Strength Damage and Acoustic Emission Characteristics of Water-Bearing Coal Pillar Dam Samples from Shangwan Mine, China
Abstract
:1. Introduction
2. Material and Methodology
2.1. Preparation of Materials
2.2. Methodology
3. Results
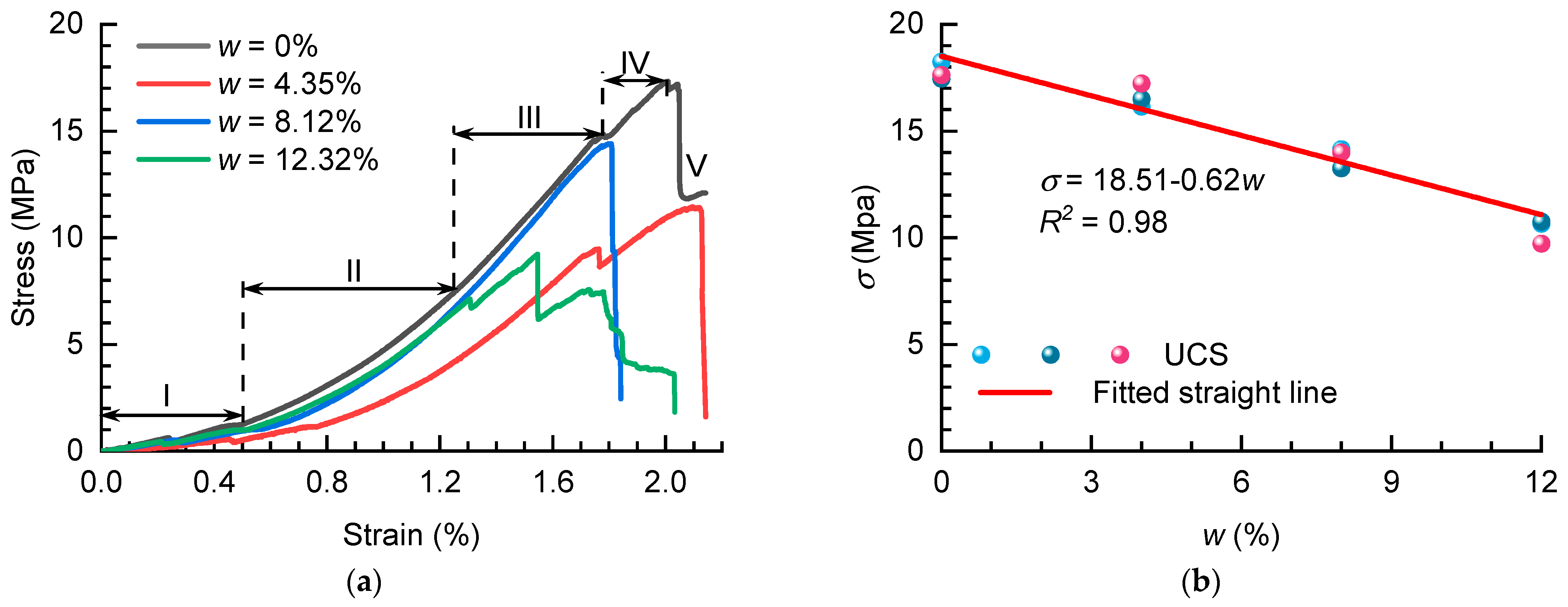
3.1. Strength Damage Law of Aquiferous Coal Sample
3.2. Failure Modes and Acoustic Emission Characteristics
3.2.1. Failure Modes
3.2.2. Acoustic Emission Characteristics
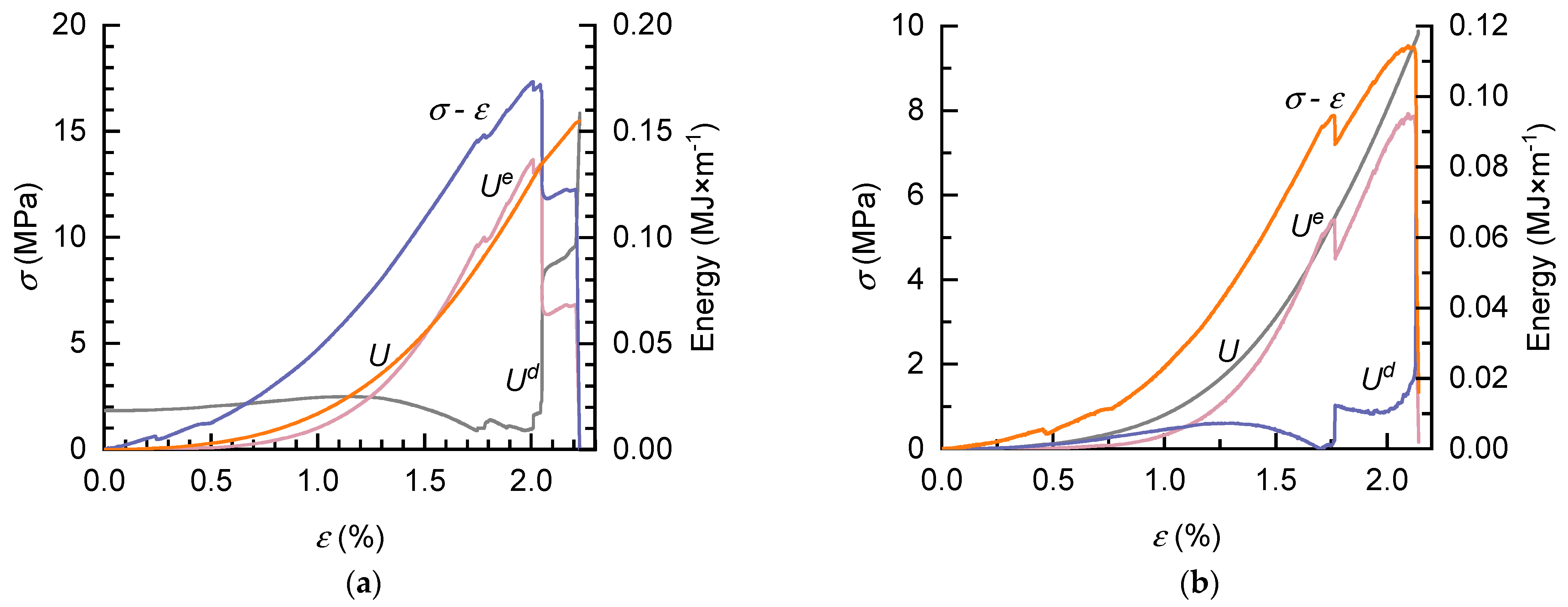
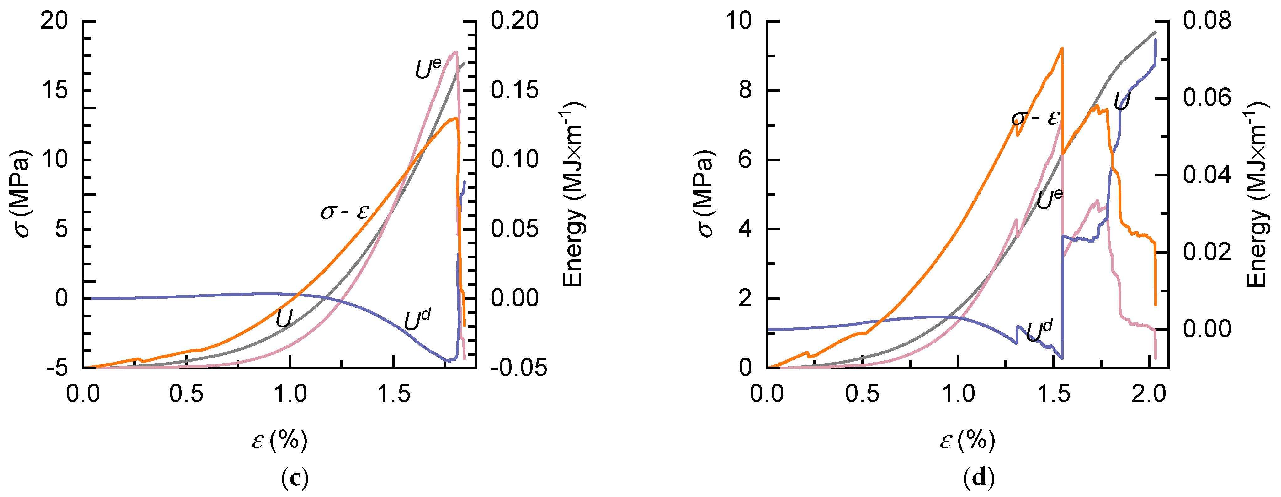
3.3. Energy Dissipation Properties of the Aqueous Coal Samples
4. Discussion
5. Conclusions
- (1)
- The water content of the coal sample satisfies a logarithmic function with the soaking time. The water absorption process was separated into four phases based on the characteristics of this curve: accelerated growth stage (0–2 h), uniform growth phase (2–4 h), accelerated growth stage (4–9 h), and water absorption saturation stage (9–51 h). This provided the basis to produce coal samples at various moisture contents required for subsequent experiments.
- (2)
- The mechanical performance of the coal samples consists of the moisture content and the frequency of dry–wet cycles. The summit pressure and strain and modulus of elasticity of the coal samples are negatively related with the water content. As the number of dry and wet circles increases, the summit stress and modulus of elasticity of the coal samples decay exponentially, the brittleness decreases and the plasticity increases, and the dry and wet cycle process influences the destruction of coal samples in time.
- (3)
- As the moisture content rises and the dry–wet cycle times increase, three features are shown: first, the breakage pattern of coal samples is dominated by stretching fracture; second, the number and absolute value of acoustic emission count peaks decrease; third, the RA-AF probability density plot is more consistent with macro-damage characteristics of coal samples.
- (4)
- The material–energy exchange during the destruction of the coal sample is indirectly reflected by energy development. The lower the moisture content of the coal sample, the more total energy is absorbed, the higher the moisture content, the earlier the instantaneous release point of dissipative energy, and the more the frequency of dry and wet circles, the flatter the dissipative energy curve is in the fracture compression and elastic stages, and the earlier the energy is released.
