Dynamic Model of Medium Voltage Vacuum Circuit Breaker and Induction Motor for Switching Transients Simulation Using Clark Transformation
Abstract
1. Introduction
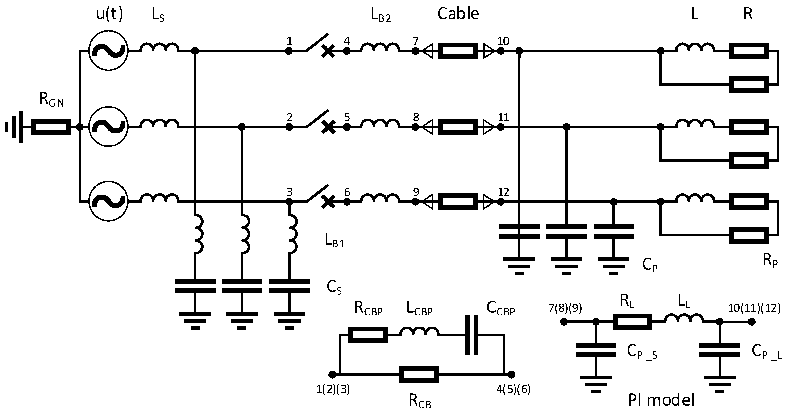
2. Derivation of a Dynamic Model for the Simulation of Switching Transients
2.1. Dynamic Model of Electrical Grid
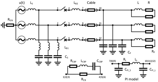
2.2. Dynamic Model of Medium Voltage Vacuum Circuit Breaker and Connection Line
2.3. Dynamic Model of Cable
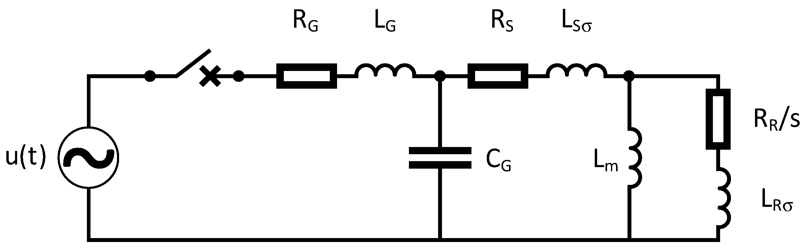
2.4. Dynamic Model of Induction Motor
3. Numerical Solution of a Dynamic Model of Medium Voltage Vacuum Circuit Breaker and Motor for a Simulation of Switching Transients Using Clark Transformation
4. Mathematical Model for the Simulation of Switching Transients according to IEC 62271-110 ed. 4. and Its Numerical Solution
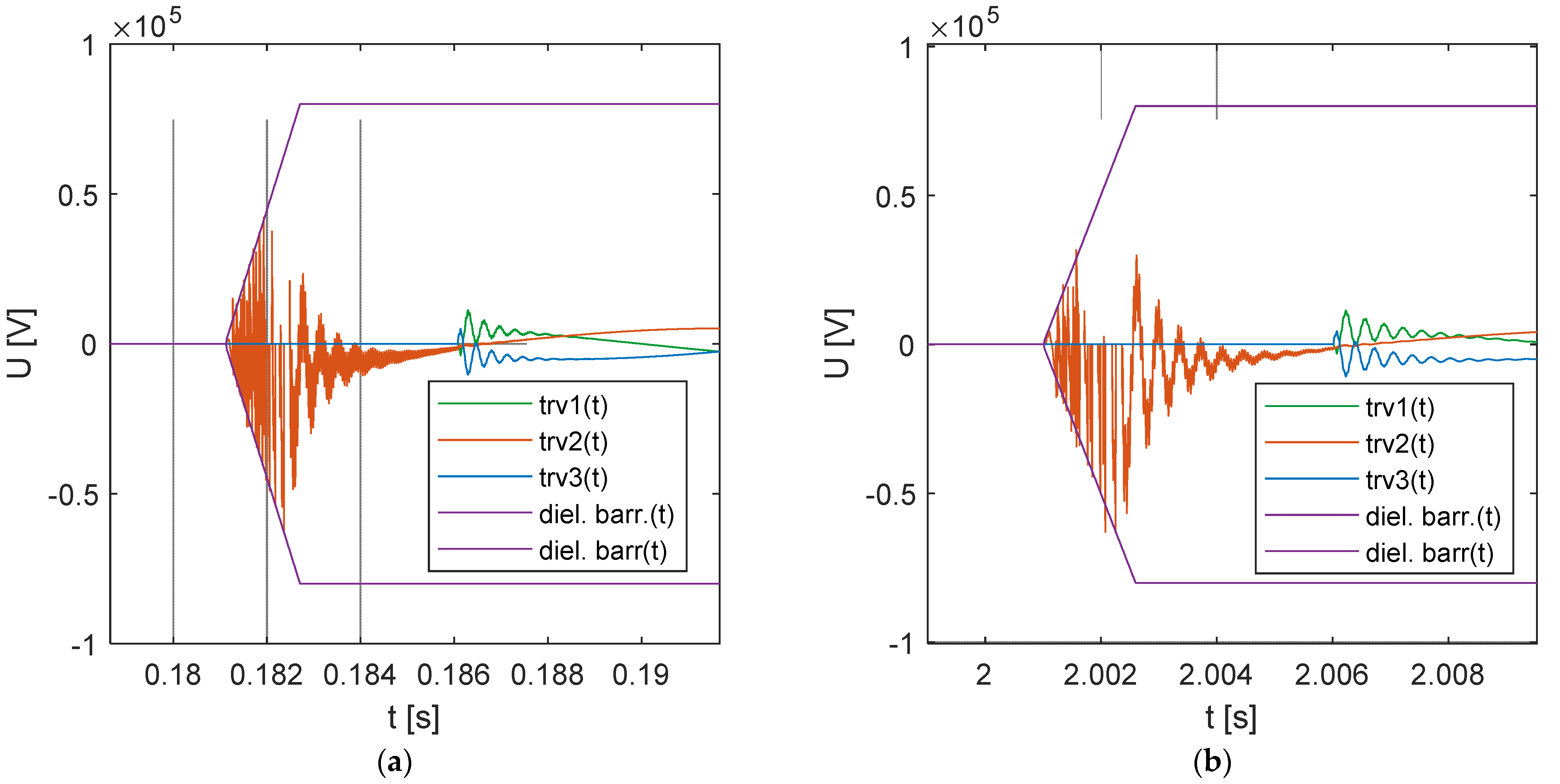
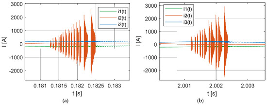
5. Case Study
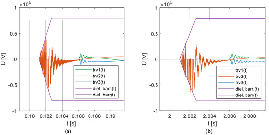
5.1. Switching Operation under Medium Load Condition (Current Chop)
5.2. Switching Operation under Starting Condition without Reignition
5.3. Switching Operation under Starting Condition with Multiple Reignition
6. Conclusions
Author Contributions
Funding
Data Availability Statement
Acknowledgments
Conflicts of Interest
References
- Novak, P.; Haim, M.; Beer, P.; Kaltenborn, U.; Melquiond, S. Switching of Small Inductive Currents Using Vacuum CircuitBreakers. In Proceedings of the 21st International Conference on Electricity Distribution, Frankfurt, Germany, 6–9 June 2011. [Google Scholar]
- Penkov, D.; Vollet, C.; De Metz-Noblat, B.; Nikodem, R. Overvoltage Protection Study on Vacuum Breaker Switched MV Motors. In Proceedings of the 5th Petroleum and Chemical Industry Conference Europe–Electrical and Instrumentation Applications (PCIC), Weimar, Germany, 10–12 June 2008. [Google Scholar] [CrossRef]
