Impact of Figures of Merit Selection on Hybrid–Electric Regional Aircraft Design and Performance Analysis
Abstract
:1. Introduction
1.1. Research Context
1.2. Aim of the Work
2. Materials and Methods
2.1. Design Methodology
2.2. FoMs Analysis
2.3. Reference Regional Aircraft
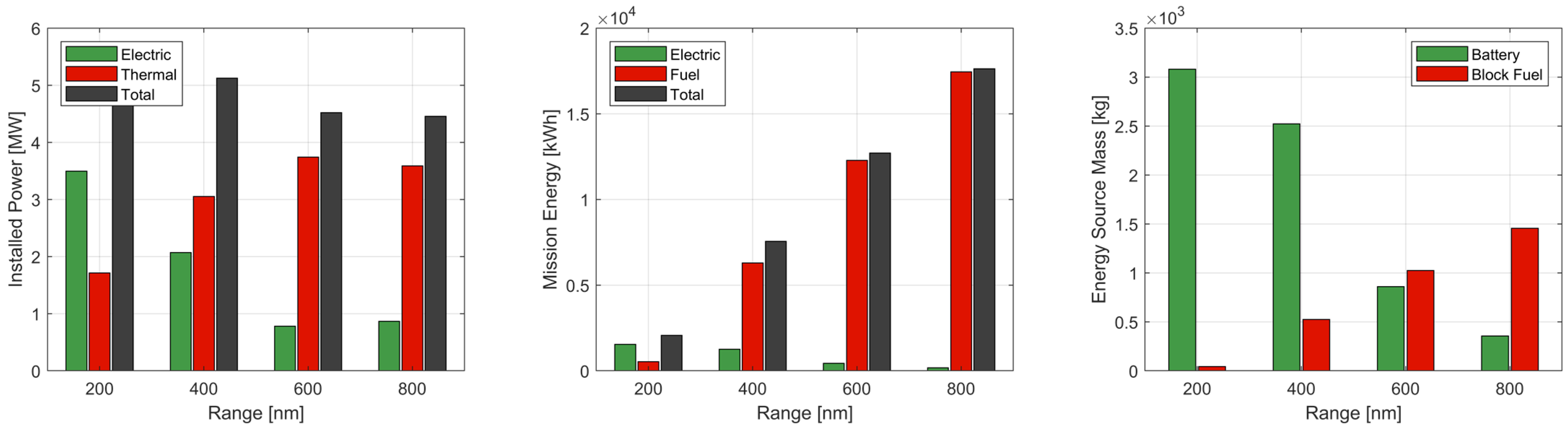
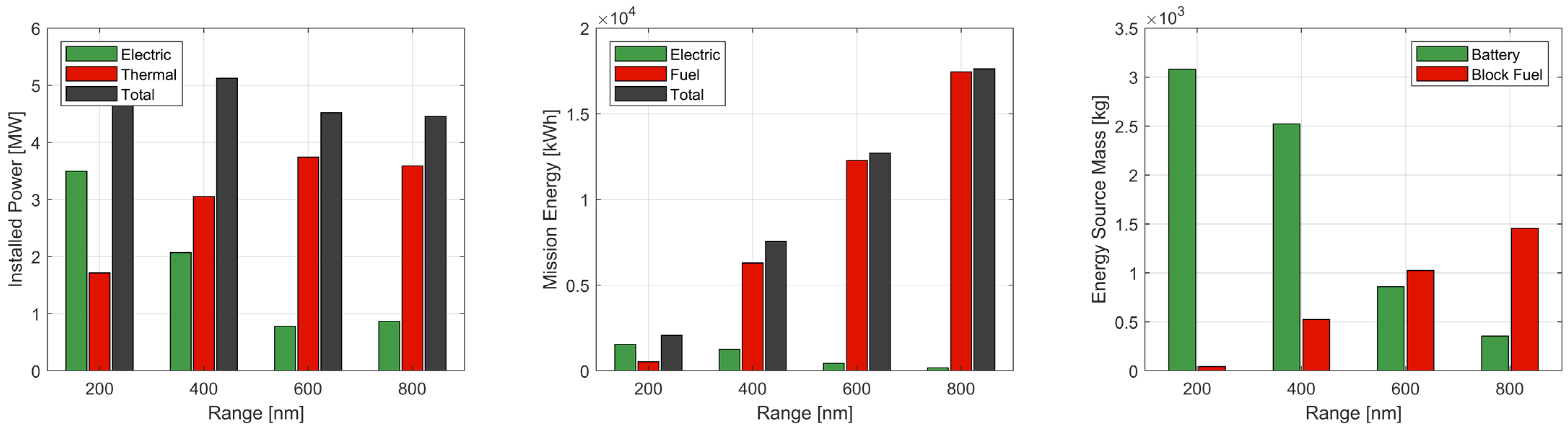
3. Numerical Results
3.1. Block Fuel
3.2. Maximum Take-Off Weight
3.3. Direct Operating Costs
3.4. CO2 Emissions
3.5. Value of PREE
3.6. Limitations of the Approach
4. Conclusions
Author Contributions
Funding
Data Availability Statement
Conflicts of Interest
References
- Petrescu, R.V.V.; Aversa, R.; Akash, B.; Bucinell, R.; Corchado, J.; Berto, F.; Mirsayar, M.; Apicella, A.; Petrescu, F.I.T. History of aviation—A short review. J. Aircr. Spacecr. Technol. 2017, 1, 30–49. [Google Scholar] [CrossRef]
- Grant, R.G. Flight: The Complete History of Aviation; Dorling Kindersley Ltd.: London, UK, 2017; ISBN 978-0241298039. [Google Scholar]
- Bruggeman, A.M.; La Rocca, G. From Requirements to Product: An MBSE Approach for the Digitalization of the Aircraft Design Process. INCOSE Int. Symp. 2023, 33, 1688–1706. [Google Scholar] [CrossRef]
- Reitenbach, S.; Vieweg, M.; Becker, R.; Hollmann, C.; Wolters, F.; Schmeink, J.; Otten, T.; Siggel, M.; Silberhorn, D.; Arzberger, M.J.; et al. Collaborative aircraft engine preliminary design using a virtual engine platform, Part A: Architecture and methodology. In Proceedings of the AIAA Scitech 2020 Forum, Orlando, FL, USA, 6–10 January 2020. [Google Scholar]