Author Contributions
Funding
Institutional Review Board Statement
Informed Consent Statement
Data Availability Statement
Acknowledgments
Conflicts of Interest
References
- Sahu, P.; Lopez, D.; Stoertz, M.W. Using Time Series Analysis of Coal Mine Hydrographs to Estimate Mine Storage, Retention Time, and Mine-pool Interconnection. Mine Water Environ. 2009, 28, 194–205. [Google Scholar] [CrossRef]
- Song, H.; Xu, J.; Fang, J.; Cao, Z.; Yang, L.; Li, T. Potential for mine water disposal in coal seam goaf: Investigation of storage coefficients in the Shendong mining area. J. Clean. Prod. 2020, 244, 118646. [Google Scholar] [CrossRef]
- Sun, W.; Wang, Y.; Zhang, L.; Liu, Y.; Wang, X. Establishing coal-water-wind (solar) energy comprehensive green energy mining system by using mine water. J. Water Clim. Chang. 2018, 9, 331–337. [Google Scholar] [CrossRef]
- Menéndez, J.; Loredo, J.; Galdo, M.; Fernández-Oro, J.M. Energy storage in underground coal mines in NW Spain: Assessment of an underground lower water reservoir and preliminary energy balance. Renew. Energy 2019, 134, 1381–1391. [Google Scholar] [CrossRef]
- Zhang, C.; Wang, F.; Bai, Q. Underground space utilization of coalmines in China: A review of underground water reservoir construction. Tunn. Undergr. Space Technol. 2021, 107, 103657. [Google Scholar] [CrossRef]
- Oelkers, E.H.; Benezeth, P.; Pokrovski, G.S. Thermodynamic Databases for Water-Rock Interaction. Rev. Miner. Geochem. 2009, 70, 1–46. [Google Scholar] [CrossRef]
- Hua, W.; Dong, S.; Li, Y.; Xu, J.; Wang, Q. The influence of cyclic wetting and drying on the fracture toughness of sandstone. Int. J. Rock Mech. Min. Sci. 2015, 78, 331–335. [Google Scholar] [CrossRef]
- Li, X.; Gong, F.; Tao, M.; Dong, L.; Du, K.; Ma, C.; Zhou, Z.; Yin, T. Failure mechanism and coupled static-dynamic loading theory in deep hard rock mining: A review. J. Rock Mech. Geotech. Eng. 2017, 9, 767–782. [Google Scholar] [CrossRef]
