Abstract
The performance and reliability of the state-of-the-art power 4H-SiC metal–oxide–semiconductor field-effect transistors (MOSFETs) are affected by electrically active defects at and near the interface between SiC and the gate dielectric. Specifically, these defects impact the channel-carrier mobility and threshold voltage of SiC MOSFETs, depending on their physical location and energy levels. To characterize these defects, techniques have evolved from those used for Si devices to techniques exclusively designed for the SiC MOS structure and SiC MOSFETs. This paper reviews the electrically active defects at and near the interface between SiC and the gate dielectric in SiC power MOSFETs and MOS capacitors. First, the defects are classified according to their physical locations and energy positions into (1) interface traps, (2) near interface traps with energy levels aligned to the energy gap, and (3) near-interface traps with energy levels aligned to the conduction band of SiC. Then, representative published results are shown and discussed for each class of defect.
1. Introduction
In the current global environment, the demand for clean and cost-effective energy motivates the development of efficient power conversion systems for applications such as switch-mode power supplies, inverters for electric vehicles, battery chargers, and high-frequency power converters [1,2]. The power-conversion systems utilize semiconductor-based power switches, which need to satisfy four fundamental requirements: (1) high-blocking voltage, (2) high-power efficiency, (3) high-switching speed, and (4) normally OFF operation of the switch [3].
The reverse-bias voltage that can be applied across a switch when it is OFF is known as blocking voltage. The blocking voltage is limited by the breakdown voltage of the device, which can be determined from the solution of the one-dimensional Poisson’s equation [3]:
where is the breakdown voltage, is the semiconductor permittivity, is the breakdown or critical electric field, q is the value of electron charge, and is the doping level of the n-type drift region that supports the reverse-bias voltage. The critical electric field is ten times higher in SiC ( = 300 V/μm) than the Si ( = 30 V/μm) due to the wider energy gap in SiC (3.2 eV) compared to Si (1.12 eV) [3].
The switching circuits are used for power conversion to maximize the power efficiency of the system. However, the resistance of the drift region is a key contributor to static power loss in these switches, which consequently reduces the overall efficiency of the system. The specific resistance of the low doped drift region is given by [3,4]:
where is the mobility of electrons in the drift region. Given that is thousand times higher for SiC than Si, the transition from Si to SiC enabled the development of power switches with higher blocking voltages and reduced . The increased blocking voltage allowed system designers to eliminate the use of bulky and expensive transformers. On the other hand, the reduced resulted in the development of SiC power switches with both a smaller area, hence smaller parasitic capacitances to reduce the dynamic power dissipation, and a smaller ON resistance () to reduce the static power dissipation.
The third requirement, high switching speed is helpful in reduction of the size and cost of the power system by allowing the use of smaller inductors. To obtain a high switching speed, long switching delays must be avoided by the device. Therefore, metal–oxide–semiconductor field-effect transistors (MOSFETs) are the preferred option for the controlled power switches because they are unipolar devices that do not exhibit reverse and forward recovery times.
The requirement of a normally controlled switch is significant for power-switching applications. A normally OFF switch means that the switch is in the ON mode only when an above-threshold positive voltage is applied at the controlling electrode (gate) and remains in the OFF mode when no voltage is applied at the gate. This basic requirement can only be achieved by using MOSFET as a switch, which is the key reason behind the popularity of MOSFETs amongst other semiconductor devices.
In a nutshell, the wide energy gap and high critical electric field make SiC the best choice to meet the demand for power switches. SiC is available in various polytypes, but the most popular polytypes are 3C-SiC, 4H-SiC, and 6H-SiC. However, 4H-SiC is superior to its counterparts due to its higher electron mobility and wider energy gap [5,6]. In this paper, we will refer to 4H-SiC as SiC.
At a specific blocking voltage, SiC MOSFETs allow thinner drift layers and higher doping concentrations in comparison with Si devices [3,7]. Consequently, SiC MOSFETs have much smaller ON resistance, than Si MOSFETs [4,8], resulting in improved overall efficiency due to reduced power losses [9]. However, a decade after the commercialization of the first SiC power MOSFET in 2011, these power switches have still not fully utilized the theoretical potential of SiC [10]. A high density of electrically active defects at and near the SiC–SiO2 interface is attributed to the reduced performance and sub-optimal reliability of these devices [11,12,13]. Therefore, the characterization of the SiC–SiO2 interface is important to guide further improvements in the quality of the interface toward the development of SiC MOSFETs that exploit the full potential of the material properties of SiC.
For a long time, the SiC–SiO2 interface in SiC MOSFETs was characterized by the standard characterization techniques developed for the Si–SiO2 interface in Si MOSFETs. However, recent studies reveal that novel characterization techniques are required to accurately profile electrically active defects in the SiC–SiO2 interface [14,15]. With the realization of the fact that the physical properties of the interface and characteristics of the defects are different in SiC MOSFETs and Si MOSFETs, researchers are now focusing on developing characterization techniques specifically for the SiC–SiO2 interface.
The aim of this review article is to enhance the present understanding of SiC MOS structure by classifying the defects at and near the interface between SiC and the gate dielectric and by describing their impact on the performance and reliability of SiC MOSFETs. The article is presented as follows: in Section 2, electrically active defects are classified based on their physical location and energy levels. Furthermore, the effect of a particular type of defect on the device is briefly discussed. Section 3 presents standard characterization methods to quantify interface traps. In Section 4, near-interface traps (NITs) below the bottom of the conduction band and the corresponding measurement techniques are presented. In Section 5, characterization techniques for NITs with energy levels above the bottom of the conduction band are described. The introduced classification and the reviewed results are summarized in Section 6.
2. Classification of Defects
The electrically active defects, situated at or near the SiC surface, trap mobile charge carriers from and release them to the semiconductor. These defects, also known as traps, have different energy levels. Subject to their physical locations and energy levels, these traps cause distinct effects. To enable adequate analysis of these effects, we define the following three classes of defects at and near the interface between SiC and the gate dielectric:
- Interface traps;
- Near-interface traps with energy levels aligned to the energy gap of SiC;
- Near-interface traps with energy levels aligned to the conduction band of SiC.
This classification is illustrated in Figure 1.
Figure 1.
Schematic diagram and classification of electrically active defects in the SiC MOS structure.
2.1. Interface Traps
The traps positioned at the interface between SiC and the gate dielectric, with energy levels inside the energy gap, are known as interface traps. They are shown by circles in Figure 1. These defects are analogous to the interface traps at the Si–SiO2 interface. As illustrated in Figure 2a, the interface traps can capture carriers from the energy bands and emit carriers into the bands via thermal emission. These processes are modeled by Shockley–Read–Hall statistics [16,17]. Interface traps are usually quantified by their density per unit area and unit energy, labeled , to show their energy distribution.
