Enhancing Long-Term Wind Power Forecasting by Using an Intelligent Statistical Treatment for Wind Resource Data
Abstract
:1. Introduction
- a.
- Maintaining electricity supply and system stability, since the integration of wind generators with uncontrollable and variable output decreases the system inertia required to back up immediately the loss of power of failed generators, thus affecting the reliability and flexibility of the power system [9].
- b.
- Maintaining the cost-effective operation of the power system, since the compensation of wind power variations may require burning fuel oil or gas at conventional plants, importing electricity from other power systems at higher costs, integrating expensive energy storage means, etc. [10].
- c.
- Maintaining low CO2 emissions, since a lack or surplus of generation from wind facilities may require the flexible operation of fossil-fueled power generators emitting more greenhouse gases than necessary if the operation is not optimal [11].
State of the Art
- Physical prediction methods convert meteorological variables (temperature, pressure, humidity, etc.) and geomorphic conditions (land roughness, topography, obstacles, etc.) at the sites of interest into wind speed forecasts through the development of multivariate models based on mathematical equations of the physical processes [17]. Once wind speed is predicted, wind power is estimated using the speed–power curve of the wind turbines, either using the curves provided by the manufacturer for new projects or those derived from measurements, if already available. Finally, transfer functions from the physical variables to wind power are determined to use predicted meteorological conditions to forecast wind power.
- Statistical prediction methods are based on historical data models that relate wind speed or power to the values of meteorological variables [18]. Statistical prediction models follow two steps: (1) a wind speed prediction model is designed using curve fitting; (2) the model parameters are refined using the current predicted data and early previous data values [13]. Statistical models can be (a) time series (linear, non-linear), (b) structural (Kalman filter), or (c) black box models [19,20]. Time series models based on mathematical equations, linear or non-linear, are the most used. Time series models are composed of two parts: an autoregressive and a moving average part to consider the persistent behavior of the wind, and a transformation to include the bias effect caused by other meteorological variables forecasts. Popular statistical models include the Auto-Regressive Moving Average (ARMA), Auto-Regressive Integrated Moving Average (ARIMA), and Seasonal Auto-Regressive Integrated Moving Average (SARIMA). Other statistical methods use the Kalman filter to predict the wind speed or power. These methods modify the weights of recursive equations during the process to achieve high-precision predictions that overcome the poor forecasting precision of low-order time series models. However, difficulties arise in establishing the state and measurement equations of the Kalman filter. At present, statistical prediction methods consider the use of meteorological forecasts from different meteorological offices as input, as well as the optimal use of spatially distributed measurement data either for prediction error correction or for issuing warnings of a potentially large uncertainty. A comparative study between a physical method, using a downscaling approach of Numerical Weather Prediction (NWP) models, and a statistical method, using time series-based models, for wind speed and power short-term forecasting can be found in [21].
- Principally, Artificial Intelligence (AI) prediction methods are based on Machine Learning (ML), which is focused on solving practical problems, shifting from the symbolic approaches of traditional AI towards using approaches borrowed from statistics, fuzzy logic, and probability theory [21]. Currently, the major objectives of ML are to classify data using non-linear models, not written through the use of a simple mathematical relationship, and to make predictions using those models. ML includes techniques such as Artificial Neural Networks (ANNs), Neuro-Fuzzy Systems (NFSs), Support Vector Machines (SVMs), decision trees, Bayesian networks, belief functions, regression analysis, Wavelet Analysis, Gaussian processes, Genetic Algorithms (GAs), evolutionary optimization (EO) and Singular Spectrum Analysis (SSA) [22]. It is worth highlighting that these models usually need big data sets to be trained. It is common to find missing data in data sets; however, machine learning tools can be used to complete them [23].
- Hybrid methods use at least two different methods to improve the forecasting performance and reduce the prediction error. For instance, promising results for very short and short-term wind speed forecasting have been achieved in [18,24,25,26,27,28]. An interesting methodology based on probabilistic forecasting and machine learning techniques has been constructed for very short-term wind power forecasting with a high level of reliability and accuracy [29].
2. Materials and Methods
2.1. Statistical Nature of the Wind Resource
2.2. Seasonality
2.3. Clustering
2.4. Wind Resource Typical Year WRTY
- Global horizontal radiation, direct normal radiation, dry bulb temperature, dew point temperature, and wind speed.
- Maximum, minimum, and mean dry bulb and dew point temperatures; the maximum and mean wind velocity; and the total global horizontal solar radiation.
- Monthly mean and median and the persistence of weather patterns.
2.5. Estimating Wind Energy
2.6. Forecasting Error
- The accuracy of the forecasting can be determined by using different metrics; for instance, the forecast bias, the Mean Average Deviation (MAD), and the Mean Average Percentage Error (MAPE). The is one of the most popularly used and is given as [115]:where and are the actual and the forecasted values of the quantity to be forecasted. The forecasting performance depends on the context of the forecastability of the data. In many cases, the MAPE score indicates the following accuracy.
- The prediction horizon refers to how far ahead the model predicts the future. The longer the forecast horizon, the less accurate the prediction is. The intermittency of the wind resource and its intrinsic relation to the local conditions of the site of interest made the long-term forecasting of wind power a complex task.
- The next section considers a case study to apply the proposed methodology to estimate wind power production at different prediction horizons. The wind power produced by a wind farm in northern Mexico is analyzed and a detailed calculation of the previous methodology is described.
