engineering is widespread. As a rule, fins and surfaces with added elements of different shapes are applied in cases when a fluid with a higher heat transfer coefficient flows on one side of the partition surface and a fluid with a lower coefficient flows on the other. The difference between the values of the heat transfer coefficients is compensated by increasing the surface for heat exchange on the air side, with appropriate profiling, i.e., ribbing. The ratio between the surface on the inside and the outside surface in practical thermal engineering applications is often up to 1:2 but can reach values in the order of 1:10, even up to 1:50 and more. There are numerous examples of thermal and other engineering devices, facilities, and installations where heat transfer is intensified by the application of ribbed or finned surfaces. There are many components in heating, air conditioning, and cooling systems, such as components for the air cooling of electric motors or the cooling of electronic devices (for example, data centres, computers, etc.), water heating in solar collectors, and heat exchangers with a specific purpose in different areas, etc.
The present research is conducted as a combination of three methods: analytical, numerical (based on the CFD technique), and experimental support for the verification of results. The optimisation model is based on analytical and numerical simulation of the heat flux through the fins to obtain the relevant parameters of the fin profiles that were the subject of analysis. The assumptions and constraints employed to define and limit a problem are very important for making the solution of the equations that define the fin geometries simpler and more accurate. The analysis of the different fins’ geometries in contemporary research is based on the fundamental works of Murray (1938) and Gardner (1945). The corresponding simplifications are almost always referred to as the Murray–Gardner assumptions and are elaborated in Kraus’ work [12]. The same fundamental assumptions are built into this work.
2.1. Mathematical Model of Thermal Flux through Fins
The pin fins have multiple applications in practice. Therefore, it is essential to analyse various fin profiles. The general scheme for calculating the pin fins is presented in Figure 1, where, for the heat flux along the fin element, the following energy balance equation is applied:
Figure 1.
Generalised profile.
Based on Fourier’s law for the heat transfer along the fin, Equation (1) can be transformed as follows:
where θ = T − Ts is the temperature difference.
After differentiation and specific adjustment, the overall differential equation of the fins with various profiles is obtained in the following general form:
Further modifications of this equation result from the shape of the extended heat-exchanging surface, that is, the finned elements are added to the surface.
2.2. Optimisation of Thermal Flux for Cylindrical Fins
If in the general Equation (4) is set f2(x) = d/2, where d is the diameter of the fin, it is possible to obtain the differential equation which describes the phenomenon of heat transfer through the cylindrical fin and the surrounding fluid (Figure 2), which is most often ambient air:
where is a characteristic parameter of the fins with diameter d, h is the heat transfer coefficient (in W/m2K), and k is the thermal conductivity of the fin material (in W/mK).
Figure 2.
The profile of the cylindrical fin.
The boundary conditions of the current problem are set as:
The temperature differences at the base of the fin and at its top are denoted as θb and θ0. Taking into account the boundary conditions (6), and taking h0 = 0 to simplify the problem, which means that the heat flux at the tip of the fin is negligible, based on [12], the following solution of the differential Equation (5) is obtained:
Because the orientation of the height coordinate x is opposed to the direction of the heat flow in the fin, the heat flow through the base of the fin Qb is obtained from
By replacing the height of the fin b = f (V, d) in Equation (8), and by considering the volume of cylindrical fins V = (πd2/4)b as a constant parameter, the heat flux through cylindrical fins as a function of the diameter of the fin may be obtained. The present research considers three fin materials: steel, aluminium, and copper. The obtained results are presented in Section 3, compared with the results from the numerical simulation and experimental part of the research.
2.3. Temperature Profiles through the Fin
In addition to the comparative analysis of the amount of heat that spreads as heat flux through the fin elements, a comparison of the temperature profiles across the cylindrical fins was made based on the three methods used.
2.3.1. Analytical Method
Based on the work of Kraus et al. [12], by adjusting the generalised equation for cylindrical pins, the following is obtained:
After the necessary replacements regarding the boundary conditions and assumptions aimed to simplify the problem, the following simplified expression is obtained:
According to Kraus et al. [12], the temperature profile as a function of the height of the fin x is defined with the following equations:
2.3.2. Numerical Method
Advanced modelling techniques, such as computational fluid dynamics (CFDs), are established as beneficial methods for solving different engineering and environmental problems and are particularly suitable for the reliable prediction of aerodynamic and thermal processes connected with energy efficiency enhancement. As a powerful engineering tool, the CFD technique has been extensively used for several decades for the modelling, simulation, and analysis of the working performances of thermal systems.
Regarding the numerical method, several case studies analysing the different thermal systems with the application of the CFD technique are presented in [14,16,17,18]. Reference [14] discusses similar kinds of research challenges as the present research.