- Fioriti, M.; Boggero, L.; Prakasha, P.; Mirzoyan, A.; Aigner, B.; Anisimov, K. Multidisciplinary aircraft integration within a collaborative and distributed design framework using the AGILE paradigm. Prog. Aerosp. Sci. 2020, 119, 100648. [Google Scholar] [CrossRef]
- Aydemir, H.; Zengin, U.; Durak, U.; Glaessgen, E.; Stargel, D.; Brown, M.; Kearney, M.W.; Giaretta, D.; Garrett, J.; Hughes, S.; et al. The digital twin paradigm for aircraft review and outlook. In Proceedings of the AIAA Scitech 2020 Forum, Orlando, FL, USA, 6–10 January 2020. [Google Scholar]
- Leyman, C. Case Study by Aerospatiale and British Aerospace on the Concorde; American Institute of Aeronautics and Astronautics (AIAA): Reston, VA, USA, 1980; ISBN 9781563473081. [Google Scholar]
- Aprovitola, A.; Dyblenko, O.; Pezzella, G.; Viviani, A. Aerodynamic Analysis of a Supersonic Transport Aircraft at Low and High Speed Flow Conditions. Aerospace 2022, 9, 411. [Google Scholar] [CrossRef]
- Marsh, G. Airbus A350 XWB update. Reinf. Plast. 2010, 54, 20–24. [Google Scholar] [CrossRef]
- Lu, B.; Wang, N. The Boeing 787 Dreamliner, designing an aircraft for the future. J. Young Investig. 2010, 34, 4026. Available online: https://www.jyi.org/2010-august/2010/8/6/the-boeing-787-dreamliner-designing-an-aircraft-for-the-future (accessed on 14 October 2023).