Figure 2.
Schematic diagram illustrating the trapping and de-trapping mechanisms for the three classes of defects: (a) thermal emission and capture in the case of interface traps, (b) two-step process—tunneling and thermal emission/capture—in the case of NITs below , and (c) tunneling in the case of NITs above .
2.2. Near-Interface Traps with Energy Levels Aligned to the Energy Gap of SiC (NITs below EC)
The defects located near the SiC surface inside the gate dielectric, and with energy levels aligned to the energy gap, will be referred to as NITs below . In Figure 1, these defects are represented by the triangles. These type of defects also exist near the Si–SiO2 interface, where they are also called border traps. However, the density of defects near the Si–SiO2 interface is very small—much smaller than the interface traps. In the case of SiC, the transition between SiC and SiO2 is through a layer labeled as SiCxOy [18,19,20]. This layer is responsible for a high density of NITs. The NITs below exchange charge with the energy bands by two-step processes, involving tunneling to and from the interface traps and thermal emission/capture to/from the energy bands [21]. The two-step charge trapping/detrapping by NITs below is shown in Figure 2b. In this paper, we will use the symbol for the density of these traps per unit area and unit energy, although the symbol is used in many papers and they are not always properly distinguished from the interface traps.
2.3. Near-Interface Traps with Energy Levels Aligned to the Conduction Band of SiC (NITs above EC)
The traps positioned near the SiC surface inside the gate dielectric and with energy levels aligned to the conduction band (energy levels above ) will be referred to as NITs above . These NITs are represented by squares in Figure 1. Having energy levels aligned to the conduction band, these traps exchange electrons by tunneling to and from the SiC when the Fermi level enters the conduction band at the SiC surface due to gate bias above the threshold voltage (), as shown in Figure 2c. This effect is due to the quantum-confinement effect [22,23] and is ignored by the classical theory. It is also important to note that the response times of trapping and de-trapping by the NITs depends on their distance from the interface.
2.4. Impact on Performance and Reliability of MOSFETs
The reduced performance and sub-optimal reliability of SiC MOSFETs are attributed to a high density of electrically active defects mentioned above [24,25,26,27]. The interface traps increase the threshold voltage by capturing the electrons attracted to the surface by the gate voltage (). During device operation, NITs below can trap electrons, causing threshold-voltage instability, which is a reliability issue [28,29,30]. However, at the operating gate voltages (), NITs above become active and continuously capture and release electrons from the MOSFET channel by tunneling [31]. This decreases the average density of free inversion-layer electrons, which reduces the average channel-carrier mobility from the trap-free value of above 200 cm2V−1s−1 down to around 40 cm2V−1s−1 in commercial SiC MOSFETs. The reduction in the average channel-carrier mobility is responsible for a proportional decrease in channel current and, therefore, reduced performance of SiC MOSFETs.
3. Interface Traps
Numerous electrical characterization techniques, which were initially developed to characterize the Si-base MOS capacitors and MOSFETs, have been adopted for electrical characterization of the SiC devices. Since the interface traps are the dominant defects in Si devices, these conventional techniques are suitable for the defects with energy levels corresponding to the sub-threshold gate voltages () in SiC devices [32,33,34,35].
3.1. Characterization by C—V Based Techniques
Several C–V-based techniques were developed to measure the density of : high frequency C–V technique or Terman technique [36], AC conductance technique [37,38], quasi-static C–V method [39,40], high–low C–V method [41], Hill–Coleman technique [42], Q–C method [43], and C– method [44].
The AC conductance technique is one of the most prevalent techniques used to quantify in MOS capacitors due to its accuracy, sensitivity, and reliability. This method measures the complex admittance of the device to extract the conductance at a specific . In addition to the , the conductance curves obtained from the AC conductance technique allow the calculation of the capture cross-section of the defects, and surface potential fluctuations [45]. Figure 3 shows typical results obtained using the AC conductance technique to determine the .
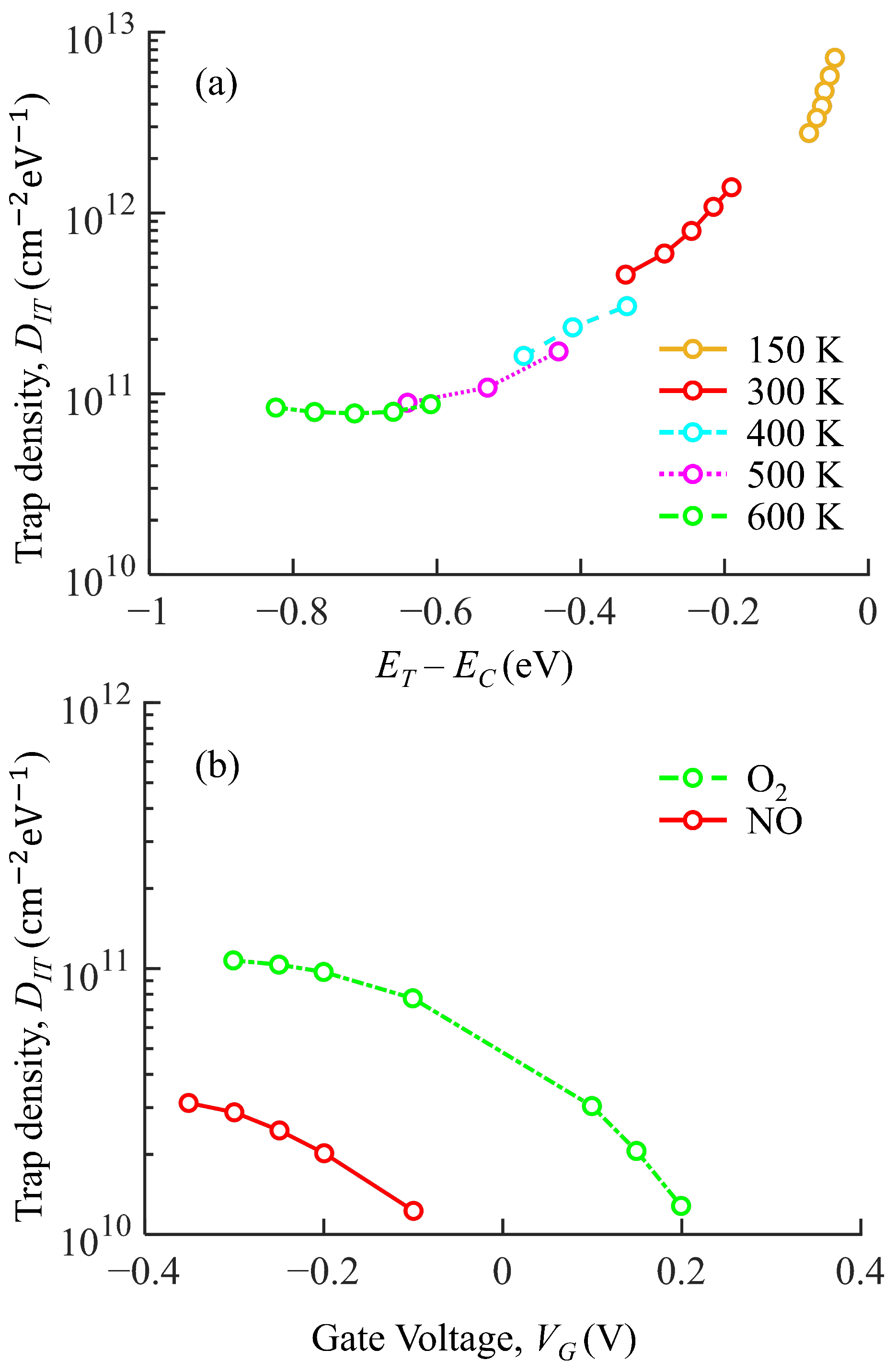
Figure 3.