3. Results
3.1. Case Study
3.1.1. Cluster Analysis
3.1.2. Wind Resource Typical Year
3.1.3. Statistical Seasonality
3.1.4. Estimating the Electrical Energy
3.1.5. Forecasting Errors
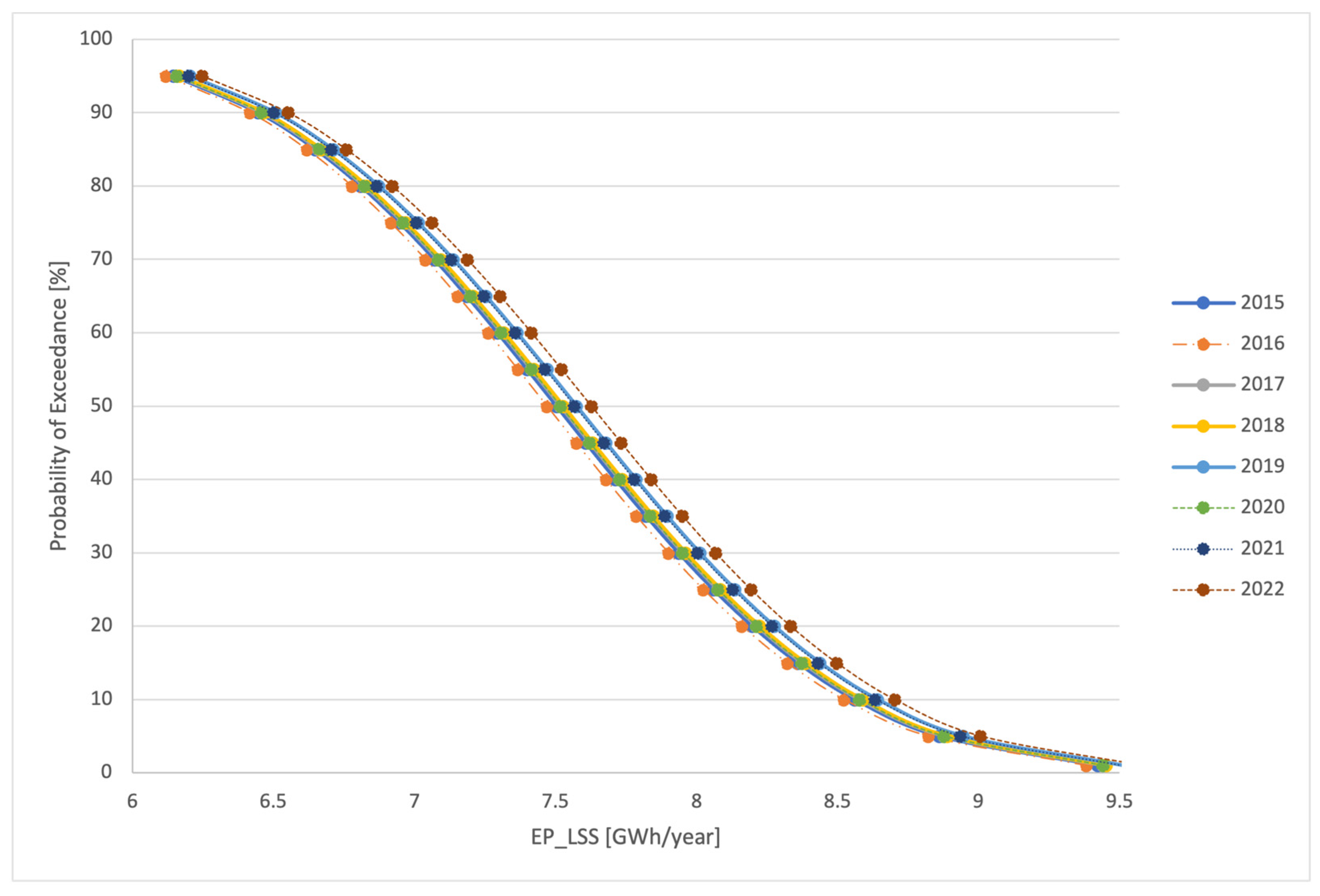
3.2. Comparing Results
4. Discussion
5. Conclusions
- This work presents a novel, intelligent, statistical methodology for long-term wind power forecasting.
- The forecast horizon can be in a seasonal or annual term.
- The concept of statistical seasonality is introduced and computed using a clustering analysis.
- By using the -year wind speed database, the methodology forecasts the wind power generation in the year.
- It can be applied to any region of the world since the data repository used contains data from any location, both onshore and offshore.
- It can be applied to any location under any operating conditions since it can be used with any wind speed probability distribution.
- It introduces the concept and the construction procedure of the Wind Resource Typical Year to characterize the wind resource at the location analogously to the Typical Meteorological Year that is used to characterize the meteorological conditions of a site.
- The results for the forecasted annual wind energy beat the ones obtained from the traditional and most used deterministic method using the average annual wind speed.
- This is a simple yet powerful method that, for this case study, provided forecasted annual wind energies with MAPE values, which can be as high as almost 7% and as low as less than 1%, which are excellent when compared with those obtained from the traditional method that range from 10% to 6%.
- This methodology also applies to small-scale wind turbines since the data repository also considers the wind speed data at 2 and 10 m above ground level.
- The cluster analysis is not 100% reproducible since the results depend on the initial conditions of the position of the centroids, even though the results from different simulations do not heavily differ.
- Even though this method extends to any PDF, it may be more complex when dealing with PDFs with more than two parameters.
- It has a low spatial resolution of around 0.5° in latitude and longitude due to the available data from the data repository, which corresponds approximately to a 50 km squared area.
- One could use another wind speed data repository, for instance the National Solar Radiation Database, but there is no information on the height of the wind speed data.
Supplementary Materials
Author Contributions
Funding
Data Availability Statement
Acknowledgments
Conflicts of Interest
References
- Intergovernmental Panel on Climate Change. Renewable Energy Sources and Climate Change Mitigation, Summary for Poli-cymakers and Technical Summary. Available online: https://www.ipcc.ch/site/assets/uploads/2018/03/SRREN_FD_SPM_final-1.pdf (accessed on 24 December 2019).
- International Renewable Energy Agency. Renewable Capacity Statistics 2019. Available online: https://www.irena.org/-/media/Files/IRENA/Agency/Publication/2019/Mar/IRENA_RE_Capacity_Statistics_2019.pdf (accessed on 24 December 2019).
- Global Wind Energy Council. Global Wind Report 2022. Available online: https://gwec.net/wp-content/uploads/2022/03/GWEC-GLOBAL-WIND-REPORT-2022.pdf (accessed on 11 September 2023).
- International Energy Agency. Renewable Energy Market Update Outlook for 2023 and 2024. Available online: https://build-up.ec.europa.eu/en/resources-and-tools/publications/iea-renewable-energy-market-update-outlook-2023-and-2024-published (accessed on 11 September 2023).
- Manwell, J.F.; McGowan, J.G.; Rogers, A.L. Wind Energy Explained, Theory, Design and Application, 2nd ed.; Wiley: Hoboken, NJ, USA, 2010. [Google Scholar]
- Wan, Y.H. Long-Term Wind Power Variability; Technical Report NREL/TP-5500-53637; National Renewable Energy Laboratory: Golden, CO, USA, 2012. [Google Scholar]
- Goater, A.; Intermittent Electricity Generation. Parliamentary Office of Science and Technology. Available online: https://researchbriefings.files.parliament.uk/documents/POST-PN-464/POST-PN-464.pdf (accessed on 11 September 2023).