Numerical calculations have been performed using ANSYS Fluent 15 software. The presented transient three-dimensional phase change problem has been solved numerically using the finite volume approach. A numerical mesh consisting of 27,324 volume cells and 29,212 nodes was applied for the current computational model. The mesh was obtained after a preliminary check of several versions with different densities and proved to be optimal in terms of quality, i.e., the number of numerical cells and the independence of the solution. The SIMPLE algorithm was employed to treat the coupling between the pressure and the fluid velocities. The pressure field was discretised with a second-order scheme, whereas the second-order upwind discretisation scheme was applied for the velocity and temperature field. The minimal convergence criterion was set to 10−10 for the continuity and momentum equation and to 10−12 for the energy equation.
In parallel with the analytically derived data, the temperature profile and other parameters were obtained through the numerical (CFD) method. The values of the operating parameters relevant to the current numerical simulations were considered to be the same as those in the real physical model, i.e., the heat transfer at the tip of the fin is not set equal to 0.
2.3.3. Experimental Method
The experimental setup used for the present research has been described in detail in [19]. One of the essential tools used during the experimental investigation was the thermal camera Testo 875-2, which was used to obtain a clearer picture of the temperature profile over the heat-exchanging surfaces. The accuracy of the thermal camera Testo 875-2 and the measuring instruments of the technical data presented in the technical documentation for thermography was ±2% of mV in a range from −30 to +100 °C. Moreover, the infrared image output for infrared resolution was 160 × 120 pixels, and thermal sensitivity was ˂50 mK at +30 °C. To determine the temperature at specific points along the fin, the IRSoft Testo software was used. An example of typical results from the implementation of the experimental method is provided in Section 3.
3. Results and Discussion
This section contains some of the results obtained using the previously described optimisation approach consisting of three methods, which, in this case, was applied to cylindrical fin elements.
Based on the analytical procedure described in Section 2.2, the corresponding results for heat flux throughout the fins as a function of fin diameter d, calculated for different fins materials, are presented in Figure 3.
Figure 3.
Heat flux through cylindrical fins as a function of the diameter of the fin (d) and coefficient conductivity of fin (k).
The diagram in Figure 3, obtained from Equation (8), shows that, for all three types of fin materials (steel, aluminium, copper), the optimal diameter of the fin can be clearly identified. Further on in the diagram, the generated heat flux increases at the beginning up to a maximal value and, later on, it decreases by increasing the fin’s diameter (d).
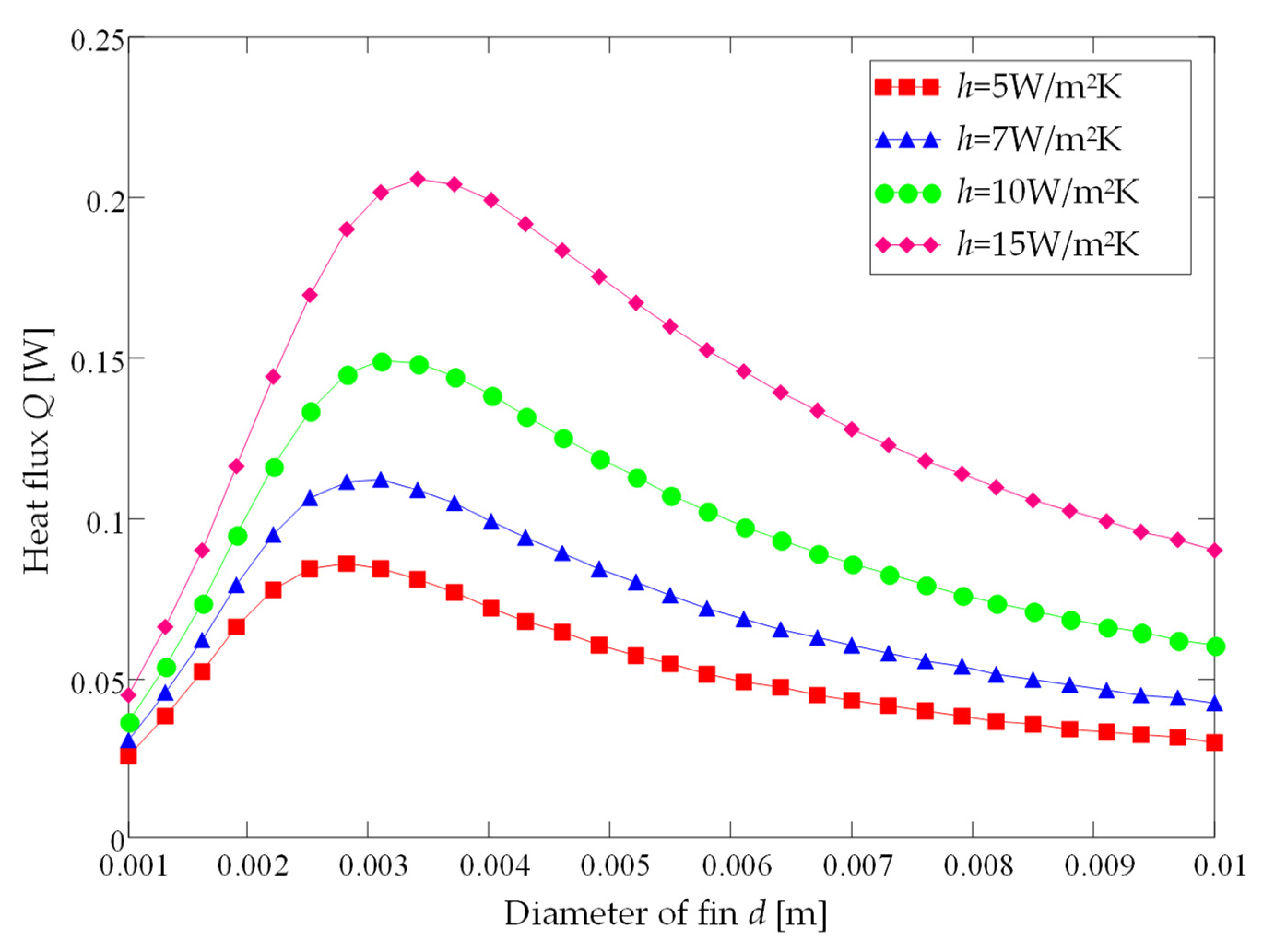
A further analysis performed in the frame of the present work was focused on identifying the optimal diameter of the fins as a function of the heat transfer coefficient. The results of this part of the research are presented in Figure 4. In this case, the results are provided only for the analysis of the steel-finned heat transfer surface, considering that, for the other types of materials, the approach would be the same and the results analogous.