Density of interface traps measured by AC conductance method (a) before post-oxidation annealing in NO (data from [46]) and (b) after post-oxidation annealing in NO (data from [47]).
Figure 3a shows that temperatures from 150 K to 600 K were needed to provide profiling from 0.05 eV to 0.8 eV below [46]. A wide range of temperatures was required to see the energy distribution because the charge emission time from the interface traps to is proportional to , where k is the Boltzmann’s constant and T is the absolute temperature [48,49,50]. The density of interface traps is quite high, but these results are for gate oxides grown in dry O2, which is inadequate for the proper operation of SiC MOSFETs.
The gate-oxidation process used in all commercial SiC MOSFETs involves some form of nitridation in nitric oxide, such as post-oxidation annealing in nitric oxide (NO). The first conductance-based measurements of gate oxides nitrided in NO are shown in Figure 3b [47]. The distribution of trap density as a function of was obtained from the conductance technique performed at room temperature. The results demonstrate a significant reduction in interface-trap density due to the nitridation effect achieved by growing the gate oxide in NO. The interface-trap densities are quite low, but it should be noted that these oxides are very thin.
3.2. Characterization by I–V Based Techniques
MOS capacitors are used to profile the interface traps using C–V-based characterization techniques. However, the fabrication process of MOSFETs is more complex than that of the MOS capacitors, which may result in a different distribution of the interface traps in MOSFETs [51,52]. The I–V-based measurement techniques can be used to profile the in both MOSFETs and MOS capacitors. Charge-pumping [53,54,55,56] and sub-threshold characteristics [52,57,58] are the most popular I–V-based measurement techniques. Some typical results for the distribution of using the charge pumping method are shown in Figure 4.
Figure 4.
in 4H-SiC MOSFET characterized using the charge-pumping method: (a) room temperature (data from [59]), (b) temperature range from −60 °C to 200 °C (data from [60]).
The charge pumping technique used with MOSFETs can profile the trap density in the whole energy gap. Figure 4a shows the distribution of interface traps in 4H-SiC MOSFETs [59]. It is worth noting that the interface traps in the order of cm−2eV−1 were also measured near the top of the valence band ().
Charge-pumping measurements on lateral MOSFETs fabricated on the usual Si-face (0001) and also on the a-face () of 4H-SiC are shown in Figure 4b [60]. The results show that the near is lower in the case of a-face, which suggests that a MOSFET channel along the a-face will exhibit higher channel-carrier mobility [61,62,63,64]. This relates to the higher mobility in MOSFETs with trench gate structure, which utilize the a-face to form the channel. Moreover, measurements were performed at a wide range of temperatures ranging from −60 °C to 200 °C to obtain the distribution of trap density close to and .
4. NITs below EC
There is an emerging realization that electrically active defects are not only located at the interface, but are also situated near the SiC surface within the SiCxOy layer. In this section, we will discuss the NITs energetically aligned with the energy gap.
4.1. Characterization by Measurements on MOS Capacitors
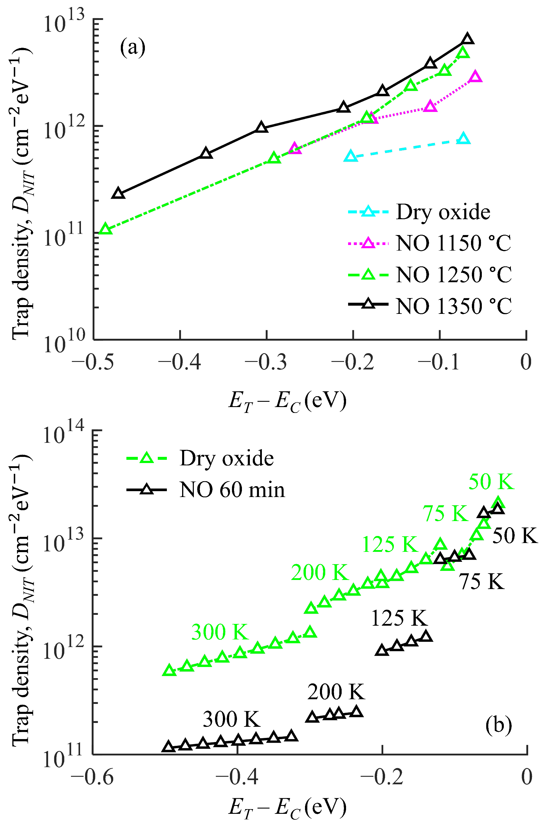
An investigation performed by Yoshika et al. on SiC MOS capacitors, using conductance technique at low temperatures, suggested that the nitridation of the dry oxides created very fast NITs, which they referred to as very fast NI traps. The of the dry oxide sample and the samples nitrided at 1150–1350 °C are shown in Figure 5a [65].
Figure 5.
Density of near-interface traps obtained by (a) the conductance technique (data from [65]) and (b) the high–low C–V measurements (data from [66]).