- Xie, H.; Yao, Q.; Yu, L.; Shan, C. Study on Damage Characteristics of Water-Bearing Coal Samples under Cyclic Loading–Unloading. Sustainability 2022, 14, 8457. [Google Scholar] [CrossRef]
- Liu, Y.; Yin, G.; Li, M.; Zhang, D.; Huang, G.; Liu, P.; Liu, C.; Zhao, H.; Yu, B. Mechanical Properties and Failure Behavior of Dry and Water-Saturated Anisotropic Coal Under True-Triaxial Loading Conditions. Rock Mech. Rock Eng. 2020, 53, 4799–4818. [Google Scholar] [CrossRef]
- Zhong, C.; Zhang, Z.; Ranjith, P.G.; Lu, Y.; Choi, X. The role of pore water plays in coal under uniaxial cyclic loading. Eng. Geol. 2019, 257, 105125. [Google Scholar] [CrossRef]
- Zhao, Y.; Sun, Y.; Liu, S.; Wang, K.; Jiang, Y. Pore structure characterization of coal by NMR cryoporometry. Fuel 2017, 190, 359–369. [Google Scholar] [CrossRef]
- Yao, Q.; Chen, T.; Ju, M.; Liang, S.; Liu, Y.; Li, X. Effects of Water Intrusion on Mechanical Properties of and Crack Propagation in Coal. Rock Mech. Rock Eng. 2016, 49, 4699–4709. [Google Scholar] [CrossRef]
- Hashiba, K.; Fukui, K. Effect of Water on the Deformation and Failure of Rock in Uniaxial Tension. Rock Mech. Rock Eng. 2015, 48, 1751–1761. [Google Scholar] [CrossRef]
- Zhou, K.Y.; Dou, L.M.; Gong, S.Y.; Chai, Y.; Li, J.; Ma, X.; Song, S. Mechanical behavior of sandstones under water-rock interactions. Geomech. Eng. 2022, 29, 627–643. [Google Scholar] [CrossRef]
- Yao, Q.; Li, X.; Zhou, J.; Ju, M.; Chong, Z.; Zhao, B. Experimental study of strength characteristics of coal specimens after water intrusion. Arab. J. Geosci. 2015, 8, 6779–6789. [Google Scholar] [CrossRef]
- Chen, T.; Yao, Q.-L.; Wei, F.; Chong, Z.-H.; Zhou, J.; Wang, C.-B.; Li, J. Effects of water intrusion and loading rate on mechanical properties of and crack propagation in coal–rock combinations. J. Central South Univ. 2017, 24, 423–431. [Google Scholar] [CrossRef]
- Xie, H.; Li, L.; Ju, Y.; Peng, R.; Yang, Y. Energy analysis for damage and catastrophic failure of rocks. Sci. China Technol. Sci. 2011, 54, 199–209. [Google Scholar] [CrossRef]
- Peng, R.; Ju, Y.; Wang, J.; Xie, H.; Gao, F.; Mao, L. Energy Dissipation and Release During Coal Failure Under Conventional Triaxial Compression. Rock Mech. Rock Eng. 2015, 48, 509–526. [Google Scholar] [CrossRef]