- Norris, G.; Wagner, M. Airbus A380: Superjumbo of the 21st Century; Zenith Imprint: Le Locle, Switzerland, 2005; ISBN 978-0760322185. [Google Scholar]
- Guida, M.; Marulo, F.; Abrate, S. Advances in crash dynamics for aircraft safety. Prog. Aerosp. Sci. 2018, 98, 106–123. [Google Scholar] [CrossRef]
- Lee, H.; Li, G.; Rai, A.; Chattopadhyay, A. Real-time anomaly detection framework using a support vector regression for the safety monitoring of commercial aircraft. Adv. Eng. Inform. 2020, 44, 101071. [Google Scholar] [CrossRef]
- Simpson, T.W.; Allen, J.K.; Mistree, F.; Chen, W. Designing Ranged Sets of Top-Level Design Specifications for a Family of Aircraft: An Application of Design Capability Indices. In Proceedings of the SAE World Aviation Congress and Exhibition, Anaheim, CA, USA, 13–16 October 1997; p. 975513. [Google Scholar] [CrossRef]
- Anton, E.; Lammering, T.; Henke, R. Fast estimation of top-level aircraft requirement impact on conceptual aircraft designs. In Proceedings of the 10th AIAA Aviation Technology, Integration, and Operations Conference, Fort Worth, TX, USA, 13–15 September 2010. [Google Scholar] [CrossRef]
- Karpov, A.; Nesterenko, B.; Ovdienko, M.; Varyukhin, A.; Vlasov, A. Development of top-level requirements for regional aircraft based on the needs of the Russian market. In IOP Conference Series: Materials Science and Engineering; IOP Publishing: Bristol, UK, 2021; Volume 1024, p. 012070. [Google Scholar] [CrossRef]
- Karagoz, E.; Reilley, K.A.; Mavris, D.N. Model-based approach to the requirements analysis for a conceptual aircraft sizing and synthesis problem. In Proceedings of the AIAA Scitech 2019 Forum, San Diego, CA, USA, 7–11 January 2019. [Google Scholar] [CrossRef]
- Peteilh, N.; Klein, T.; Druot, T.Y.; Bartoli, N.; Liem, R.P. Challenging top level aircraft requirements based on operations analysis and data-driven models, application to takeoff performance design requirements. In Proceedings of the AIAA Aviation Forum, Virtual Event, 15–19 June 2020. [Google Scholar] [CrossRef]
- Jensen, S.C.; Rettie, I.H.; Barber, E.A. Role of figures of merit in design optimization and technology assessment. J. Aircr. 1981, 18, 76–81. [Google Scholar] [CrossRef]
- Malone, B.; Mason, W.H. Aircraft concept optimization using parametric multiobjective figures of merit. J. Aircr. 1996, 33, 444–445. [Google Scholar] [CrossRef]
- Moebs, N.; Eisenhut, D.; Bergmann, D.; Strohmayer, A. Selecting figures of merit for a hybrid-electric 50-seat regional aircraft. In IOP Conference Series: Materials Science and Engineering; IOP Publishing: Bristol, UK, 2021; Volume 1024. [Google Scholar] [CrossRef]
- Pornet, C.; Kaiser, S.; Gologan, C. Cost-based flight technique optimization for hybrid energy aircraft. Aircr. Eng. Aerosp. Technol. 2014, 86, 591–598. [Google Scholar] [CrossRef]
- Megill, L.; Deck, K.; Grewe, V. A systematic approach to select a suitable climate metric for aviation policy and aircraft design. Res. Sq. 2023. in preprint. [Google Scholar] [CrossRef]
- Wang, Y.; Yin, H.; Zhang, S.; Yu, X. Multi-objective optimization of aircraft design for emission and cost reductions. Chin. J. Aeronaut. 2014, 27, 52–58. [Google Scholar] [CrossRef]
- Ilario da Silva, C.R.; Orra, T.H.; Alonso, J.J. Multi-objective aircraft design optimization for low external noise and fuel burn. In Proceedings of the 58th AIAA/ASCE/AHS/ASC Structures, Structural Dynamics, and Materials Conference, Grapevine, TX, USA, 9–13 January 2017. [Google Scholar] [CrossRef]
- Cai, Y.; Rajaram, D.; Mavris, D.N. Simultaneous aircraft sizing and multi-objective optimization considering off-design mission performance during early design. Aerosp. Sci. Technol. 2022, 126, 107662. [Google Scholar] [CrossRef]
- Thauvin, J. Exploring the Design Space for a Hybrid-Electric Regional Aircraft with Multidisciplinary Design Optimisation Methods. Ph.D. Thesis, Institut National Polytechnique de Toulouse, Toulouse, France, 2018. Available online: https://oatao.univ-toulouse.fr/23607/ (accessed on 14 October 2023).