- Vollet, C.; De Metz-Noblat, B. Protecting High-Voltage Motors Against Switching Overvoltages. In Proceedings of the 4th Petroleum and Chemical Industry Conference Europe–Electrical and Instrumentation Applications (PCIC), Paris, France, 13–15 June 2007. [Google Scholar] [CrossRef]
- Popov, M.; Haoyan, X. Analysis of Switching Transient Overvoltages in the Power System of Floating Production Storage and Offloading Vessel. In Proceedings of the International Conference on Power Systems Transients (IPST2013), Vancouver, BC, Canada, 18–20 July 2013. [Google Scholar]
- Smeets, R.; van der Sluis, L.; Kapetanović, M.; Peelo, D.F.; Janssen, A. Switching in Electrical Transmission and Distribution Systems, 1st ed.; John Wiley & Sons Ltd.: Chichester, UK, 2015. [Google Scholar]
- Kosmac, J.; Zunko, P. A Statistical Vacuum Circuit Breaker Model for Simulation of Transient Overvoltages. IEEE Trans. Power Deliv. 1995, 10, 294–300. [Google Scholar] [CrossRef]
- Helmer, J.; Lindmayer, M. Mathematical Modeling of the High Frequency Behavior of Vacuum Interrupters and Comparision with Measured Transients in Power Systems. In Proceedings of the 17th International Symposium on Discharges and Electrical Insulation in Vacuum, Berkley, CA, USA, 21–26 July 1996. [Google Scholar] [CrossRef]
- Wong, S.M.; Snider, L.A.; Lo, E.W.C. Overvoltages and Reignition Behavior of Vacuum Circuit Breaker. In Proceedings of the 6th International Conference on Advances in Power System Control, Operation and Management ASDCOM, New Orleans, LA, USA, 11–14 November 2003. [Google Scholar] [CrossRef]
- IEC 62271-110; High-Voltage Switchgear and Controlgear–Part 110: Inductive Load Switching. IEC Standard: Geneva, Switzerland, 2017.