Figure 4.
Heat flux through cylindrical fins for the steel material as a function of diameter (d).
As expected, from Figure 4, it can be noticed that, for an exact value of the fin diameter (d), and for fins characterised with a higher convection heat transfer coefficient (h), higher values for the heat flux are obtained.
This study is carried out by considering fin volume to be constant. Moreover, as the heat transfer coefficient increases, the maximum heat flux values shift to the right (i.e., the optimum diameter increases), while, for a lower heat transfer coefficient, the maximum heat flux value is reached at a smaller fin diameter because the contact surface is larger at a constant volume.
Similar optimisation and comparison analysis can be provided by considering that the fin contacting surface is constant.
The relevance of the constant parameters of the current optimisation model is supported by the fact that the constant surface affects the efficiency of the fins. On the other hand, the constant volume affects the fin design and the fin compactness and, ultimately, the consumption of the manufacturing material. Numerical values are presented for two cases, i.e., when the heat transfer at the end of the fin is neglected and for the other case, when heat transfer at the end of the fin is not taken as zero.
Values obtained using numerical simulations and analytical values for various materials are presented in Table 1.
Table 1.
Analytical and numerical values for cylindrical fin.
Specific differences between the heat flux values obtained by applying the analytical and numerical methods (Figure 5) are explained by the fact that, when using the analytical method, the simplification as mentioned above is made, namely, that the heat flux at the tip of the fin is zero (h0 = 0). However, in reality, this value is not zero, and this is taken into account when applying the numerical method.
Figure 5.
Comparison of analytical and numerical solutions for the heat flux of cylindrical fins.
The mismatch of values for the thermal flux obtained analytically and for those obtained numerically is more obvious in the case of pins with bigger diameters. This means that, with an increasing fin diameter, the simplification of the zero heat flux at the top of the fin is less realistic.
A graphical presentation of the temperature profile provided with Equation (12), in the range x = 0 ÷ 25 mm, is provided in Figure 6.
Figure 6.
The temperature profile as a function of the height of cylindrical fin x.
Figure 7 presents an example of a temperature profile along the fin obtained using the numerical method.
Figure 7.
Temperature profile of cylindrical fin with numerical method (CFD).
The values of the temperature profile for the cylindrical fin obtained based on the numerical simulation model are presented in Figure 8.
Figure 8.
Temperature profile as a function of the fin element height x (CFD numerical method).
The image taken with the thermal camera, showing the temperature profile along the finned surface, carried out in work [19], is presented in Figure 9. In order to measure temperature at some points along the fin, the IRSoft Testo software was used.