- Abu Salem, K.; Palaia, G.; Quarta, A.A. Review of hybrid-electric aircraft technologies and designs: Critical analysis and novel solutions. Prog. Aerosp. Sci. 2023, 141, 100924. [Google Scholar] [CrossRef]
- Sahoo, S.; Zhao, X.; Kyprianidis, K. A Review of Concepts, Benefits, and Challenges for Future Electrical Propulsion-Based Aircraft. Aerospace 2020, 7, 44. [Google Scholar] [CrossRef]
- Brelje, B.J.; Martins, J.R. Electric, hybrid, and turboelectric fixed-wing aircraft: A review of concepts, models, and design approaches. Prog. Aerosp. Sci. 2018, 104, 1–19. [Google Scholar] [CrossRef]
- Marciello, V.; Di Stasio, M.; Ruocco, M.; Trifari, V.; Nicolosi, F.; Meindl, M.; Lemoine, B.; Caliandro, P. Design Exploration for Sustainable Regional Hybrid-Electric Aircraft: A Study Based on Technology Forecasts. Aerospace 2023, 10, 165. [Google Scholar] [CrossRef]
- Pornet, C.; Isikveren, A. Conceptual design of hybrid-electric transport aircraft. Prog. Aerosp. Sci. 2015, 79, 114–135. [Google Scholar] [CrossRef]
- Xie, Y.; Savvarisal, A.; Tsourdos, A.; Zhang, D.; Gu, J. Review of hybrid electric powered aircraft, its conceptual design and energy management methodologies. Chin. J. Aeronaut. 2021, 34, 432–450. [Google Scholar] [CrossRef]
- Platzer, M.F. A perspective on the urgency for green aviation. Prog. Aerosp. Sci. 2023, 141, 100932. [Google Scholar] [CrossRef]
- Lee, D.; Pitari, G.; Grewe, V.; Gierens, K.; Penner, J.; Petzold, A.; Prather, M.; Schumann, U.; Bais, A.; Berntsen, T.; et al. Transport impacts on atmosphere and climate: Aviation. Atmos. Environ. 2010, 44, 4678–4734. [Google Scholar] [CrossRef] [PubMed]
- Hasan, A.; Al Mamun, A.; Rahman, S.M.; Malik, K.; Al Amran, I.U.; Khondaker, A.N.; Reshi, O.; Tiwari, S.P.; Alismail, F.S. Climate Change Mitigation Pathways for the Aviation Sector. Sustainability 2021, 13, 3656. [Google Scholar] [CrossRef]
- Ficca, A.; Marulo, F.; Sollo, A. An open thinking for a vision on sustainable green aviation. Prog. Aerosp. Sci. 2023, 141, 100928. [Google Scholar] [CrossRef]
- Tasca, A.L.; Cipolla, V.; Abu Salem, K.; Puccini, M. Innovative box-wing aircraft: Emissions and climate change. Sustainability 2021, 13, 3282. [Google Scholar] [CrossRef]
- Jensen, L.L.; Bonnefoy, P.A.; Hileman, J.I.; Fitzgerald, J.T. The carbon dioxide challenge facing U.S. aviation and paths to achieve net zero emissions by 2050. Prog. Aerosp. Sci. 2023, 141, 100921. [Google Scholar] [CrossRef]
- Brdnik, A.P.; Kamnik, R.; Marksel, M.; Božičnik, S. Market and technological perspectives for the new generation of regional passenger aircraft. Energies 2019, 12, 1864. [Google Scholar] [CrossRef]
- Eisenhut, D.; Moebs, N.; Windels, E.; Bergmann, D.; Geiß, I.; Reis, R.; Strohmayer, A. Aircraft requirements for sustainable regional aviation. Aerospace 2021, 8, 61. [Google Scholar] [CrossRef]
- Palaia, G.; Zanetti, D.; Abu Salem, K.; Cipolla, V.; Binante, V. THEA-CODE: A design tool for the conceptual design of hybrid-electric aircraft with conventional or unconventional airframe configurations. Mech. Ind. 2021, 22, 19. [Google Scholar] [CrossRef]
- Palaia, G. Design and Performance Assessment Methodologies for Box-Wing Hybrid-Electric Aircraft from Urban to Regional Transport Applications. Ph.D. Thesis, University of Pisa, Pisa, Italy, 2022. Available online: https://etd.adm.unipi.it/t/etd-11092022-150110/ (accessed on 14 October 2023).