- Xie, H.; Li, X.; Shan, C.; Xia, Z.; Yu, L. Study on the Damage Mechanism and Energy Evolution Characteristics of Water-Bearing Coal Samples Under Cyclic Loading. Rock Mech. Rock Eng. 2022, 1–19. [Google Scholar] [CrossRef]
- Qin, X.; Zhou, Y.; He, M. Experimental Study on Mechanical Properties and Acoustic Emission Characteristics of Water Bearing Sandstone under Stable Cyclic Loading and Unloading. Shock. Vib. 2020, 2020, 1–15. [Google Scholar] [CrossRef]
- Ren, F.; Zhu, C.; He, M. Moment Tensor Analysis of Acoustic Emissions for Cracking Mechanisms During Schist Strain Burst. Rock Mech. Rock Eng. 2019, 53, 153–170. [Google Scholar] [CrossRef]
- Xia, Z.; Yao, Q.; Li, X.; Yu, L.; Shan, C.; Li, Y.; Hao, Y. Acoustic emission characteristics and energy mechanism of CFRP-jacketed coal specimens under uniaxial compression. Constr. Build. Mater. 2022, 342, 127936. [Google Scholar] [CrossRef]
- Sufian, A.; Russell, A.R. Microstructural pore changes and energy dissipation in Gosford sandstone during pre-failure loading using X-ray CT. Int. J. Rock Mech. Min. 2013, 57, 119–131. [Google Scholar] [CrossRef]
- Ning, J.; Wang, J.; Jiang, J.; Hu, S.; Jiang, L.; Liu, X. Estimation of Crack Initiation and Propagation Thresholds of Confined Brittle Coal Specimens Based on Energy Dissipation Theory. Rock Mech. Rock Eng. 2018, 51, 119–134. [Google Scholar] [CrossRef]
- He, Y.; Zhao, P.; Li, S.; Ho, C.-H.; Zhu, S.; Kong, X.; Barbieri, D.M. Mechanical Properties and Energy Dissipation Characteristics of coal–rock-like Composite Materials Subjected to Different Rock–Coal Strength Ratios. Nat. Resour. Res. 2021, 30, 2179–2193. [Google Scholar] [CrossRef]
- Duan, M.; Jiang, C.; Yin, W.; Yang, K.; Li, J.; Liu, Q. Experimental study on mechanical and damage characteristics of coal under true triaxial cyclic disturbance. Eng. Geol. 2021, 295, 106445. [Google Scholar] [CrossRef]
- Poulsen, B.; Shen, B.; Williams, D.; Huddlestone-Holmes, C.; Erarslan, N.; Qin, J. Strength reduction on saturation of coal and coal measures rocks with implications for coal pillar strength. Int. J. Rock Mech. Min. Sci. 2014, 71, 41–52. [Google Scholar] [CrossRef]
- Muralha, J.; Grasselli, G.; Tatone, B.; Blümel, M.; Chryssanthakis, P.; Yujing, J. ISRM Suggested Method for Laboratory Determination of the Shear Strength of Rock Joints: Revised Version. Rock Mech. Rock Eng. 2014, 47, 291–302. [Google Scholar] [CrossRef]