Figure 9.
Presentation of the surface temperature profile obtained through experimental method (by use of the thermal camera).
The experimentally derived data for the temperature along the fins with diameter d = 5 mm and length b = 25 mm are presented in Figure 10.
Figure 10.
Temperature profile as a function of height x (experimental method).
A comparison of the temperature profiles along the cylindrical fins is presented in Table 2 using the results related to the temperature profile obtained based on the three methods used in the research. In addition to these results, the discrepancy between the temperature values obtained using these three methods is also presented.
Table 2.
Temperature profile obtained using three methods and discrepancy between the values.
Based on the presented results in the diagram (Figure 11), there is a certain discrepancy between the results derived using the analytical and numerical methods. One reason for this is due to the simplifications required in the analytical method to be able to solve differential equations. Namely, in the analytical method, to simplify the problem and to solve the differential equation, the thermal flux at the top of the fin is neglected. On the other hand, this discrepancy between the results also appears because the problem is considered one-dimensional for the analytical solution. In contrast, a three-dimensional model is applied for the numerical solution.
Figure 11.
Temperature profile as a function of the fin element height x obtained using three methods.
4. Conclusions
This work examines a model for the optimisation of extended heat-exchanging surfaces with cylindrical fins based on the assumption that the fins have a constant volume. The research is conducted as a combination of three methods, namely, analytical, numerical, i.e., CFD technique, and experimental, for the verification of the obtained results.
The paper provides the results of the optimisation of the heat transfer rate through a cylindrical fin profile aiming to determine the optimal geometry (fin diameter and height) of finned heat-exchanging surfaces. The investigation also determines and compares the maximum heat flux at the optimal fins’ diameter for those made of three fin materials, i.e., steel, aluminium, and copper.
From the obtained results, it can be concluded that, by increasing the thermal conductivity, that is, by using materials with a higher coefficient of thermal conductivity, the maximum value of the heat flux is achieved when the fin has a smaller diameter. Therefore, fins made of material with higher thermal conductivity can achieve more efficient and compact fin systems. On the other hand, by increasing the heat transfer coefficient, the maximum value of the heat flux is achieved at a larger fin diameter.
In addition to the optimisation of the geometrical parameters of the cylindrical fins, the current work presents and discusses the discrepancy between the thermal flux obtained by using the analytical method and CFD technique, as well as the discrepancy of the temperature profile obtained using analytical, numerical, and experimental methods. The difference is more evident when the cylinder diameter increases since, in that case, the assumption of negligible heat transfer at the tip of the fin is less valid.
The implications of the main findings of the current research and other similar studies include improved conditions for heat transfer and the technoeconomic optimisation of the systems.
Author Contributions
Conceptualisation, F.B. and R.V.F.; methodology, R.V.F.; software, F.B.; validation, F.B. and R.V.F.; formal analysis, R.V.F.; investigation, F.B.; resources, R.V.F.; data curation, F.B.; writing—original draft preparation, F.B.; writing—review and editing, R.V.F.; visualisation, F.B.; supervision, R.V.F.; project administration, F.B.; funding acquisition, F.B. All authors have read and agreed to the published version of the manuscript.
Funding
This research received no external funding.
Institutional Review Board Statement
Not applicable.
Informed Consent Statement
Not applicable.
Data Availability Statement
Not applicable.
Conflicts of Interest
The authors declare no conflict of interest.