- Watson, N.; Arrillaga, J. Power Systems Electromagnetic Transients Simulation, 2nd ed.; The Institution of Engineering and Technology: London, UK, 2018. [Google Scholar]
- Martinez-Velasco, J.A. Transient Analysis of Power Systems, 1st ed.; John Wiley & Sons Ltd.: Chichester, UK, 2020. [Google Scholar]
- Boldea, I.; Nasar, S.A. The Induction Machines Design Handbook, 2nd ed.; CRC Press: Boca Raton, FL, USA, 2010. [Google Scholar]
- Aller, J.M.; Bueno, A.; Paga, T. Power System Analysis Using Space-Vector Transformation. IEEE Trans. Power Syst. 2002, 17, 957–965. [Google Scholar] [CrossRef]
- Engeln-Müllges, G.; Uhlig, F.; Schon, M. Numerical Algorithms with C, 1st ed.; Springer: Berlin, Germany, 1996. [Google Scholar]
- Bellan, D. Clarke Transformation Solution of Asymmetrical Transients in Three-Phase Circuits. Energies 2020, 13, 5231. [Google Scholar] [CrossRef]
- Smeets, R. Low-Current Behaviour and Current Chopping of Vacuum Arcs. Ph.D. Thesis, TU Eindhoven, Eindhoven, The Netherlands, 1987. [Google Scholar]
- O’Rourke, C.J.; Qasim, M.M.; Overlin, M.R.; Kirtley, J.L. A Geometric Interpretation of Reference Frames and Transformations: dq0, Clarke, and Park. IEEE Trans. Energy Convers. 2019, 34, 2070–2083. [Google Scholar] [CrossRef]
- Abdulahovic, T.; Thiringer, T.; Reza, M.; Breder, H. Vacuum Circuit Breaker Parameter Calculation and Modelling for Power System Transient Studies. IEEE Trans. Power Deliv. 2017, 32, 1165–1172. [Google Scholar] [CrossRef]
- Schoonenberg, G.; Smeets, R. Control of Inductive Load Switching Transients. In Proceedings of the 22nd International Conference on Electricity Distribution, Stockholm, Sweden, 10–13 June 2013. [Google Scholar] [CrossRef]
- IEC 60034-15; Rotating Electrical Machines–Part 15: Impulse Voltage Withstand Levels of Form-Wound Stator Coils for Rotating a.c. Machines. IEC Standard: Geneva, Switzerland, 2009.
- Slade, P.G. The Vacuum Interrupter: Theory, Design and Application, 2nd ed.; CRC Press: Boca Raton, FL, USA, 2021. [Google Scholar]





















| Parameter | Value | Description |
|---|---|---|
| Rated voltage | ||
| Rated power | ||
| Rated current | ||
| Locked rotor current | ||
| Ratio of the locked rotor current and the rated current | ||
| Rated power factor | ||
| Rated speed | ||
| Stator windings connection | Y | Star connected |
| Number of pole pairs | ||
| Rated torque | ||
| Stator resistance | ||
| 1 | Stator leakage inductance | |
| 1,2 | Rotor resistance | |
| 1,2 | Rotor leakage inductance | |
| 1 | Magnetizing inductance |
| Parameter | Value | Description |
|---|---|---|
| Dielectric barrier parameter | ||
| Dielectric barrier parameter | ||
| 1 | Maximum dielectric strength | |
| 1 | High frequency quenching capability parameter | |
| 1 | High frequency quenching capability parameter |
Disclaimer/Publisher’s Note: The statements, opinions and data contained in all publications are solely those of the individual author(s) and contributor(s) and not of MDPI and/or the editor(s). MDPI and/or the editor(s) disclaim responsibility for any injury to people or property resulting from any ideas, methods, instructions or products referred to in the content. |
© 2023 by the authors. Licensee MDPI, Basel, Switzerland. This article is an open access article distributed under the terms and conditions of the Creative Commons Attribution (CC BY) license (https://creativecommons.org/licenses/by/4.0/).
Share and Cite
Pígl, J.; Cipín, R. Dynamic Model of Medium Voltage Vacuum Circuit Breaker and Induction Motor for Switching Transients Simulation Using Clark Transformation. Energies 2023, 16, 1020. https://doi.org/10.3390/en16031020
Pígl J, Cipín R. Dynamic Model of Medium Voltage Vacuum Circuit Breaker and Induction Motor for Switching Transients Simulation Using Clark Transformation. Energies. 2023; 16(3):1020. https://doi.org/10.3390/en16031020
Chicago/Turabian StylePígl, Jan, and Radoslav Cipín. 2023. "Dynamic Model of Medium Voltage Vacuum Circuit Breaker and Induction Motor for Switching Transients Simulation Using Clark Transformation" Energies 16, no. 3: 1020. https://doi.org/10.3390/en16031020
APA StylePígl, J., & Cipín, R. (2023). Dynamic Model of Medium Voltage Vacuum Circuit Breaker and Induction Motor for Switching Transients Simulation Using Clark Transformation. Energies, 16(3), 1020. https://doi.org/10.3390/en16031020