- Palaia, G.; Abu Salem, K.; Quarta, A.A. Comparative analysis of hybrid-electric regional aircraft with tube-and-wing and box-wing airframes: A performance study. Appl. Sci. 2023, 13, 7894. [Google Scholar] [CrossRef]
- Rizzo, E.; Frediani, A. Application of Optimisation Algorithms to Aircraft Aerodynamics. In Variational Analysis and Aerospace Engineering, Springer Optimization and Its Applications; Springer: New York, NY, USA, 2009; Volume 33. [Google Scholar] [CrossRef]
- Abu Salem, K.; Giuseppe, P.; Vittorio, C.; Vincenzo, B.; Davide, Z.; Mario, C. Tools and methodologies for box-wing aircraft conceptual aerodynamic design and aeromechanic analysis. Mech. Ind. 2021, 22, 39. [Google Scholar] [CrossRef]
- Drela, M.; Youngren, H. AVL 3.36 User Primer, Online Software Manual. 2017. Available online: https://perma.cc/R35R-W29F (accessed on 14 October 2023).
- Drela, M.; Youngren, H. XFOIL 6.9 User Primer, Online Software Manual. 2001. Available online: https://web.mit.edu/drela/Public/web/xfoil/ (accessed on 14 October 2023).
- Cipolla, V.; Abu Salem, K.; Palaia, G.; Binante, V.; Zanetti, D. A DoE-based approach for the implementation of structural surrogate models in the early stage design of box-wing aircraft. Aerosp. Sci. Technol. 2021, 117, 106968. [Google Scholar] [CrossRef]
- Palaia, G.; Abu Salem, K.; Cipolla, V.; Zanetti, D.; Binante, V. A DoE-based scalable approach for the preliminary structural design of Box-Wing aircraft from regional to medium range categories. In Proceedings of the AIAA SciTech Forum, National Harbor, MD, USA, 23–27 January 2023. [Google Scholar] [CrossRef]
- Wells, D.P.; Horvath, B.L.; McCullers, L.A. The Flight Optimization System Weights Estimation Method. NASA Tech. Rep. 2017. Available online: https://ntrs.nasa.gov/citations/20170005851 (accessed on 14 October 2023).
- Sforza, P. Commercial Airplane Design Principles; Elsevier BV: Amsterdam, The Netherlands, 2014; ISBN 9780124199538. [Google Scholar]
- Fioriti, M. Adaptable conceptual aircraft design model. Adv. Aircr. Spacecr. Sci. 2014, 1, 43–67. [Google Scholar] [CrossRef]
- Palaia, G.; Abu Salem, K. Mission Performance Analysis of Hybrid-Electric Regional Aircraft. Aerospace 2023, 10, 246. [Google Scholar] [CrossRef]
- Proesmans, P.-J.; Vos, R. Airplane design optimization for minimal global warming impact. J. Aircr. 2022, 59, 1363–1381. [Google Scholar] [CrossRef]
- Hudda, N.; Durant, L.W.; Fruin, S.A.; Durant, J.L. Impacts of aviation emissions on near-airport residential air quality. Environ. Sci. Technol. 2020, 54, 8580–8588. [Google Scholar] [CrossRef] [PubMed]
- Clean Aviation Joint Undertaking. Clean Aviation Strategic Research and Innovation Agenda. Report. 2021. Available online: https://www.clean-aviation.eu/strategic-research-and-innovation-agenda-sria (accessed on 14 October 2023).