- Liu, X.; Ning, J.; Tan, Y.; Gu, Q. Damage constitutive model based on energy dissipation for intact rock subjected to cyclic loading. Int. J. Rock Mech. Min. Sci. 2016, 85, 27–32. [Google Scholar] [CrossRef]
- Yao, Q.; Tang, C.; Xia, Z.; Liu, X.; Zhu, L.; Chong, Z.; Hui, X. Mechanisms of failure in coal samples from underground water reservoir. Eng. Geol. 2020, 267, 105494. [Google Scholar] [CrossRef]
- Yu, L.; Yao, Q.; Li, X.; Wang, W.; Han, H.; Zhang, M. Experimental study of failure characteristics and fissure propagation in hydrous siltstone. Arab. J. Geosci. 2020, 13, 527. [Google Scholar] [CrossRef]
- Zhou, Z.-H.; Cao, P.; Ye, Z.-Y. Crack propagation mechanism of compression-shear rock under static-dynamic loading and seepage water pressure. J. Central South Univ. 2014, 21, 1565–1570. [Google Scholar] [CrossRef]
- Ai, T.; Wu, S.; Zhang, R.; Gao, M.; Zhou, J.; Xie, J.; Ren, L.; Zhang, Z. Changes in the structure and mechanical properties of a typical coal induced by water immersion. Int. J. Rock Mech. Min. Sci. 2021, 138, 104597. [Google Scholar] [CrossRef]
- Li, J.; Lian, S.; Huang, Y.; Wang, C. Study on Crack Classification Criterion and Failure Evaluation Index of Red Sandstone Based on Acoustic Emission Parameter Analysis. Sustainability 2022, 14, 5143. [Google Scholar] [CrossRef]
- Sun, H.; Ma, L.; Liu, W.; Spearing, A.; Han, J.; Fu, Y. The response mechanism of acoustic and thermal effect when stress causes rock damage. Appl. Acoust. 2021, 180, 108093. [Google Scholar] [CrossRef]
- Faradonbeh, R.S.; Taheri, A.; Karakus, M. Fatigue Failure Characteristics of Sandstone Under Different Confining Pressures. Rock Mech. Rock Eng. 2022, 55, 1227–1252. [Google Scholar] [CrossRef]
- Novikov, E.A.; Shkuratnik, V.L.; Zaitsev, M.G. Effect of Thermal Memory in Acoustic Emission in Fossil Coal after Pre-Disintegration by Cryogenic Treatment. J. Min. Sci. 2018, 54, 883–892. [Google Scholar] [CrossRef]
- Meng, Q.; Zhang, M.; Han, L.; Pu, H.; Nie, T. Effects of Acoustic Emission and Energy Evolution of Rock Specimens Under the Uniaxial Cyclic Loading and Unloading Compression. Rock Mech. Rock Eng. 2016, 49, 3873–3886. [Google Scholar] [CrossRef]