- Jain, P.; Wijayatunga, P. Grid Integration of Wind Power: Best Practices for Emerging Wind Markets. Asian Development Bank: Mandaluyong. Philippines 2016, 43, 2–36. [Google Scholar]
- Denholm, P.; Mai, T.; Kenyon, R.W.; Kroposki, B.; O’Malley, M. Inertia and the Power Grid: A Guide without the Spin; Technical Report NREL/TP-6A20-73856; National Renewable Energy Laboratory: Golden, CO, USA, 2020. [Google Scholar]
- Gowrisankaran, G.; Reynolds, S.S.; Samano, M. Intermittency and the value of renewable energy. J. Politi-Econ. 2016, 124, 1187–1234. [Google Scholar] [CrossRef]
- Bandyopadhyay, R.; Ferrero, V.; Tan, X. Coordinated Operations of Flexible Coal and Renewable Energy Power Plants: Challenges and Opportunities; UNECE Energy Series 2017 No. 52; Economic Commission for Europe: Geneva, Switzerland, 2017. [Google Scholar]
- Ye, H.; Yang, B.; Han, Y.; Li, Q.; Deng, J.; Tian, S. Wind Speed and Power Prediction Approaches: Classifications, Methodologies, and Comments. Front. Energy Res. 2022, 10, 901767. [Google Scholar] [CrossRef]
- Soman, S.S.; Zareipour, H.; Malik, O.; Mandal, P. A review of wind power and wind speed forecasting methods with different timehorizons. In Proceedings of the North-American Power Symposium (NAPS) 2010, Arlington, TX, USA, 26–28 September 2010; pp. 1–8. [Google Scholar] [CrossRef]
- Wang, J.; Song, Y.; Liu, F.; Hou, R. Analysis and application of forecasting models in wind power integration: A review of multi-step-ahead wind speed forecasting models. Renew. Sustain. Energy Rev. 2016, 60, 960–981. [Google Scholar] [CrossRef]
- Lerner, J.; Grundmeyer, M.; Garvert, M. The importance of wind forecasting. Renew. Energy Focus 2009, 10, 64–66. [Google Scholar] [CrossRef]
- Zheng, Z.W.; Chen, Y.Y.; Huo, M.M.; Zhao, B. An Overview: The Development of Prediction Technology of Wind and Pho-tovoltaic Power Generation. Energy Procedia 2011, 12, 601–608. [Google Scholar] [CrossRef]
- Iseh, A.J.; Woma, T.Y. Weather forecasting models, methods and applications. Int. J. Eng. Res. Technol. 2013, 2, 1945–1957. [Google Scholar]
- Azad, H.B.; Mekhilef, S.; Ganapathy, V.G. Long-Term Wind Speed Forecasting and General Pattern Recognition Using Neural Networks. IEEE Trans. Sustain. Energy 2014, 5, 546–553. [Google Scholar] [CrossRef]
- Hamilton, J. Chapter 13, “The Kalman Filter”. In Time Series Analysis; Princeton University Press: Princeton, NJ, USA, 1994. [Google Scholar]
- Louka, P.; Galanis, G.; Siebert, N.; Kariniotakis, G.; Katsafados, P.; Pytharoulis, I.; Kallos, G. Improvements in wind speed forecasts for wind power prediction purposes using Kalman filtering. J. Wind. Eng. Ind. Aerodyn. 2008, 96, 2348–2362. [Google Scholar] [CrossRef]
- Langley, P. The Changing Science of Machine Learning. Mach. Learn. 2011, 82, 275–279. [Google Scholar] [CrossRef]
- Shouman, E.R. Wind Power Forecasting Models; IntechOpen eBooks: London, UK, 2022. [Google Scholar]
- Karaman, O.A. Prediction of wind power with machine learning models. Appl. Sci. 2023, 13, 11455. [Google Scholar] [CrossRef]
- Dupré, A.; Drobinski, P.; Alonzo, B.; Badosa, J.; Briard, C.; Plougonven, R. Sub-hourly forecasting of wind speed and wind energy. Renew. Energy 2020, 145, 2373–2379. [Google Scholar] [CrossRef]
- Du, P. Ensemble machine learning-based wind forecasting to combine NWP output with data from weather station. IEEE Trans. Sustain. Energy 2019, 10, 2133–2141. [Google Scholar] [CrossRef]
- Yang, Y.; Zhou, H.; Wu, J.; Ding, A.; Wang, Y.G. Robustified extreme learning machine regression with applications in outli-er-blended wind speed forecasting. Appl. Soft Comput. 2022, 122, 108814. [Google Scholar] [CrossRef]
- Yang, Y.; Zhou, H.; Gao, Y.; Wu, J.; Wang, Y.G.; Fu, L. Robust penalized extreme learning machine regression with applications in wind speed forecasting. Neural Comput. Applic. 2022, 34, 391–407. [Google Scholar] [CrossRef]
- Petković, D.; Shamshirband, S.; Anuar, N.B.; Saboohi, H.; Wahab, A.W.A.; Protić, M.; Zalnezhad, E.; Mirhashemi, S.M.A. An appraisal of wind speed distribution prediction by soft computing methodologies: A comparative study. Energy Convers. Manag. 2014, 84, 133–139. [Google Scholar] [CrossRef]
- Cui, M.; Zhang, J.; Wang, Q.; Krishnan, V.; Hodge, B.M. A data-driven methodology for probabilistic wind power ramp fore-casting. IEEE Trans. Smart Grid 2019, 10, 1326–1338. [Google Scholar] [CrossRef]
- Al-Yahyai, S.; Charabi, Y.; Gastil, A. Review of the use of Numerical Weather Prediction (NWP) Models for wind energy as-sessment. Renew. Sustain. Energy 2010, 14, 3192–3198. [Google Scholar] [CrossRef]
- Foley, A.M.; Leahy, P.; Mckeogh, E. Wind power forecasting & prediction methods. In Proceedings of the 2010 9th International Conference on Environment and Electrical Engineering, Prague, Czech Republic, 16–19 May 2010. [Google Scholar]
- Foley, A.M.; Leahy, P.G.; Marvuglia, A.; McKeogh, E.J. Current methods and advances in forecasting of wind power generation. Renew. Energy 2012, 37, 1–8. [Google Scholar] [CrossRef]
- Wang, X.; Guo, P.; Huang, X. A Review of wind power forecasting models. Energy Procedia 2011, 12, 770–778. [Google Scholar] [CrossRef]
- Chandra, D.R.; Kumari, M.S.; Sydulu, M. A detailed literature review on wind forecasting. In Proceedings of the International Conference on Power, Energy and Control (ICPEC), Dindigul, India, 6–8 February 2013; pp. 630–634. [Google Scholar]