- Abu Salem, K.; Palaia, G.; Quarta, A.A.; Chiarelli, M.R. Medium-Range Aircraft Conceptual Design from a Local Air Quality and Climate Change Viewpoint. Energies 2023, 16, 4013. [Google Scholar] [CrossRef]
- Palaia, G.; Abu Salem, K.; Quarta, A.A. Parametric Analysis for Hybrid–Electric Regional Aircraft Conceptual Design and Development. Appl. Sci. 2023, 13, 11113. [Google Scholar] [CrossRef]
- Gnadt, A.R.; Speth, R.L.; Sabnis, J.S.; Barrett, S.R. Technical and environmental assessment of all-electric 180-passenger commercial aircraft. Prog. Aerosp. Sci. 2019, 105, 1–30. [Google Scholar] [CrossRef]
- Löbberding, H.; Wessel, S.; Offermanns, C.; Kehrer, M.; Rother, J.; Heimes, H.; Kampker, A. From cell to battery system in BEVs: Analysis of system packing efficiency and cell types. World Electr. Veh. J. 2020, 11, 77. [Google Scholar] [CrossRef]
- Zhang, H.; Li, X.; Zhang, H. Li–S and Li–O2 Batteries with High Specific Energy; Springer: Singapore, 2017; pp. 1–48. [Google Scholar] [CrossRef]
- Overton, J. The Growth in Greenhouse Gas Emissions from Commercial Aviation; Environmental and Energy Study Institute: Washington, DC, USA, 2022; Available online: https://www.eesi.org/papers/view/fact-sheet-the-growth-in-greenhouse-gas-emissions-from-commercial-aviation (accessed on 14 October 2023).
- Hoelzen, J.; Liu, Y.; Bensmann, B.; Winnefeld, C.; Elham, A.; Friedrichs, J.; Hanke-Rauschenbach, R. Conceptual Design of Operation Strategies for Hybrid Electric Aircraft. Energies 2018, 11, 217. [Google Scholar] [CrossRef]
- Scholz, A.E.; Trifonov, D.; Hornung, M. Environmental life cycle assessment and operating cost analysis of a conceptual battery hybrid-electric transport aircraft. CEAS Aeronaut. J. 2022, 13, 215–235. [Google Scholar] [CrossRef]
- Abu Salem, K.; Palaia, G.; Quarta, A.A. Introducing the Box-Wing Airframe for Hybrid-Electric Regional Aircraft: A Preliminary Impact Assessment. Appl. Sci. 2023, 13, 10506. [Google Scholar] [CrossRef]
- Hainsch, K.; Göke, L.; Kemfert, C.; Oei, P.-Y.; Hirschhausen, C.V. European green deal: Using ambitious climate targets and renewable energy to climb out of the economic crisis. DIW Wkly. Rep. 2020, 10, 303–310. [Google Scholar] [CrossRef]
- Kougias, I.; Taylor, N.; Kakoulaki, G.; Jäger-Waldau, A. The role of photovoltaics for the European green deal and the recovery plan. Renew. Sustain. Energy Rev. 2021, 144, 111017. [Google Scholar] [CrossRef]
- de Vries, R.; Brown, M.; Vos, R. Preliminary Sizing Method for Hybrid-Electric Distributed-Propulsion Aircraft. J. Aircr. 2019, 56, 2172–2188. [Google Scholar] [CrossRef]
- Brueckner, J.K.; Zhang, A. Airline emission charges: Effects on airfares, service quality, and aircraft design. Transp. Res. Part B Methodol. 2010, 44, 960–971. [Google Scholar] [CrossRef]
- Valdés, R.M.A.; Comendador, V.F.G.; Campos, L.M.B. How Much Can Carbon Taxes Contribute to Aviation Decarbonization by 2050. Sustainability 2021, 13, 1086. [Google Scholar] [CrossRef]
- Hoelzen, J.; Silberhorn, D.; Zill, T.; Bensmann, B.; Hanke-Rauschenbach, R. Hydrogen-powered aviation and its reliance on green hydrogen infrastructure—Review and research gaps. Int. J. Hydrogen Energy 2022, 47, 3108–3130. [Google Scholar] [CrossRef]
- Lammering, T.; Franz, K.; Risse, K.; Hoernschemeyer, R.; Stumpf, E. Aircraft cost model for preliminary design synthesis. In Proceedings of the 50th AIAA Aerospace Sciences Meeting, Nashville, TE, USA, 9–12 January 2012. [Google Scholar] [CrossRef]
- Bijewitz, J.; Seitz, A.; Hornung, M. A Review of Recent Aircraft Concepts Employing Synergistic Propulsion-Airframe Integration. In Proceedings of the 30th Congress of the International Council of the Aeronautical Sciences, Daejeon, Republic of Korea, 25–30 September 2016; Available online: https://icas.org/ICAS_ARCHIVE/ICAS2016/data/papers/2016_0727_paper.pdf (accessed on 14 October 2023).