It was considered that the electrons were trapped due to thermal emission, which resulted in high density of traps, 0.06 eV below the conduction band edge, and an exceptionally wide-ranging electron capture cross-section area of cm2– cm2. However, recent studies show that the trapping of electrons by NITs is a two-step process with tunneling to and from the interface traps, and thermal emission/capture to/from the energy bands as shown in Figure 2b [66,67]. Figure 5b shows the in SiC MOS capacitors obtained using the high–low method [66]. All the curves show high density of both NITs and interface traps near the bottom of and, consequently, the thermal emission times are very short. This means that the overall time response is determined by the tunneling time in the two-step process. However, the tunneling times are also very short for the majority of NITs that are located within fractions of a nanomoter from the SiC surface. The tunneling time constant as a function of the distance from the SiC surface is shown in Figure 6 [26]. It can be observed that the tunneling time constant is in the order of s for the NITs located 0.5 nm away from the interface. Hence, low temperatures are needed to measure these traps, as measured in [66].
Figure 6.
The tunneling time constant for near-interface traps based on the data obtained from [26].
4.2. Characterization by Measurements on MOSFETs
To characterize NITs near the conduction band edge in SiC MOSFETs, Hatakeyama et al. developed a method using Hall effect measurements and split C—V technique. Figure 7a and b show comparisons of the and the field-effect mobility (), respectively [68]. The highest mobility achieved by the sample NO 60 (post-oxidation annealing in nitric oxide at 1250 °C for 60 min) was ≈37 cm2V−1s−1, which is much smaller than the bulk mobility of 1000 cm2V−1s−1. It is clear from the results shown in Figure 7 that the high density of NITs is one of the main reasons for such low mobilities [68]. Moreover, similar to the results discussed previously, the is high close to the bottom of the .
Figure 7.
Comparison of (a) the density of near-interface traps and (b) the field-effect mobility in MOSFETs with different gate dielectrics. Data are from [68].
5. NITs above EC
The operating gate voltage of the commercially available SiC MOSFETs ranges between 15 V and 20 V. Hence, it is important to characterize the effects of defects that are active at the operating gate voltages.
At , the Fermi level () is inside the conduction band at the SiC surface due to the quantum-confinement effect. Modeling the quantum-confinement effect, Pennington and Goldsman calculated the energy bands of P-type SiC as a function of the density of electrons in strong inversion (). The results for the position of the Fermi level in the case of (0001) 4H-SiC are shown in Figure 8 [69]. Figure 9 shows that the positions of the Fermi level () with respect to the bottom of the conduction band () are similar in the following two cases: (a) an N-type SiC in accumulation and (b) a P-type SiC in strong inversion as the P-type body of an N-channel MOSFET. The importance of this similarity is that MOS capacitors on N-type SiC can be used as representative structures for N-channel MOSFETs operating above .
Figure 8.
The relationship between the position of the Fermi level at the surface of (0001) 4H-SiC and the density of electrons in the inversion layer (). Data points are from [69].
Figure 9.
Energy-band diagrams for (a) MOS capacitor on N-type SiC in accumulation and (b) the P-type body of a MOSFET in strong inversion, showing energy-band similarity at the SiC surface.
5.1. Characterization by Measurements on MOS Capacitors
Standard C–V techniques can characterize NITs only at the sub-threshold voltages () and are unable to detect the impact of NITs for . For example, in the standard high–low technique, the is calculated using the capacitance measurement at high and low frequencies [41]. However, for MOS capacitors in the accumulation region, the capacitance at low frequency is equal to the oxide capacitance (), causing the equation for the to be divided by [70]. Hence, the equation of the standard high–low technique cannot be used to calculate the in the accumulation region.
Recently, several techniques have been developed to profile the NITs with energy levels aligned to the bottom of the conduction band. The transient-current method can be used to characterize the NITs in MOS capacitors biased in accumulation by measuring transient currents through the capacitor. To measure the transient currents shown in Figure 10, the capacitor was first biased in accumulation for 30 s with the voltage high enough to position the Fermi level at , and then the bias voltage was steeped-up to position the Fermi level above . The tunneling of electrons to the NITs resulted in a transient current that was measured and shown in Figure 10 for different samples [71]. However, this method can only detect slow NITs that were further from the SiC surface, as the response times of the measured traps were longer than 20 ms (refer to Figure 6).
Figure 10.
Transient currents due to electron trapping by NITs above , measured at room temperature. Data obtained from [71].
The density of NITs increases toward the SiC surface, and they have a stronger impact on the performance and reliability of the device. Hence, with the aim of detecting fast NITs, a direct measurement technique was developed. In this method, the distortions in the output sinusoidal voltage measured across the MOS capacitor were attributed to the NITs with response times of hundreds of nanoseconds [72]. Figure 11 shows the above at different frequencies for the MOS capacitors with four different gate oxides: (a) thermally grown in dry O2 at 1250 °C for 1 h (O2), (b) thermally grown in dry O2 followed by annealing in nitric oxide for 1 h each (O2 + NO), (c) annealed in 100% nitric oxide for 5 h (NO), and (d) oxide deposited at low temperature and annealed in 100% nitric oxide for 5 h (LTO + NO) [73].
Figure 11.
Densities of near-interface traps measured by the direct measurement technique for (a) O2, (b) NO + O2, (c) NO, and (d) LTO + NO samples. Data obtained from [73].
5.2. Characterization by Measurements on MOSFETs
The complex structure of power MOSFETs makes it difficult to determine the reduction in channel-carrier mobility due to NITs. Since the NITs above impact the above threshold I–V characteristics, one approach is to measure the transfer I–V characteristic and then to use the mobility as a fitting parameter in a model for the transfer I–V characteristic. Potbhare et al. proposed a physical model that could match the experimental results shown in Figure 12 [74]. This model assumes near-interface traps spatially located few micrometers away from the interface. However, the model does not account for the quantum confinement effect and, consequently, positions the traps below the conduction band.
Figure 12.
Comparison of measured and simulated transfer characteristics of a SiC MOSFET at three different temperatures. Data taken from [74].
An integrated-charge technique was developed recently to profile the NITs with energy levels aligned with the conduction band [51,70]. This technique can be applied to commercial MOSFETs as well as MOS capacitors. The integrated-charge method can measure NITs active at the operating gate voltage with response times in the order of one hundred nanoseconds. To explain this method, the C–V curves of the 1200-V SiC MOSFETs measured using the integrated-charge technique for different response times are shown in Figure 13 [75]. The commercial MOSFETs with planar and trench gate structures were obtained from the same manufacturer.
Figure 13.
C–V curves measured using the integrated-charge technique for (a) planar MOSFET, and (b) trench MOSFET. Data points are taken from [75].