- Aggarwal, S.K.; Gupta, M. Wind power forecasting: A review of statistical models. Int. J. Energy Sci. 2013, 3, 1. [Google Scholar]
- Chang, W.-Y. A Literature review of wind forecasting methods. J. Power Energy Eng. 2014, 2, 161–168. [Google Scholar] [CrossRef]
- Saroha, S.; Aggarwal, S.K. A review and evaluation of current wind power prediction technologies. WSEAS Trans. Power Syst. 2015, 10, 1–12. [Google Scholar]
- Ren, Y.; Suganthan, P.N.; Srikanth, N. Ensemble methods for wind and solar power forecasting—A state of the art review Renew. Sustain. Energy 2015, 50, 82–91. [Google Scholar] [CrossRef]
- Varanasi, J.; Tripathi, M.M. A comparative study of wind power forecasting techniques—A review article. In Proceedings of the 2016 3rd International Conference on Computing for Sustainable Global Development (INDIACom), New Delhi, India, 16–18 March 2016. [Google Scholar]
- Giebel, G.; Kariniotakis, G. Wind power forecasting—A review of the state of the art. In Woodhead Publishing Series in Energy, Renewable Energy Forecasting; Woodhead Publishing: Cambridge, UK, 2017; pp. 59–109. [Google Scholar]
- Liu, H.; Chen, C.; Lv, X.; Wu, X.; Liu, M. Deterministic wind energy forecasting: A review of intelligent predictors and auxiliary methods. Energy Convers. Manag. 2019, 195, 328–345. [Google Scholar] [CrossRef]
- Hanifi, S.; Liu, X.; Lin, Z.; Lotfian, S. A critical review of wind power forecasting methods—Past, present and future. Energies 2020, 13, 3764. [Google Scholar] [CrossRef]
- Dhiman, H.S.; Dipankar, D. A review of wind speed and wind power forecasting techniques. arXiv 2020, arXiv:20009.02279v1. [Google Scholar]
- Jorgensen, K.L.; Shaker, H.R. Wind power forecasting using machine learning: State of the art, trends and challenges. In Proceedings of the 2020 IEEE 8th International Conference on Smart Energy Grid Engineering (SEGE), Oshawa, ON, Canada, 12–14 August 2020; pp. 44–50. [Google Scholar]
- Wang, Y.; Zou, R.; Liu, F.; Zhang, L.; Liu, Q. A review of wind speed and wind power forecasting with deep neural networks. Appl. Energy 2021, 304, 117766. [Google Scholar] [CrossRef]
- Saroha, S.; Rana, P. Wind power forecasting. In Forecasting in Mathematics-Recent Advances, New Perspectives and Applications; IntechOpen: London, UK, 2021. [Google Scholar]
- Zhao, E.; Sun, S.; Wang, S. New developments in wind energy forecasting with artificial intelligence and big data: A scien-tometric insight. Data Sci. Manag. 2022, 5, 84–95. [Google Scholar] [CrossRef]
- Valdivia-Bautista, S.M.; Domínguez-Navarro, J.A.; Pérez-Cisneros, M.; Vega-Gómez, C.J.; Castillo-Téllez, B. Artificial Intelli-gence in Wind Speed Forecasting: A Review. Energies 2023, 16, 2457. [Google Scholar] [CrossRef]
- Liu, Y.; Wang, Y.; Wang, Q.; Zhang, K.; Qiang, W.; Wen, Q.H. Recent advances in data-driven prediction for wind power. Front. Energy Res. 2023, 11, 1204343. [Google Scholar] [CrossRef]
- Tsai, W.-C.; Hong, C.-M.; Tu, C.-S.; Lin, W.-M.; Chen, C.-H. A Review of modern wind power generation forecasting technologies. Sustainability 2023, 15, 10757. [Google Scholar] [CrossRef]
- Shobana Devi, A.; Maragatham, G.; Boopathi, K.; Lavanya, M.C.; Saranya, R. Long-Term Wind Speed Forecasting—A Review. In Artificial Intelligence Techniques for Advanced Computing Applications; Springer: Singapore, 2020; pp. 79–99. [Google Scholar]
- Wu, Y.-K.; Hong, J.-S. A literature review of wind forecasting technology in the world. In Proceedings of the 2007 IEEE Lausanne Power Tech, Lausanne, Switzerland, 1–5 July 2007; pp. 504–509. [Google Scholar] [CrossRef]
- Fan, S.; Liao, J.R.; Yokoyama, R.; Chen, L.; Lee, W.-J. Forecasting the Wind Generation Using a Two-Stage Network Based on Meteorological Information. IEEE Trans. Energy Convers. 2009, 24, 474–482. [Google Scholar] [CrossRef]
- Erdem, E.; Shi, J. ARMA based approaches for forecasting the tuple of wind speed and direction. Appl. Energy 2011, 88, 1405–1414. [Google Scholar] [CrossRef]
- Guo, Z.-H.; Wu, J.; Lu, H.-Y.; Wang, J.-Z. A Case Study on a Hybrid Wind Speed Forecasting Method Using BP Neural Network. Knowl. Based Syst. 2011, 24, 1048–1056. [Google Scholar] [CrossRef]
- Troccoli, A.; Muller, K.; Coppin, P.; Davy, R.; Russell, C.; Hirsch, A.L. Long-term wind speed trends over Australia. J. Clim. 2012, 25, 170–183. [Google Scholar] [CrossRef]
- Doblas-Reyes, F.J.; García-Serrano, J.; Lienert, F.; Biescas, A.P.; Rodrigues, L.R.L. Seasonal Climate Predictability and Fore-casting: Status and Prospects. Clim. Chang. 2013, 4, 245–268. [Google Scholar]
- Azimi, R.; Ghofrani, M.; Ghayekhloo, M. A hybrid wind power forecasting model based on data mining and wavelets analysis. Energy Convers. Manag. 2016, 127, 208–225. [Google Scholar] [CrossRef]
- Grigonyte, E.; Butkeviciute, E. Short-term wind speed forecasting using ARIMA model. Energetika 2016, 62, 45–55. [Google Scholar] [CrossRef]
- Yatiyana, E.; Rajakaruna, S.; Ghosh, A. Wind Speed and Direction Forecasting for Wind Power Generation Using ARIMA Model. In Proceedings of the Australasian Universities Power Engineering Conference (AUPEC), Melbourne, Australia, 19–22 November 2017; pp. 1–6. [Google Scholar]
- Lledó, L.; Bellprat, O.; Doblas-Reyes, F.J.; Soret, A. Investigating the Effects of Pacific Sea Surface Temperatures on the Wind Drought of 2015 Over the United States. J. Geophys. Res. Atmos. 2018, 123, 4837–4849. [Google Scholar] [CrossRef]