- Tsangouri, E.; Remy, O.; Boulpaep, F.; Verbruggen, S.; Livitsanos, G.; Aggelis, D. Structural health assessment of prefabricated concrete elements using Acoustic Emission: Towards an optimized damage sensing tool. Constr. Build. Mater. 2019, 206, 261–269. [Google Scholar] [CrossRef]
- Dexing, L.; Enyuan, W.; Xiangguo, K.; Haishan, J.; Dongming, W.; Muhammad, A. Damage precursor of construction rocks under uniaxial cyclic loading tests analyzed by acoustic emission. Constr. Build. Mater. 2019, 206, 169–178. [Google Scholar] [CrossRef]
- Andreev, K.; Shetty, N.; Verstrynge, E. Acoustic emission based damage limits and their correlation with fatigue resistance of refractory masonry. Constr. Build. Mater. 2018, 165, 639–646. [Google Scholar] [CrossRef]
- Ohno, K.; Ohtsu, M. Crack classification in concrete based on acoustic emission. Constr. Build. Mater. 2010, 24, 2339–2346. [Google Scholar] [CrossRef]
- Yue, J.; Kunnath, S.; Xiao, Y. Uniaxial concrete tension damage evolution using acoustic emission monitoring. Constr. Build. Mater. 2020, 232, 117281. [Google Scholar] [CrossRef]
- Dong, X.; Karrech, A.; Basarir, H.; Elchalakani, M.; Seibi, A. Energy Dissipation and Storage in Underground Mining Operations. Rock Mech. Rock Eng. 2019, 52, 229–245. [Google Scholar] [CrossRef]
- Ma, Q.; Tan, Y.L.; Liu, X.S.; Gu, Q.; Li, X. Effect of coal thicknesses on energy evolution characteristics of roof rock-coal-floor rock sandwich composite structure and its damage constitutive model. Compos. Part B-Eng. 2020, 198, 108086. [Google Scholar] [CrossRef]
- Wang, J.; Li, J.; Shi, Z.; Chen, J. Energy evolution and failure characteristics of red sandstone under discontinuous multilevel fatigue loading. Int. J. Fatigue 2022, 160, 106830. [Google Scholar] [CrossRef]
- Wang, F.; Liang, N.; Li, G. Damage and Failure Evolution Mechanism for Coal Pillar Dams Affected by Water Immersion in Underground Reservoirs. Geofluids 2019, 2019, 2985691. [Google Scholar] [CrossRef]
- Wang, Y.; Deng, H.; Deng, Y.; Chen, K.; He, J. Study on crack dynamic evolution and damage-fracture mechanism of rock with pre-existing cracks based on acoustic emission location. J. Pet. Sci. Eng. 2021, 201, 108420. [Google Scholar] [CrossRef]

