The integrated-charge technique measures charge by integrating the current flowing through the gate-capacitor of the SiC device. A trapped electron is unable to participate in the current charging/discharging the gate capacitor for the duration it is trapped, resulting in a smaller measured capacitance (). It can be observed from Figure 13 that there is a drop in with faster response times (), which corresponds to a higher density of NITs with faster response times. Figure 14 compares the fraction of the total density of electrons trapped for longer than in planar and trench SiC MOSFETs. The extrapolation of the measured data indicates that the 80% and 60% electrons are trapped for the time response of 10 ns in the planar and trench MOSFETs, respectively. Hence, the trench MOSFET will have higher channel-carrier mobility and better performance compared to the planar MOSFET at operating . These results are also in accordance with the Hall measurements, which revealed that only 20% of electrons are free at the highest gate voltages [76].
Figure 14.
Comparison of the fraction of total density of electrons attracted to the SiC surface by = 18 V and trapped for longer than . Data obtained from [75].
For a given blocking voltage, there are many families of SiC MOSFETs fabricated by various manufacturers available on the market. Hence, it is very challenging for power engineers to select the family of MOSFETs that will deliver the best quality and reliability. The integrated-charge technique also provides a figure of merit for the selection of the family of SiC MOSFETs that ensures the best performance and reliability. This figure of merit is obtained by multiplying given in the datasheet of the device and measured value of gate capacitance at the manufacturer recommended operating gate voltage [77]. The integrated-charge method or standard AC measurements at low frequencies of up to 1kHz with any commercial instrument can be used to obtain the value of . The figure of merit is proportional to the density of NITs on the device. Hence, the designer can select the MOSFET family with the best figure of merit that will provide the highest quality due to the minimum density of NITs.
6. Summary
This article classifies the electrically active defects in SiC MOS capacitors and SiC MOSFETs into three categories: (1) interface traps, (2) near interface traps (NITs) with energy levels aligned to the energy gap, and (3) near-interface traps with energy levels aligned to the conduction band of SiC. The interface traps and NITs with energy levels aligned to the energy gap capture electrons that are attracted to the SiC surface by the gate voltage. Accordingly, their effect is observed as an increase in the effective threshold-voltage value. The origin of the near-interface traps, irrespective of their energy levels, is due to an SiCxOy transition layer between SiC and SiO2. Electron trapping at NITs located further from the SiC surface is slow, but these NITs can trap electrons during the MOSFET operation, resulting in a threshold-voltage drift that creates a reliability issue. At the operating gate voltage (), owing to the quantum confinement effect, the Fermi level is inside the conduction band at the SiC surface. Consequently, NITs with energy levels aligned to the Fermi level capture and release electrons from and to the MOSFET channel. This continuous capture and release of channel electrons reduces the density of mobile electrons at any instant of time, which is observed as a reduced average value of the channel-carrier mobility. Hence, the NITs with energy levels aligned to the conduction band are responsible for the degraded performance of the SiC power MOSFETs.
Author Contributions
Conceptualization, M.C. and S.D.; methodology, M.C. and S.D.; software, M.C.; validation, M.C., D.H. and S.D.; formal analysis, M.C., D.H., H.A.M. and S.D.; investigation, M.C. and S.D.; resources, M.C. and S.D.; data curation, M.C.; writing—original draft preparation, M.C. and S.D.; writing—review and editing, M.C., D.H., H.A.M. and S.D.; visualization, M.C. and S.D.; supervision, S.D.; project administration, S.D.; funding acquisition, S.D. All authors have read and agreed to the published version of the manuscript.
Funding
This research received no external funding.
Data Availability Statement
The data are contained within the article.
Acknowledgments
This work was performed at the Australia National Fabrication Facility (ANFF), Queensland node, QLD, Australia, a company established under the National Collaboration Research Infrastructure Strategy to provide nano- and microfabrication facilities to Australia’s researchers.
Conflicts of Interest
The authors declare no conflict of interest.
References
- Bhatnagar, M.; Baliga, B.J. Comparison of 6H-SiC, 3C-SiC, and Si for power devices. IEEE Trans. Electron Devices 1993, 40, 645–655. [Google Scholar] [CrossRef]
- Singh, R.; Roach, J.; Sheahan, J.; Keller, K.; Scofield, J.; Jordan, B.; Prestero, M.; Casey, L.; Davis, G. Predictive & prognostic controller for wide band gap (silicon carbide) power conversion. In Proceedings of the IEEE Aerospace Conference, Big Sky, MT, USA, 3–10 March 2007; pp. 1–17. [Google Scholar]
- Dimitrijev, S.; Han, J.; Moghadam, H.A.; Aminbeidokhti, A. Power-switching Applications beyond Silicon: Status and Future Prospects of SiC and GaN Devices. MRS Bull. 2015, 40, 399–405. [Google Scholar] [CrossRef]
- Baliga, B.J. Power MOSFETs. In Fundamentals of Power Semiconductor Devices, 2nd ed.; Springer: Raleigh, NC, USA, 2019; pp. 413–449. [Google Scholar]