- Torenbeek, E. Advanced Aircraft Design; John Wiley and Sons, Ltd.: West Sussex, UK, 2013; ISBN 978-1118568118. [Google Scholar]
- Riboldi, C.E.; Trainelli, L.; Mariani, L.; Rolando, A.; Salucci, F. Predicting the effect of electric and hybrid-electric aviation on acoustic pollution. Noise Mapp. 2020, 7, 35–56. [Google Scholar] [CrossRef]
- Salucci, F.; Riboldi, C.E.; Trainelli, L.; Rolando, A.L.; Mariani, L. A noise estimation procedure for electric and hybrid-electric aircraft. In Proceedings of the AIAA SciTech Forum, Virtual Event, 19–21 January 2021. [Google Scholar] [CrossRef]
- Filippone, A.; Parkes, B. Evaluation of commuter airplane emissions: A European case study. Transp. Res. Part D Transp. Environ. 2021, 98, 102979. [Google Scholar] [CrossRef]
- Filippone, A.; Bojdo, N. Statistical model for gas turbine engines exhaust emissions. Transp. Res. Part D Transp. Environ. 2018, 59, 451–463. [Google Scholar] [CrossRef]
- Kayaalp, K.; Metlek, S.; Ekici, S.; Şöhret, Y. Developing a model for prediction of the combustion performance and emissions of a turboprop engine using the long short-term memory method. Fuel 2021, 302, 121202. [Google Scholar] [CrossRef]
- Karpuk, S.; Radespiel, R.; Elham, A. Assessment of Future Airframe and Propulsion Technologies on Sustainability of Next-Generation Mid-Range Aircraft. Aerospace 2022, 9, 279. [Google Scholar] [CrossRef]
- Karpuk, S.; Elham, A. Assessment of Potential Commercial Success of Business Jets with Natural Laminar Flow. J. Aircr. 2023, 60, 310–330. [Google Scholar] [CrossRef]
- Bravo-Mosquera, P.D.; Catalano, F.M.; Zingg, D.W. Unconventional aircraft for civil aviation: A review of concepts and design methodologies. Prog. Aerosp. Sci. 2022, 131, 100813. [Google Scholar] [CrossRef]
- Cavallaro, R.; Demasi, L. Challenges, ideas, and innovations of joined-wing configurations: A concept from the past, an opportunity for the future. Prog. Aerosp. Sci. 2016, 87, 1–93. [Google Scholar] [CrossRef]
- Abu Salem, K.; Cipolla, V.; Palaia, G.; Binante, V.; Zanetti, D. A physics-based multidisciplinary approach for the preliminary design and performance analysis of a medium range aircraft with box-wing architecture. Aerospace 2021, 8, 292. [Google Scholar] [CrossRef]
- Okonkwo, P.; Smith, H. Review of evolving trends in blended wing body aircraft design. Prog. Aerosp. Sci. 2016, 82, 1–23. [Google Scholar] [CrossRef]
- Karpuk, S.; Elham, A. Influence of Novel Airframe Technologies on the Feasibility of Fully-Electric Regional Aviation. Aerospace 2021, 8, 163. [Google Scholar] [CrossRef]

























| Flight Phase (see Figure 3) | Denomination | Assumption | 
|---|---|---|
| 1–2 | Taxi-out | 7% of maximum power for 240 s | 
| 2–3 | Take-off | 100% of available power for 45 s | 
| 3–4 | Climb | Constant IAS (170 kn) and RoC (900 ft/min) | 
| 4–5 | Cruise | Constant Mach (0.4) and altitude (200 FL) | 
| 5–6 | Descent | Constant IAS (220 kn) and RoD (−1100 ft/min) | 
| 6–7 | Climbdiv | Constant IAS (150 kn) and RoC (600 ft/min) | 
| 7–8 | Cruisediv | Constant Mach (0.27) and altitude (100 FL) | 
| 8–9 | Descentdiv | Constant IAS (150 kn) and RoD (−1100 ft/min) | 