- Lledó, L.; Torralba, V.; Soret, A.; Ramon, J.; Doblas-Reyes, F. Seasonal Forecasts of Wind Power Generation. Renew. Energy 2019, 143, 91–100. [Google Scholar] [CrossRef]
- Molteni, F.; Stockdale, T.; Alonso-Balmaseda, M.; Balsamo, G.; Buizza, R.; Ferranti, L.; Magnusson, L.; Mogensen, K.; Palmer, T.; Vitart, F. The New ECMWF Seasonal Forecast System (System 4); Technical Report 656; ECMWF: Reading, UK, 2011. [Google Scholar]
- Mariotti, A.; Ruti, P.M.; Rixen, M. Progress in subseasonal to seasonal prediction through a joint weather and climate com-munity effort. NPJ Clim. Atmos. Sci. 2018, 1, 4. [Google Scholar] [CrossRef]
- Tyass, I.; Bellat, A.; Raihani, A.; Mansouri, K.; Khalili, T. Wind Speed Prediction Based on Seasonal ARIMA model. E3S Web Conf. 2022, 336, 00034. [Google Scholar] [CrossRef]
- Tawn, R.; Browell, J.; McMillan, D. Subseasonal-to-seasonal forecasting for wind turbine maintenance scheduling. Wind 2022, 2, 260–287. [Google Scholar] [CrossRef]
- Sulagna, M.; Harsh, P.; Shekher, V.; Rai, P. A statistical analysis model of wind power generation forecasting for the Western Region of India. TechRxiv 2023. [Google Scholar] [CrossRef]
- Mesa-Jiménez, J.; Tzianoumis, A.; Stokes, L.; Yang, Q.; Livina, V. Long-term wind and solar energy generation forecasts, and optimisation of Power Purchase Agreements. Energy Rep. 2023, 9, 292–302. [Google Scholar] [CrossRef]
- Magaña-González, R.; Rodríguez-Hernández, O.; Canul-Reyes, D. Analysis of seasonal variability and complementarity of wind and solar resources in Mexico. Sustain. Energy Technol. Assess. 2023, 60, 103456. [Google Scholar] [CrossRef]
- Dayton, G.H. Seasonality. Encyclopedia of Ecology; Academic Press: Cambridge, MA, USA, 2008; pp. 3168–3171. [Google Scholar]
- Khavrus, V.; Shelevytsky, I. Geometry and the physics of seasons. Phys. Educ. 2012, 47, 680–692. [Google Scholar] [CrossRef]
- Emmert-Streib, F.; Moutari, S.; Dehmer, M. Clustering. Elements of Data Science, Machine Learning, and Artificial Intelligence Using R; Springer: Berlin/Heidelberg, Germany, 2023. [Google Scholar]
- Bruhn, J.A.; Fry, W.E.; Fick, G.W. Simulation of daily weather data using theoretical probability distributions. J. Appl. Meteorol. 1980, 19, 1029–1036. [Google Scholar] [CrossRef]
- Dubrovský, M. Creating daily weather series with use of the weather generator. Environmetrics 1997, 8, 409–424. [Google Scholar] [CrossRef]
- Wilks, D.S.; Wilby, R.L. The weather generation game: A review of stochastic weather models. Prog. Phys. Geogr. Earth Environ. 1999, 23, 329–357. [Google Scholar] [CrossRef]
- Weibull, W. A statistical distribution function of wide applicability. J. Appl. Mech. 1951, 18, 293–297. [Google Scholar] [CrossRef]
- Carta, J.; Ramírez, P.; Velázquez, S. A review of wind speed probability distributions used in wind energy analysis: Case studies in the Canary Islands. Renew. Sustain. Energy Rev. 2009, 13, 933–955. [Google Scholar] [CrossRef]
- Shi, H.; Dong, A.; Xiao, N.; Huan, Q. Wind speed distributions used in wind energy assessment: A review. Front. Energy Res. 2021, 9, 769920. [Google Scholar] [CrossRef]
- Shokrzadeh, S.; Jozani, M.J.; Bibeau, E. Wind turbine power curve modeling using advanced parametric and nonparametric methods. IEEE Trans. Sustain. Energy 2014, 5, 1262–1269. [Google Scholar] [CrossRef]
- Qin, Z.; Li, W.; Xiong, X. Estimating wind speed probability distribution using kernel density method. Electr. Power Syst. Res. 2011, 81, 2139–2146. [Google Scholar] [CrossRef]
- Montoya, J.A.; Díaz-Francés, E.; Figueroa, G. Estimation of the reliability parameter for three-parameter Weibull models. Appl. Math. Model. 2018, 67, 621–633. [Google Scholar] [CrossRef]
- Saleh, H.; Abou El-Azm Aly, A.; Abdel-Hady, S. Assessment of different methods used to estimate Weibull distribution pa-rameters for wind speed in Zafarana wind farms, Suez Gulf, Egypt. Energy 2012, 44, 710–719. [Google Scholar] [CrossRef]
- Torrielli, A.; Repetto, M.P.; Solari, G. Extreme wind speeds from long-term synthetic records. J. Wind. Eng. Ind. Aerodyn. 2013, 115, 22–38. [Google Scholar] [CrossRef]
- Akgül, F.G.; Şenoğlu, B.; Arslan, T. An alternative distribution to Weibull for modeling the wind speed data: Inverse Weibull distribution. Energy Convers. Manag. 2016, 114, 234–240. [Google Scholar] [CrossRef]
- Sarkar, A.; Deep, S.; Datta, D.; Vijaywargiya, A.; Roy, R.; Phanikanth, V.S. Weibull and generalized extreme value distributions for wind speed data analysis of some locations in India. KSCE J. Civ. Eng. 2019, 23, 3476–3492. [Google Scholar] [CrossRef]
- Aries, N.; Boudia, S.M.; Ounis, H. Deep assessment of wind speed distribution models: A case study of four sites in Algeria. Energy Convers. Manag. 2018, 155, 78–90. [Google Scholar] [CrossRef]
- Guedes, K.S.; de Andrade, C.F.; Rocha, P.A.C.; Mangueria, R.D.S.; Moura, E.P. Performance analysis of metaheuristic opti-mization algorithms in estimating the parameters of several wind speed distributions. Appl. Energy 2020, 268, 114952. [Google Scholar] [CrossRef]
- Alavi, O.; Sedaghat, A.; Mostafaeipour, A. Sensitivity analysis of different wind speed distribution models with actual and truncated wind data: A case study for Kerman, Iran. Energy Convers. Manag. 2016, 120, 51–61. [Google Scholar] [CrossRef]