- Kimoto, T. High-voltage SiC power devices for improved energy efficiency. Proc. Jpn. Acad. Ser. B 2022, 98, 161–189. [Google Scholar] [CrossRef] [PubMed]
- Codreanu, C.; Avram, M.; Carbunescu, E.; Iliescu, E. Comparison of 3C–SiC, 6H–SiC and 4H–SiC MESFETs performances. Mater. Sci. Semicon. Proc. 2000, 3, 137–142. [Google Scholar] [CrossRef]
- Hazra, S.; De, A.; Cheng, L.; Palmour, J.; Schupbach, M.; Hull, B.A.; Allen, S.; Bhattacharya, S. High Switching Performance of 1700-V, 50 A SiC Power MOSFET Over Si IGBT/BiMOSFET for Advanced Power Conversion Applications. IEEE Trans. Power Electron. 2016, 31, 4742–4754. [Google Scholar]
- Singh, R.; Pecht, M. Commercial impact of silicon carbide. IEEE Ind. Electron. Mag. 2008, 2, 19–31. [Google Scholar] [CrossRef]
- Li, S.; Lu, S.; Mi, C.C. Revolution of Electric Vehicle Charging Technologies Accelerated by Wide Bandgap Devices. Proc. IEEE 2021, 109, 985–1003. [Google Scholar] [CrossRef]
- Sampath, M.; Salemi, A.; Morisette, D.; Cooper, J.A. The IMOSFET: A deeply-scaled fully-self-aligned trench MOSFET. Mater. Sci. Forum 2020, 1004, 751–757. [Google Scholar] [CrossRef]
- Yano, H.; Katafuchi, F.; Kimoto, T.; Matsunami, H. Effects of wet oxidation/anneal on interface properties of thermally oxidized SiO2/SiC MOS system and MOSFET’s. IEEE Trans. Electron Devices 1999, 46, 504–510. [Google Scholar] [CrossRef]
- Chung, G.Y.; Tin, C.C.; Williams, J.R.; McDonald, K.; Di Ventra, M.; Pantelides, S.T.; Feldman, L.C.; Weller, R.A. Effect of nitric oxide annealing on the interface trap densities near the band edges in the 4H polytype of silicon carbide. Appl. Phys. Lett. 2000, 76, 1713–1715. [Google Scholar] [CrossRef]
- Lelis, A.; Habersat, D.; Green, R.; Mooro, E. Key reliability issues for SiC power MOSFETs. ECS Trans. 2013, 58, 87–189. [Google Scholar] [CrossRef]
- Moghadam, H.A.; Dimitrijev, S.; Han, J.; Haasmann, D. Active defects in MOS devices on 4H-SiC: A critical review. Microelectron. Reliab. 2016, 60, 1–9. [Google Scholar] [CrossRef]
- Pande, P.; Haasmann, D.; Han, J.; Moghadam, H.A.; Tanner, P.; Dimitrijev, S. Electrical characterization of SiC MOS capacitors: A critical review. Microelectron. Reliab. 2020, 112, 113790. [Google Scholar] [CrossRef]
- Shockley, W.T.R.W.; Read, W.T., Jr. Statistics of the recombinations of holes and electrons. Phys. Rev. 1952, 87, 835. [Google Scholar] [CrossRef]
- Hall, R.N. Electron-hole recombination in germanium. Phys. Rev. 1952, 87, 387. [Google Scholar] [CrossRef]
- Li, H.F.; Dimitrijev, S.; Sweatman, D.; Harrison, H.B.; Tanner, P.; Feil, B. Investigation of nitric oxide and Ar annealed SiO2/SiC interfaces by x-ray photoelectron spectroscopy. J. Appl. Phys. 1999, 86, 4316–4321. [Google Scholar] [CrossRef]
- Chang, K.C.; Porter, L.M.; Bentley, J.; Lu, C.Y.; Cooper, J., Jr. Electrical, structural, and chemical analysis of silicon carbide-based metal-oxide-semiconductor field-effect-transistors. J. Appl. Phys. 2004, 95, 8252–8257. [Google Scholar] [CrossRef]
- Pippel, E.; Woltersdorf, J.; Ólafsson, H.Ö.; Sveinbjörnsson, E.Ö. Interfaces between 4H-SiC and SiO2: Microstructure, nanochemistry, and near-interface traps. J. Appl. Phys. 2005, 97, 034302. [Google Scholar] [CrossRef]
- Kong, F.C.; Dimitrijev, S.; Han, J. Electrical characteristics of near-interface traps in 3C-SiC metal–oxide–semiconductor capacitors. IEEE Electron Device Lett. 2008, 29, 1021–1023. [Google Scholar] [CrossRef]
- Dimitrijev, S. MOSFET. In Principles of Semiconductor Devices, 2nd ed.; Oxford University Press: New York, NY, USA, 2012; pp. 470–472. [Google Scholar]
- Haasmann, D.; Dimitrijev, S. Energy position of the active near-interface traps in metal–oxide–semiconductor field-effect transistors on 4H–SiC. Appl. Phys. Lett. 2013, 103, 113506. [Google Scholar] [CrossRef]
- Roccaforte, F.; Fiorenza, P.; Greco, G.; Lo Nigro, R.; Giannazzo, F.; Patti, A.; Saggio, M. Challenges for energy efficient wide band gap semiconductor power devices. Phys. Status Solidi A 2014, 211, 2063–2071. [Google Scholar] [CrossRef]
- Cabello, M.; Soler, V.; Rius, G.; Montserrat, J.; Rebollo, J.; Godignon, P. Advanced processing for mobility improvement in 4H-SiC MOSFETs: A review. Mater. Sci. Semicon. Proc. 2018, 78, 22–31. [Google Scholar] [CrossRef]
- Fiorenza, P.; Giannazzo, F.; Roccaforte, F. Characterization of SiO2/4H-SiC Interfaces in 4H-SiC MOSFETs: A Review. Energies 2019, 12, 2310. [Google Scholar] [CrossRef]
- Kimoto, T.; Watanabe, H. Defect engineering in SiC technology for high-voltage power devices. Appl. Phys. Exp. 2020, 13, 120101. [Google Scholar] [CrossRef]
- Lelis, A.J.; Green, R.; Habersat, D.B.; El, M. Basic mechanisms of threshold-voltage instability and implications for reliability testing of SiC MOSFETs. IEEE Trans. Electron Devices 2014, 62, 316–323. [Google Scholar] [CrossRef]
- Lelis, A.J.; Green, R.; Habersat, D.B. SiC MOSFET Threshold-Stability Issues. Mater. Sci. Semicond. Process. 2018, 78, 32–37. [Google Scholar] [CrossRef]
- Jiang, H.; Zhong, X.; Qiu, G.; Tang, L.; Qi, X.; Ran, L. Dynamic Gate Stress Induced Threshold Voltage Drift of Silicon Carbide MOSFET. IEEE Electron Device Lett. 2020, 41, 1284–1287. [Google Scholar] [CrossRef]
- Lelis, A.J.; Habersat, D.B.; Green, R.; Goldsman, N. Two-way tunneling model of oxide trap charging and discharging in SiC MOSFETs. Mater. Sci. Forum 2012, 717, 465–468. [Google Scholar] [CrossRef]