| Label | A-1 | A-2 | A-3 | A-4 |
| Water content | 0.00% | 4.35% | 8.12% | 12.32% |
| Label | A-1-1~A-1-3 | A-2-1~A-2-3 | A-3-1~A-3-3 | A-4-1~A-4-3 |
| Dry–wet cycles | 1 | 2 | 3 | |
| Label | B-1-1~B-1-3 | B-2-1~B-2-3 | B-3-1~B-3-3 |
| w = 0 | w = 4.35% | w = 8.12% | w = 12.32% | |
|---|---|---|---|---|
| Peak value of AE count (×103) | 32.73 | 31.46 | 28.78 | 11.94 |
| AE cumulative count (×105) | 51.39 | 20.43 | 11.62 | 8.40 |
| N = 1 | N = 2 | N = 3 | ||
| Peak value of AE count (×103) | 27.07 | 27.04 | 26.94 | |
| AE cumulative count (×105) | 24.56 | 22.83 | 11.37 |
Disclaimer/Publisher’s Note: The statements, opinions and data contained in all publications are solely those of the individual author(s) and contributor(s) and not of MDPI and/or the editor(s). MDPI and/or the editor(s) disclaim responsibility for any injury to people or property resulting from any ideas, methods, instructions or products referred to in the content. |
© 2023 by the authors. Licensee MDPI, Basel, Switzerland. This article is an open access article distributed under the terms and conditions of the Creative Commons Attribution (CC BY) license (https://creativecommons.org/licenses/by/4.0/).
Share and Cite
Wu, Y.; Yao, Q.; Wu, B.; Xie, H.; Yu, L.; Li, Y.; Wang, L. Strength Damage and Acoustic Emission Characteristics of Water-Bearing Coal Pillar Dam Samples from Shangwan Mine, China. Energies 2023, 16, 1692. https://doi.org/10.3390/en16041692
Wu Y, Yao Q, Wu B, Xie H, Yu L, Li Y, Wang L. Strength Damage and Acoustic Emission Characteristics of Water-Bearing Coal Pillar Dam Samples from Shangwan Mine, China. Energies. 2023; 16(4):1692. https://doi.org/10.3390/en16041692
Chicago/Turabian StyleWu, Yang, Qiangling Yao, Baoyang Wu, Hongxin Xie, Liqiang Yu, Yinghu Li, and Lujun Wang. 2023. "Strength Damage and Acoustic Emission Characteristics of Water-Bearing Coal Pillar Dam Samples from Shangwan Mine, China" Energies 16, no. 4: 1692. https://doi.org/10.3390/en16041692
APA StyleWu, Y., Yao, Q., Wu, B., Xie, H., Yu, L., Li, Y., & Wang, L. (2023). Strength Damage and Acoustic Emission Characteristics of Water-Bearing Coal Pillar Dam Samples from Shangwan Mine, China. Energies, 16(4), 1692. https://doi.org/10.3390/en16041692