- Brano, V.L.; Orioli, A.; Ciulla, G.; Culotta, S. Quality of wind speed fitting distributions for the urban area of Palermo, Italy. Renew. Energy 2011, 36, 1026–1039. [Google Scholar] [CrossRef]
- Soukissian, T. Use of multi-parameter distributions for offshore wind speed modeling: The Johnson SB distribution. Appl. Energy 2013, 111, 982–1000. [Google Scholar] [CrossRef]
- Jung, C.; Schindler, D. Global comparison of the goodness-of-fit of wind speed distributions. Energy Convers. Manag. 2017, 133, 216–234. [Google Scholar] [CrossRef]
- Wais, P. A review of Weibull functions in wind sector. Renew. Sustain. Energy Rev. 2017, 70, 1099–1107. [Google Scholar] [CrossRef]
- Rinne, H. The Weibull Distribution, a Handbook; CRC Press: Boca Raton, FL, USA, 2009. [Google Scholar]
- Sumair, M.; Aized, T.; Gardezi, S.A.; Rehman, S.U.U.; Rehman, S.M.S. Wind potential estimation and proposed energy production in Southern Punjab using Weibull probability density function and surface measured data. Energy Explor. Exploit. 2021, 39, 2150–2168. [Google Scholar] [CrossRef]
- Unnikrishna, P.S.; Papoulis, A.P. Probability, Random Variables and Stochastic Processes; McGraw-Hill: Boston, MA, USA, 2002. [Google Scholar]
- Jaramillo, O.A.; Borja, M.A. Bimodal versus weibull wind speed distributions: An analysis of wind energy potential in La Venta, Mexico. Wind Eng. 2004, 28, 225–234. [Google Scholar] [CrossRef]
- Pelleg, D.; Moore, A. Accelerating exact k-means algorithms with geometric reasoning. In Proceedings of the Fifth ACM SIGKDD International Conference on Knowledge Discovery and Data Mining-KDD’99, California, CA, USA, 15–18 August 1999. [Google Scholar]
- Anil, K.J. Data clustering: 50 years beyond k-means. Pattern Recognit. Lett. 2010, 31, 651–666. [Google Scholar]
- Qiu, W.; Joe, H. Generation of random clusters with specified degree of separation. J. Classif. 2006, 23, 315–334. [Google Scholar] [CrossRef]
- Qiu, W.; Joe, H. clusterGeneration: Random Cluster Generation (with specified degree of separation). R Package 2009, 1, 75275-0122. [Google Scholar]
- Azhar, A.; Hashim, H. A review of wind clustering methods based on the wind speed and trend in Malaysia. Energies 2023, 16, 3388. [Google Scholar] [CrossRef]
- Rousseeuw, P.J. Silhouettes: A Graphical Aid to the Interpretation and Validation of Cluster Analysis. J. Comput. Appl. Math. 1987, 20, 53–65. [Google Scholar] [CrossRef]
- Vignola, F.E.; McMahan, A.C.; Grover, C.N. Chapter 5—Bankable Solar Radiation Datasets. In Solar Energy Forecasting and Re-source Assessment; Academic Press: Cambridge, MA, USA, 2013; pp. 97–131. [Google Scholar]
- Hall, I.; Prairie, R.; Anderson, H.; Boes, E. Generation of Typical Meteorological Years from 26 SOLMET Stations; Technical Report SAND78-1601; Sandia National Laboratories: Albuquerque, NM, USA, 1978. [Google Scholar]
- Marion, W.; Urban, K. Users Manual for TMY2s-Typical Meteorological Years Derived from the 1961–1990 National Solar Radiation Data Base; Technical Report NREL/TP-463-7668; National Renewable Energy Laboratory: Golden, CO, USA, 1995. [Google Scholar]
- Wilcox, W. Marion. User´s Manual for TMY3 Data Sets; Technical Report NREL/TP-581-43156; National Renewable Energy Laboratory: Golden, CO, USA, 2008. [Google Scholar]
- Available online: http://www.trnsys.com (accessed on 27 May 2023).
- Available online: https://www.pvsyst.com/ (accessed on 27 May 2023).
- Available online: https://energyplus.net (accessed on 27 May 2023).
- Available online: https://climate.onebuilding.org/ (accessed on 27 May 2023).
- Muñoz-Sabater, J.; Dutra, E.; Agustí-Panareda, A.; Albergel, C.; Arduini, G.; Balsamo, G.; Boussetta, S.; Choulga, M.; Harrigan, S.; Hersbach, H.; et al. ERA5-Land: A state-of-the-art global reanalysis dataset for land applications. Earth Syst. Sci. Data 2021, 13, 4349–4383. [Google Scholar] [CrossRef]
- Available online: https://www.nhsec.nh.gov/projects/2013-02/documents/131212appendix_15.pdf (accessed on 20 September 2023).
- Rau, V.G.; Jangamshetti, S.H. Normalized power curves as a tool for identification of optimum wind turbine generator pa-rameters. IEEE Trans. Energy Convers. 2001, 16, 283–288. [Google Scholar]
- El-Sharkawi, M.A. Wind Energy, an Introduction; CRC Press: Boca Raton, FL, USA, 2015. [Google Scholar]
- St-Aubin, P.; Agard, B. Precision and Reliability of Forecasts Performance Metrics. Forecasting 2022, 4, 882–903. [Google Scholar] [CrossRef]
- Available online: https://www.energiasj.com/ (accessed on 17 July 2023).
- National Aeronautics and Space Administration, NASA. Available online: https://power.larc.nasa.gov/data-access-viewer/ (accessed on 13 October 2023).
- Available online: https://gmao.gsfc.nasa.gov/reanalysis/MERRA-2/ (accessed on 13 October 2023).
- Klug, H. What Does Exceedance Probabilities P90, P75, P50 Mean? DEWI Magazin: Jakarta, Indonesia, 2006; p. 28. [Google Scholar]
- Borunda, M.; Rodriguez, K.; Garduno, R.; De la Cruz, J.; Antunez-Estrada, J.; Jaramillo, O.A. Long-term Estimation of Wind Power by Probabilistic Forecast Using Genetic Programming. Energies 2020, 13, 1885. [Google Scholar] [CrossRef]
- Klyuev, R.; Bosikov, I.; Gavrina, O. Use of wind power stations for energy supply to consumers in mountain territories. In Proceedings of the International Ural Conference on Electrical Power Engineering (UralCon), Chelyabinsk, Russia, 1–3 October 2019; pp. 116–121. [Google Scholar]
- Available online: https://sie.energia.gob.mx/ (accessed on 8 June 2023).