- Kimoto, T.; Kanzaki, Y.; Noborio, M.; Kawano, H.; Matsunami, H. Interface properties of metal–oxide–semiconductor structures on 4H-SiC 0001 and (1120) formed by N2O oxidation. Jpn. J. Appl. Phys. 2005, 44, 1213. [Google Scholar] [CrossRef]
- Harada, S.; Kosugi, R.; Senzaki, J.; Cho, W.J.; Fukuda, K.; Arai, K.; Suzuki, S. Relationship between channel mobility and interface state density in SiC metal–oxide–semiconductor field-effect transistor. J. Appl. Phys. 2002, 91, 1568–1571. [Google Scholar] [CrossRef]
- Sato, S.; Kobayashi, K.; Mori, Y.; Hisamoto, D.; Shima, A. Investigation of interface state density near conduction band edge of 4H-SiC MOSFET based on inversion capacitance and drain-current characteristics. Jpn. J. Appl. Phys. 2020, 59, SGGD09. [Google Scholar] [CrossRef]
- Wan, C.; Xu, H.; Xia, J.; Ao, J.P. Ultrahigh-temperature oxidation of 4H-SiC (0 0 0 1) and gate oxide reliability dependence on oxidation temperature. J. Cryst. Growth 2020, 530, 125250. [Google Scholar] [CrossRef]
- Terman, L.M. An investigation of surface states at a silicon/silicon oxide interface employing metal-oxide-silicon diodes. Solid-State Electron. 1962, 5, 285–299. [Google Scholar] [CrossRef]
- Nicollian, E.H.; Goetzberger, A. MOS conductance technique for measuring surface state parameters. Appl. Phys. Lett. 1965, 7, 216–219. [Google Scholar] [CrossRef]
- Nicollian, E.H.; Goetzberger, A. The Si–SiO2, interface–electrical properties as determined by the metal-insulator-silicon conductance technique. Bell Syst. Tech. J. 1967, 46, 1033–1055. [Google Scholar] [CrossRef]
- Berglund, C.N. Surface states at steam-grown silicon-silicon dioxide interfaces. IEEE Trans. Electron Devices 1966, 10, 701–705. [Google Scholar] [CrossRef]
- Kuhn, M. A quasi-static technique for MOS CV and surface state measurements. Solid-State Electron. 1970, 13, 873–885. [Google Scholar] [CrossRef]
- Castagné, R.; Vapaille, A. Description of the SiO2—Si interface properties by means of very low frequency MOS capacitance measurements. Surf. Sci. 1971, 28, 157–193. [Google Scholar]
- Hill, W.A.; Coleman, C.C. A single-frequency approximation for interface-state density determination. Solid-State Electron. 1980, 23, 987–993. [Google Scholar] [CrossRef]
- Brews, J.R.; Nicollian, E.H. Improved MOS capacitor measurements using the Q–C method. Solid-State Electron. 1984, 27, 963–975. [Google Scholar] [CrossRef]
- Yoshioka, H.; Nakamura, T.; Kimoto, T. Accurate evaluation of interface state density in SiC metal-oxide-semiconductor structures using surface potential based on depletion capacitance. J. Appl. Phys. 2012, 111, 014502. [Google Scholar] [CrossRef]
- Nicollian, E.H.; Goetzberger, A.; Lopez, A.D. Expedient method of obtaining interface state properties from MIS conductance measurements. Solid-State Electron. 1969, 12, 937–944. [Google Scholar] [CrossRef]
- Triendl, F.; Fleckl, G.; Schneider, M.; Pfusterschmied, G.; Schmid, U. Evaluation of interface trap characterization methods in 4H-SiC metal oxide semiconductor structures over a wide temperature range. J. Vac. Sci. Technol. B 2019, 37, 032903. [Google Scholar] [CrossRef]
- Li, H.F.; Dimitrijev, S.; Harrison, H.B.; Sweatman, D. Interfacial characteristics of N2O and NO nitrided SiO2 grown on SiC by rapid thermal processing. Appl. Phys. Lett. 1997, 70, 2028–2030. [Google Scholar] [CrossRef]
- Wang, K.L. A determination of interface state energy during the capture of electrons and holes using DLTS. IEEE Trans. Electron Devices 1979, 26, 819–821. [Google Scholar] [CrossRef]
- Tredwell, T.J.; Viswanathan, C.R. Interface-state parameter determination by deep-level transient spectroscopy. Appl. Phys. Lett 1980, 36, 462–464. [Google Scholar] [CrossRef]
- Hofmann, K.; Schulz, M. Process-Induced Interface and Bulk States in MOS Structures. J. Electrochem. Soc. 1985, 132, 2201. [Google Scholar] [CrossRef]
- Chaturvedi, M.; Dimitrijev, S.; Haasmann, D.; Moghadam, H.A.; Pande, P.; Jadli, U. Quantified Density of Performance-Degrading Near-Interface Traps in SiC MOSFETs. Sci. Rep. 2022, 12, 4076. [Google Scholar] [CrossRef]
- Deng, Y.; Wang, W.; Fang, Q.; Koushik, M.B.; Chow, T.P. Extraction of SiO2/SiC interface trap profile in 4H-and 6H-SiC metal-oxide semiconductor field-effect transistors from subthreshold characteristics at 25 °C and 150 °C. J. Electron. Mater. 2006, 35, 618–624. [Google Scholar] [CrossRef]
- Brugler, J.S.; Jespers, P.G. Charge pumping in MOS devices. IEEE Trans. Electron Devices 1969, 16, 297–302. [Google Scholar] [CrossRef]
- Groeseneken, G.; Maes, H.E.; Beltrán, N.; De Keersmaecker, R.F. A reliable approach to charge-pumping measurements in MOS transistors. IEEE Trans. Electron Devices 1984, 31, 42–53. [Google Scholar] [CrossRef]
- Van der Bosch, G.; Groeseneken, G.; Heremans, P.; Maes, H.E. A new charge pumping procedure to measure interface trap energy distributions on MOSFETs. In Proceedings of the 20th European Solid-State Device Research Conference, Nottingham, UK, 10–13 September 1990; pp. 579–582. [Google Scholar]
- Van der Bosch, G.; Groeseneken, G.; Heremans, P.; Maes, H.E. Spectroscopic charge pumping: A new procedure for measuring interface trap distributions on MOS transistors. IEEE Trans. Electron Devices 1991, 38, 1820–1831. [Google Scholar] [CrossRef]
- Rumyantsev, S.L.; Shur, M.S.; Levinshtein, M.E.; Ivanov, P.A.; Palmour, J.W.; Das, M.K.; Hull, B.A. Low frequency noise in 4H-SiC metal oxide semiconductor field effect transistors. J. Appl. Phys. 2008, 104, 094505. [Google Scholar] [CrossRef]
- Cabello, M.; Soler, V.; Knoll, L.; Montserrat, J.; Rebollo, J.; Mihaila, A.; Godignon, P. Comparative study of boron doped gate oxide impact on 4H and 6H-SiC n-MOSFETs. Mater. Sci. Semicon. Process. 2019, 93, 357–359. [Google Scholar] [CrossRef]