| 9–10 | Loiter | 30 min @ L/Dmax | 
| 10–11 | Approach | Constant RoD (−500 ft∕min) | 
| 11–12 | Landing | Neglected | 
| 12–13 | Taxi-in | 7% of maximum power for 240 s | 
| Design Range [nm] | MTOW [kgf] | [kg] | DOC [EUR/Flight] | PREE | E [kWh] | [t] | 
|---|---|---|---|---|---|---|
| 200 | 14,710 | 381 | 3524 | 0.838 | 4577 | 1.204 | 
| 400 | 15,210 | 734 | 4617 | 0.871 | 8809 | 2.319 | 
| 600 | 15,780 | 1103 | 5767 | 0.869 | 13,237 | 3.485 | 
| 800 | 16,404 | 1487 | 6966 | 0.859 | 17,850 | 4.698 | 
| Run No. | [kg] | [kg] | MTOW [kgf] | ||||
|---|---|---|---|---|---|---|---|
| 1 | 0.42 | 0.29 | 0.42 | 0.17 | 1391 | 6610 | 28,164 | 
| 2 | 0.45 | 0.17 | 0.51 | 0.19 | 1380 | 5782 | 26,643 | 
| 3 | 0.08 | 0.49 | 0.56 | 0.18 | 1445 | 488 | 17,193 | 
| 4 | 0.13 | 0.47 | 0.45 | 0.22 | 1437 | 562 | 17,291 | 
| 5 | 0.34 | 0.30 | 0.33 | 0.12 | 1408 | 8755 | 32,168 | 
| 6 | 0.18 | 0.36 | 0.21 | 0.08 | 1433 | 9975 | 34,393 | 
| 7 | 0.09 | 0.47 | 0.56 | 0.19 | 1439 | 496 | 17,224 | 
| 8 | 0.18 | 0.50 | 0.37 | 0.13 | 1434 | 2793 | 21,293 | 
| 9 | 0.42 | 0.49 | 0.42 | 0.16 | 1403 | 5613 | 26,327 | 
| 10 | 0.09 | 0.55 | 0.50 | 0.14 | 1461 | 579 | 17,412 | 
| Component Description | V | p | k | 
|---|---|---|---|
| Electric motor and inverter | Installed power | 225 EUR/kW | 0.2 | 
| Battery pack | Energy | 150 EUR/kWh | 0 | 
| Thermal engine | Installed power | 551.5 EUR/kW | 0.1 | 
| Airframe | Weight | 1595.3 EUR/kgf | 0.3 | 
| Component Description | |||
|---|---|---|---|
| Aircraft | 0.5% | 10% | 20 years | 
| Battery pack | 0.5% | 40% | Equation (8) | 
| Disclaimer/Publisher’s Note: The statements, opinions and data contained in all publications are solely those of the individual author(s) and contributor(s) and not of MDPI and/or the editor(s). MDPI and/or the editor(s) disclaim responsibility for any injury to people or property resulting from any ideas, methods, instructions or products referred to in the content. | 
© 2023 by the authors. Licensee MDPI, Basel, Switzerland. This article is an open access article distributed under the terms and conditions of the Creative Commons Attribution (CC BY) license (https://creativecommons.org/licenses/by/4.0/).
Share and Cite
Abu Salem, K.; Palaia, G.; Quarta, A.A. Impact of Figures of Merit Selection on Hybrid–Electric Regional Aircraft Design and Performance Analysis. Energies 2023, 16, 7881. https://doi.org/10.3390/en16237881
Abu Salem K, Palaia G, Quarta AA. Impact of Figures of Merit Selection on Hybrid–Electric Regional Aircraft Design and Performance Analysis. Energies. 2023; 16(23):7881. https://doi.org/10.3390/en16237881
Chicago/Turabian StyleAbu Salem, Karim, Giuseppe Palaia, and Alessandro A. Quarta. 2023. "Impact of Figures of Merit Selection on Hybrid–Electric Regional Aircraft Design and Performance Analysis" Energies 16, no. 23: 7881. https://doi.org/10.3390/en16237881
APA StyleAbu Salem, K., Palaia, G., & Quarta, A. A. (2023). Impact of Figures of Merit Selection on Hybrid–Electric Regional Aircraft Design and Performance Analysis. Energies, 16(23), 7881. https://doi.org/10.3390/en16237881
 
        
 
                                                


 
       