Nomenclature
| h | heat transfer coefficient, W/(m2K), |
| b | fin height, m |
| d | fin diameter, m |
| k | thermal conductivity, W/mK |
| m | fin performance parameter, m−1 |
| A | cross-section in base of fin, m2 |
| N | characteristic parameters of the fin |
| Q | heat flux, W |
| q | heat flux, W/m2 |
| V | volume of fin, m3 |
| T | temperature of fin’s surface, K |
| Greek Symbols | |
| θ | temperature difference |
| Subscripts | |
| a | air |
| b | base of fin |
| 0 | top of the fin |
| s | surrounding air |
| in | input |
| out | output |
References
- Sadeghipour, M.S.; Razi, Y.P. Natural convection from a confined horizontal cylinder: The optimum distance between the confining walls. Int. J. Heat Mass Transf. 2001, 44, 367–374. [Google Scholar] [CrossRef]
- Sadeghipour, M.S.; Hannani, S.K. Transient natural convection from a horizontal cylinder confined between vertical walls—A finite element solution. Int. J. Numer. Methods Eng. 1992, 34, 621–635. [Google Scholar] [CrossRef]
- Hannani, S.K.; Sadeghipour, M.S.; Nazaktabar, M. Natural convection heat transfer from horizontal cylinders in a vertical array confined between parallel walls. Int. J. Eng. 2002, 15, 293–302. [Google Scholar]
- Bejan, A.; Fowler, A.J.; Stanescu, G. The optimal spacing between horizontal cylinders in a fixed volume cooled by natural convection. Int. J. Heat Mass Transf. 1995, 38, 2047–2055. [Google Scholar] [CrossRef]
- Bello-Ochende, T.; Bejan, A. Constructal multi-scale cylinders in cross-flow. Int. J. Heat Mass Transf. 2005, 48, 1373–1383. [Google Scholar] [CrossRef]
- Farouk, B.; Güçeri, S.I. Natural convection from horizontal cylinders in interacting flow fields. Int. J. Heat Mass Transf. 1983, 26, 231–243. [Google Scholar] [CrossRef]
- Sadeghipour, M.S.; Asheghi, M. Free convection heat transfer from arrays of vertically separated horizontal cylinders at low Rayleigh numbers. Int. J. Heat Mass Transf. 1994, 37, 103–109. [Google Scholar] [CrossRef]
- Bahadur, R.; Bar-Cohen, A. Thermal design and optimisation of natural convection polymer pin fin heat sinks. IEEE Trans. Compon. Packag. Technol. 2005, 28, 238–246. [Google Scholar] [CrossRef]
- Karim, F.; Farouk, B.; Namer, I. Natural convection heat transfer from a horizontal cylinder between vertical confining adiabatic walls. J. Heat Transf. 1986, 108, 291–298. [Google Scholar] [CrossRef]
- Mokheimer, E.M. Heat transfer from extended surfaces subject to variable heat transfer coefficient. Heat Mass Transf. 2003, 39, 131–138. [Google Scholar] [CrossRef]
- Kundu, B.; Das, P.K. Performance analysis and optimisation of straight taper fins with variable heat transfer coefficient. Int. J. Heat Mass Transf. 2002, 45, 4739–4751. [Google Scholar] [CrossRef]
- Kraus, A.; Abdul, A.; James, W. Extended Surface Heat Transfer; John Wiley & Sons: Hoboken, NJ, USA, 2001. [Google Scholar]
- Aziz, A. Optimum dimensions of extended surfaces operating in a convective environment. Appl. Mech. Rev. 1992, 45, 155–173. [Google Scholar] [CrossRef]
- Bunjaku, F.; Filkoski, R.V.; Sahiti, N. Thermal Optimization and Comparison of Geometric Parameters of Rectangular and Triangular Fins with Constant Surfacing. Stroj. Vestn. J. Mech. Eng. 2017, 63, 439–446. [Google Scholar] [CrossRef]
- Cieslinski, J.T.; Smolen, S.; Sawicka, D. Free Convection Heat Transfer from Horizontal Cylinders. Energies 2021, 14, 559. [Google Scholar] [CrossRef]
- Kirincic, M.; Trp, A.; Lenic, K. Influence of natural convection during melting and solidification of parafin in a longitudinally finned shell-and-tube latent thermal energy storage on the applicability of developed numerical models. Renew. Energy 2021, 179, 1329–1344. [Google Scholar] [CrossRef]
- Cobian-Iniguez, J.; Wu, A.; Dugast, F.; Pacheco-Vega, A. Numerically-based parametric analysis of plain fin and tube compact heat exchangers. Appl. Therm. Eng. 2015, 86, 1–13. [Google Scholar] [CrossRef]
- Bonefacić, I.; Wolf, I.; Franković, B. Numerical Modelling of Thermal Comfort Conditions in an Indoor Space with Solar Radiation Sources. Stroj. Vestn. J. Mech. Eng. 2015, 61, 641–650. [Google Scholar] [CrossRef]
- Bunjaku, F. Optimisation of Geometrical and Thermal Parameters of Heat Transfer Finned Surfaces in Natural Convection Conditions. Ph.D. Thesis, Ss. Cyril and Methodius University, Skopje, North Macedonia, 2018. [Google Scholar]
Disclaimer/Publisher’s Note: The statements, opinions and data contained in all publications are solely those of the individual author(s) and contributor(s) and not of MDPI and/or the editor(s). MDPI and/or the editor(s) disclaim responsibility for any injury to people or property resulting from any ideas, methods, instructions or products referred to in the content. |
© 2023 by the authors. Licensee MDPI, Basel, Switzerland. This article is an open access article distributed under the terms and conditions of the Creative Commons Attribution (CC BY) license (https://creativecommons.org/licenses/by/4.0/).