| Forecast | Forecast Horizon | Forecast Period | Application |
|---|---|---|---|
| Very short-term | 1 min to 1 h ahead | 30 s, 1 min, or 10 min | Wind turbine control, real-time grid operation, and electricity market compensation. |
| Short-term | 1 h to 1 day ahead | 10 min or 1 h | Load dispatch, load following, feedback voltage and power control, and protection to preserve physical integrity and operational security in the electricity market. |
| Medium-term | 1 day to 1 week ahead | 10 min or 1 h | Day-ahead electricity market, economic dispatch, unit commitment and maintenance. |
| Long-term | 1 week to years ahead | 1 h, 1 day, 1 month, or 1 year | Operation management, dispatch planning, optimal operation, resource assessment, site selection, cost and feasibility analysis, system expansion planning, bankable documentation, and financial investments [14,15]. |
| Reference | Year | Physical | Statistical | AI | Hybrid | Title |
|---|---|---|---|---|---|---|
| [30] | 2010 | X | Review of the use of numerical weather prediction (NWP) models for wind energy assessment | |||
| [13] | 2010 | X | X | Forecasting methods with different time horizons | ||
| [31] | 2010 | X | X | Wind power forecasting & prediction methods | ||
| [32] | 2011 | X | X | X | X | Current methods and advances in forecasting of wind power generation |
| [33] | 2011 | X | X | A review of wind power forecasting models. | ||
| [16] | 2011 | X | X | X | X | Review of evaluation criteria and main methods of wind power forecasting |
| [34] | 2013 | X | X | X | A detailed literature review on wind forecasting | |
| [35] | 2013 | X | Wind power forecasting: A review of statistical models | |||
| [36] | 2014 | X | X | X | X | A literature review of wind forecasting methods |
| [37] | 2015 | X | X | X | A review and evaluation of current wind power prediction technologies | |
| [38] | 2015 | X | X | X | X | Ensemble methods for wind and solar power forecasting—A state of the art review |
| [39] | 2016 | X | A comparative study of wind power forecasting techniques—A review | |||
| [40] | 2017 | X | X | X | X | Wind power forecasting—a review of the state of the art. |
| [41] | 2019 | X | X | Deterministic wind energy forecasting: a review of intelligent predictors and auxiliary methods | ||
| [42] | 2020 | X | X | X | X | A critical review of wind power forecasting methods-past, present and future |
| [43] | 2020 | X | X | X | A review of wind speed and wind power forecasting techniques | |
| [44] | 2020 | X | Wind power forecasting using machine learning: state of the art, trends and challenges | |||
| [45] | 2021 | X | A review of wind speed and wind power forecasting with deep neural networks | |||
| [46] | 2021 | X | X | Wind power forecasting | ||
| [47] | 2022 | X | New developments in wind energy forecasting with artificial intelligence and big data: a scientometric insight | |||
| [48] | 2023 | X | X | Artificial intelligence in wind speed forecasting: a review | ||
| [49] | 2023 | X | Recent advances in data-driven prediction for wind power | |||
| [50] | 2023 | X | X | X | X | A review of modern wind power generation forecasting technologies |
| Distribution | Reference | # Parameters | Applications |
|---|---|---|---|
| Weibull | [76] | 2 | Simple form, high flexibility, and feasible computing parameters. It is the most popular PDF for wind speed. However, it is less efficient for low wind speeds, especially for wind speed data with small wind probability. However, it is not good for extreme winds. |
| 3 parameter Weibull | [81] | 3 | Suitable for low wind speeds and small wind probability. |
| Rayleigh | [82] | 1 | It is easier to use since it has only one parameter. However, it assumes that the long-term mean wind vector is zero. Therefore, it is not used for sea winds. |
| Gumbel | [83] | 2 | It is an extreme value distribution. It is more accurate for extreme wind speeds. However, it is used to estimate the annual maximum wind speed distribution but not the monthly or daily extreme winds. |
| Inverse Weibull | [84] | 2 | An alternative to the Weibull distribution, but it provides flexibility for modeling the long-tailed right-skewed data. |
| Generalized extreme value | [85] | 3 | It is used for extreme wind speed data, but it is more difficult for computations due to the 3 parameters. |
| Gamma | [86] | 2 | It is used for fitting low wind speed data. It can be an alternative to the Weibull distribution for low ranges. However, the analytic expression is complicated. |
| Generalized Gamma | [87] | 4 | It is more flexible and good for high wind speed data. However, its analytical expression is complex due to its 4 parameters. It is suitable for European regions with different surfaces and weather conditions. |
| Lognormal | [88] | 2 | It is used for wind speed data, which change randomly. |
| Burr | [89] | 4 | It is more flexible and adaptable to wind data. It is more complex, and that makes computations more difficult. Wind speed data in Southern Italy is well-described by it. |
| Johnson | [90] | 4 | It is more flexible and adaptable to wind data. It is more complex, and that makes computations more difficult. Wind speed data measured in the Mediterranean Sea is well-modeled by it. |