- Habersat, D.B.; Lelis, A.J.; Lopez, G.; McGarrity, J.M.; McLean, F.B. On separating oxide charges and interface charges in 4H-SiC metal-oxide-semiconductor devices. Mater. Sci. Forum 2006, 527, 1007–1010. [Google Scholar] [CrossRef]
- Rescher, G.; Pobegen, G.; Aichinger, T.; Grasser, T. Improved interface trap density close to the conduction band edge of a-Face 4H-SiC MOSFETs revealed using the charge pumping technique. Mater. Sci. Forum 2017, 897, 143–146. [Google Scholar] [CrossRef]
- Yano, H.; Hirao, T.; Kimoto, T.; Matsunami, H.; Asano, K.; Sugawara, Y. High channel mobility in inversion layers of 4H-SiC MOSFETs by utilizing (1120) face. IEEE Electron Device Lett. 1999, 20, 611–613. [Google Scholar] [CrossRef]
- Peters, D.; Siemieniec, R.; Aichinger, T.; Basler, T.; Esteve, R.; Bergner, W.; Kueck, D. Performance and ruggedness of 1200V SiC-Trench-MOSFET. In Proceedings of the 2017 29th International Symposium on Power Semiconductor Devices and IC’s (ISPSD), Sapporo, Japan, 28 May–1 June 2017; pp. 239–242. [Google Scholar]
- Siemieniec, R.; Peters, D.; Esteve, R.; Bergner, W.; Basler, T.; Zippelius, B.; Kuck, D.; Aichinger, T. A SiC Trench MOSFET concept offering improved channel mobility and high reliability. In Proceedings of the 19th European Conference on Power Electronics and Applications (EPE’17 ECCE Europe), Warsaw, Poland, 11–14 September 2017; pp. P.1–P.13. [Google Scholar]
- Matsunami, H. Fundamental research on semiconductor SiC and its applications to power electronics. Proc. Jpn. Acad. Ser. B Phys. Biol. Sci. 2020, 96, 235–254. [Google Scholar] [CrossRef]
- Yoshioka, H.; Nakamura, T.; Kimoto, T. Characterization of very fast states in the vicinity of the conduction band edge at the SiO2/SiC interface by low temperature conductance measurements. J. Appl. Phys. 2014, 115, 014502. [Google Scholar] [CrossRef]
- Vidarsson, A.M.; Nicholls, J.R.; Haasmann, D.; Dimitrijev, S.; Sveinbjörnsson, E.Ö. Detection of near-interface traps in NO annealed 4H-SiC metal oxide semiconductor capacitors combining different electrical characterization methods. J. Appl. Phys. 2022, 131, 215702. [Google Scholar] [CrossRef]
- Nicholls, J.R.; Vidarsson, A.M.; Haasmann, D.; Sveinbjörnsson, E.Ö.; Dimitrijev, S. Near-interface trap model for the low temperature conductance signal in SiC MOS capacitors with nitrided gate oxides. IEEE Trans. Electron Devices 2020, 67, 3722–3728. [Google Scholar] [CrossRef]
- Hatakeyama, T.; Kiuchi, Y.; Sometani, M.; Harada, S.; Okamoto, D.; Yano, H.; Yonezawa, Y.; Okumura, H. Characterization of traps at nitrided SiO2/SiC interfaces near the conduction band edge by using Hall effect measurements. Appl. Phys. Exp. 2017, 10, 046601. [Google Scholar] [CrossRef]
- Pennington, G.; Goldsman, N. Self-consistent calculations for n-type hexagonal SiC inversion layers. J. Appl. Phys. 2004, 95, 4223–4234. [Google Scholar] [CrossRef]
- Chaturvedi, M.; Dimitrijev, S.; Moghadam, H.A.; Haasmann, D.; Pande, P.; Jadli, U. Fast near-interface traps in 4H-SiC MOS capacitors measured by an integrated-charge method. IEEE Access 2021, 9, 109745–109753. [Google Scholar] [CrossRef]
- Moghadam, H.A.; Dimitrijev, S.; Han, J.; Haasmann, D.; Aminbeidokhti, A. Transient-current method for measurement of active near-interface oxide traps in 4H-SiC MOS capacitors and MOSFETs. IEEE Trans. Electron Devices 2015, 62, 2670–2674. [Google Scholar] [CrossRef]
- Pande, P.; Dimitrijev, S.; Haasmann, D.; Moghadam, H.A.; Tanner, P.; Han, J. Direct measurement of active near-interface traps in the strong-accumulation region of 4H-SiC MOS capacitors. IEEE J. Electron Devices Soc. 2018, 6, 468–474. [Google Scholar] [CrossRef]
- Pande, P.; Dimitrijev, S.; Haasmann, D.; Moghadam, H.A.; Chaturvedi, M.; Jadli, U. Impact of nitridation on the active near-interface traps in gate oxides on 4H-SiC. Solid-State Electron. 2020, 171, 107874. [Google Scholar] [CrossRef]
- Potbhare, S.; Goldsman, N.; Lelis, A.; McGarrity, J.M.; McLean, F.B.; Habersat, D. A physical model of high temperature 4H-SiC MOSFETs. IEEE Trans. Electron Devices 2008, 55, 2029–2040. [Google Scholar] [CrossRef]
- Chaturvedi, M.; Dimitrijev, S.; Haasmann, D.; Moghadam, H.A.; Pande, P.; Jadli, U. Comparison of Commercial Planar and Trench SiC MOSFETs by Electrical Characterization of Performance-Degrading Near-Interface Traps. IEEE Trans. Electron Devices 2022, 69, 6225–6230. [Google Scholar] [CrossRef]
- Saks, N.S.; Agarwal, A. Hall mobility and free electron density at the SiC/SiO2 interface in 4H-SiC. Appl. Phys. Lett. 2000, 77, 3281–3283. [Google Scholar] [CrossRef]
- Chaturvedi, M.; Dimitrijev, S.; Haasmann, D.; Moghadam, H.A.; Pande, P.; Jadli, U. A Figure of Merit for Selection of the Best Family of SiC Power MOSFETs. Electronics 2022, 11, 1433. [Google Scholar] [CrossRef]
Disclaimer/Publisher’s Note: The statements, opinions and data contained in all publications are solely those of the individual author(s) and contributor(s) and not of MDPI and/or the editor(s). MDPI and/or the editor(s) disclaim responsibility for any injury to people or property resulting from any ideas, methods, instructions or products referred to in the content. |
© 2023 by the authors. Licensee MDPI, Basel, Switzerland. This article is an open access article distributed under the terms and conditions of the Creative Commons Attribution (CC BY) license (https://creativecommons.org/licenses/by/4.0/).