| Kappa | [91] | 4 | It is more flexible and adaptable to wind data. It is more complex, and that makes computations more difficult. It is suitable for modeling onshore and offshore wind speed distribution models. |
| Wakeby | [91] | 5 | It is more flexible and adaptable to wind data. Its 5 parameters make it more complex for computing purposes. It is suitable for modeling onshore and offshore wind speed distribution models. |
| Month | Characteristic Year | WRTY | ||
|---|---|---|---|---|
| [m/s] | ||||
| January (2016) | 2.45 | 7.68 | 2.54 | 7.67 |
| February (2001) | 2.51 | 7.94 | 2.42 | 7.75 |
| March (2003) | 2.51 | 8.27 | 2.50 | 8.12 |
| April (2005) | 2.77 | 8.69 | 2.90 | 8.77 |
| May (2001) | 2.78 | 8.05 | 2.70 | 7.75 |
| June (2010) | 2.87 | 7.61 | 2.85 | 7.75 |
| July (2017) | 3.19 | 6.76 | 3.38 | 6.77 |
| August (2001) | 3.01 | 6.41 | 2.87 | 6.12 |
| September (2010) | 2.73 | 6.67 | 2.74 | 6.74 |
| October (2010) | 2.73 | 7.23 | 2.86 | 7.26 |
| November (2016) | 2.61 | 7.47 | 2.66 | 7.52 |
| December (2004) | 2.50 | 7.69 | 2.57 | 7.49 |
| Years | CY | Forecasted | WRTY | ||
|---|---|---|---|---|---|
| Interval | [m/s] | Year | [m/s] | ||
| 2001–2014 | 2.617 | 7.542 | 2015 | 2.636 | 7.555 |
| 2001–2015 | 2.618 | 7.537 | 2016 | 2.630 | 7.539 |
| 2001–2016 | 2.610 | 7.546 | 2017 | 2.612 | 7.541 |
| 2001–2017 | 2.601 | 7.541 | 2018 | 2.616 | 7.552 |
| 2001–2018 | 2.596 | 7.549 | 2019 | 2.603 | 7.560 |
| 2001–2019 | 2.605 | 7.554 | 2020 | 2.630 | 7.600 |
| 2001–2020 | 2.602 | 7.551 | 2021 | 2.627 | 7.566 |
| 2001–2021 | 2.600 | 7.553 | 2022 | 2.625 | 7.585 |
| Years | HSS | LSS | WRTY | |||
|---|---|---|---|---|---|---|
| Interval | [m/s] | [m/s] | [m/s] | |||
| 2001–2014 | 2.942 | 6.568 | 2.614 | 7.766 | 2.613 | 7.471 |
| 2001–2015 | 2.942 | 6.568 | 2.623 | 7.790 | 2.619 | 7.489 |
| 2001–2016 | 2.930 | 6.553 | 2.634 | 7.796 | 2.624 | 7.490 |
| 2001–2017 | 2.930 | 6.553 | 2.590 | 7.815 | 2.585 | 7.505 |
| 2001–2018 | 2.972 | 6.684 | 2.623 | 7.790 | 2.631 | 7.517 |
| 2001–2019 | 2.972 | 6.684 | 2.625 | 7.814 | 2.632 | 7.536 |
| 2001–2020 | 2.972 | 6.684 | 2.625 | 7.814 | 2.632 | 7.536 |
| 2001–2021 | 3.017 | 6.659 | 2.633 | 7.844 | 2.641 | 7.553 |
| Year Interval | Forecasted Year | EHSS [GWh] | ELSS [GWh] | EWRTY [GWh] |
|---|---|---|---|---|
| 2001–2014 | 2015 | 1.622 | 7.503 | 9.125 |
| 2001–2015 | 2016 | 1.622 | 7.469 | 9.091 |
| 2001–2016 | 2017 | 1.622 | 7.517 | 9.139 |
| 2001–2017 | 2018 | 1.612 | 7.527 | 9.139 |
| 2001–2018 | 2019 | 1.612 | 7.574 | 9.186 |
| 2001–2019 | 2020 | 1.699 | 7.517 | 9.216 |
| 2001–2020 | 2021 | 1.699 | 7.566 | 9.265 |
| 2001–2021 | 2022 | 1.676 | 7.627 | 9.303 |
| Case of Sensitivity | Financial Situation |
|---|---|
| P50 | Base case 1 |
| P75 | Base case 2 |
| P90 | Worst case 1 |
| P95 | Worst case 2 |
| Year | Eannual [GWh] |
|---|---|
| 2015 | 8.589 |
| 2016 | 9.053 |
| 2017 | 9.686 |
| 2018 | 9.134 |
| 2019 | 9.560 |
| 2020 | 9.700 |
| 2021 | 9.129 |
| 2022 | 9.601 |
| Year | ) |
|---|---|
| 2015 | 6.24 |
| 2016 | 0.42 |
| 2017 | 5.65 |
| 2018 | 0.05 |
| 2019 | 3.90 |
| 2020 | 5.00 |
| 2021 | 1.49 |
| 2022 | 3.10 |
| Year | EWeibull [GWh] | Vaver [m/s] | Ev_aver [GWh] |
|---|---|---|---|
| 2015 | 8.561 | 6.435 | 7.725 |
| 2016 | 9.114 | 6.637 | 8.300 |
| 2017 | 9.815 | 6.842 | 9.111 |
| 2018 | 9.172 | 6.618 | 8.430 |
| 2019 | 9.794 | 6.842 | 8.969 |
| 2020 | 9.617 | 6.826 | 8.923 |
| 2021 | 9.204 | 6.644 | 8.342 |
| 2022 | 9.563 | 6.764 | 8.838 |
| Year | MAPE [%] ) | MAPE [%] ) |
|---|---|---|
| 2015 | 0.33 | 10.06 |
| 2016 | 0.67 | 8.32 |
| 2017 | 1.33 | 5.93 |
| 2018 | 0.41 | 7.70 |
| 2019 | 2.45 | 6.18 |
| 2020 | 0.86 | 8.01 |
| 2021 | 0.81 | 8.62 |
| 2022 | 0.40 | 7.95 |
Disclaimer/Publisher’s Note: The statements, opinions and data contained in all publications are solely those of the individual author(s) and contributor(s) and not of MDPI and/or the editor(s). MDPI and/or the editor(s) disclaim responsibility for any injury to people or property resulting from any ideas, methods, instructions or products referred to in the content. |
© 2023 by the authors. Licensee MDPI, Basel, Switzerland. This article is an open access article distributed under the terms and conditions of the Creative Commons Attribution (CC BY) license (https://creativecommons.org/licenses/by/4.0/).
Share and Cite
Borunda, M.; Ramírez, A.; Garduno, R.; García-Beltrán, C.; Mijarez, R. Enhancing Long-Term Wind Power Forecasting by Using an Intelligent Statistical Treatment for Wind Resource Data. Energies 2023, 16, 7915. https://doi.org/10.3390/en16237915
Borunda M, Ramírez A, Garduno R, García-Beltrán C, Mijarez R. Enhancing Long-Term Wind Power Forecasting by Using an Intelligent Statistical Treatment for Wind Resource Data. Energies. 2023; 16(23):7915. https://doi.org/10.3390/en16237915
Chicago/Turabian StyleBorunda, Monica, Adrián Ramírez, Raul Garduno, Carlos García-Beltrán, and Rito Mijarez. 2023. "Enhancing Long-Term Wind Power Forecasting by Using an Intelligent Statistical Treatment for Wind Resource Data" Energies 16, no. 23: 7915. https://doi.org/10.3390/en16237915
APA StyleBorunda, M., Ramírez, A., Garduno, R., García-Beltrán, C., & Mijarez, R. (2023). Enhancing Long-Term Wind Power Forecasting by Using an Intelligent Statistical Treatment for Wind Resource Data. Energies, 16(23), 7915. https://doi.org/10.3390/en16237915

