Identification of Key Factors for the Development of Agricultural Biogas Plants in Poland
Abstract
:1. Introduction
2. Research Object
Biogas Plants in Poland
- Instability of prices of agricultural substrates;
- No guarantee of stable input supplies;
- Decline in prices of conventional fuels.
- Drop in prices of “blue certificates”;
- Decrease in prices for the disposal of agri-food waste;
- Closure of a large agri-food processing plant that supplied substrates to the biogas plant;
- Repeated natural disasters (droughts, floods, epidemics of infectious animal diseases).
- Technology: knowledge of the process that affects its efficiency and safety related to operation, eliminating the inconveniences associated with substrate and digestate transport and storage—T;
- Substrates: availability, price, transport costs, regularity of supply—S;
- Policy: state energy policy creating an energy mix—O;
- Profitability: profitability of biogas plant operation, electricity selling price per MWh, price of ETS certificates for emitting 1 ton of CO2, possibility of selling thermal energy—R;
- Population density in the municipality—G;
- Spatial layout of the municipality resulting from the local spatial development plan or historically shaped residential development—P.
3. Methods and Research
DEMATEL Method
- Defining quality characteristics and establishing a measurement scale for relationships;
- Determining the matrix of direct relationships among factors X*;
- Normalizing the matrix of direct relationships among factors in a way that ensures its convergence to the zero matrix in the process of raising it to successive natural powers:
- Determining the resulting structure of total (and intermediate) influence of the factors;
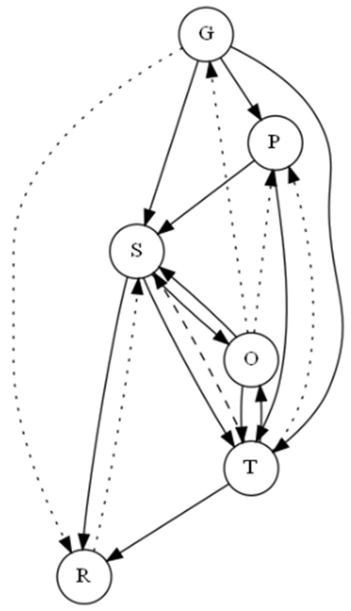
- Constructing a cause-and-effect diagram, as shown in Figure 2;
- Analyzing the resulting structures of influence as well as the significance and role of individual factors.
- The possibility of bidirectional interactions between the i-th consecutive factor and j-th consecutive factor (i, j = 1 … n) out of n factors is considered;
- The possibility of direct influence by an individual factor on itself is not allowed.
- 0—no direct influence at all;
- 1—a slight influence;
- 2—significant influence;
- 3—very significant influence;
- 4—extreme influence.
4. Results
- The dotted linestyle corresponds to the assessment of direct influence at level 1;
- The dashed linestyle corresponds to level 2;
- The normal solid linestyle corresponds to level 3;
- The bold solid linestyle corresponds to level 4.
- Factor G strongly influences factors P, S and T but only weakly influences factor R;
- Factor O strongly influences factors S and T but only weakly influences factors G and P;
- Factor P strongly influences factors S and T;
- Factor R only weakly influences factor S;
- Factor S strongly influences factors O, R and T;
- Factor T strongly influences factors O and R, moderately influences factor S and weakly influences factor P.

- Direct influence X;
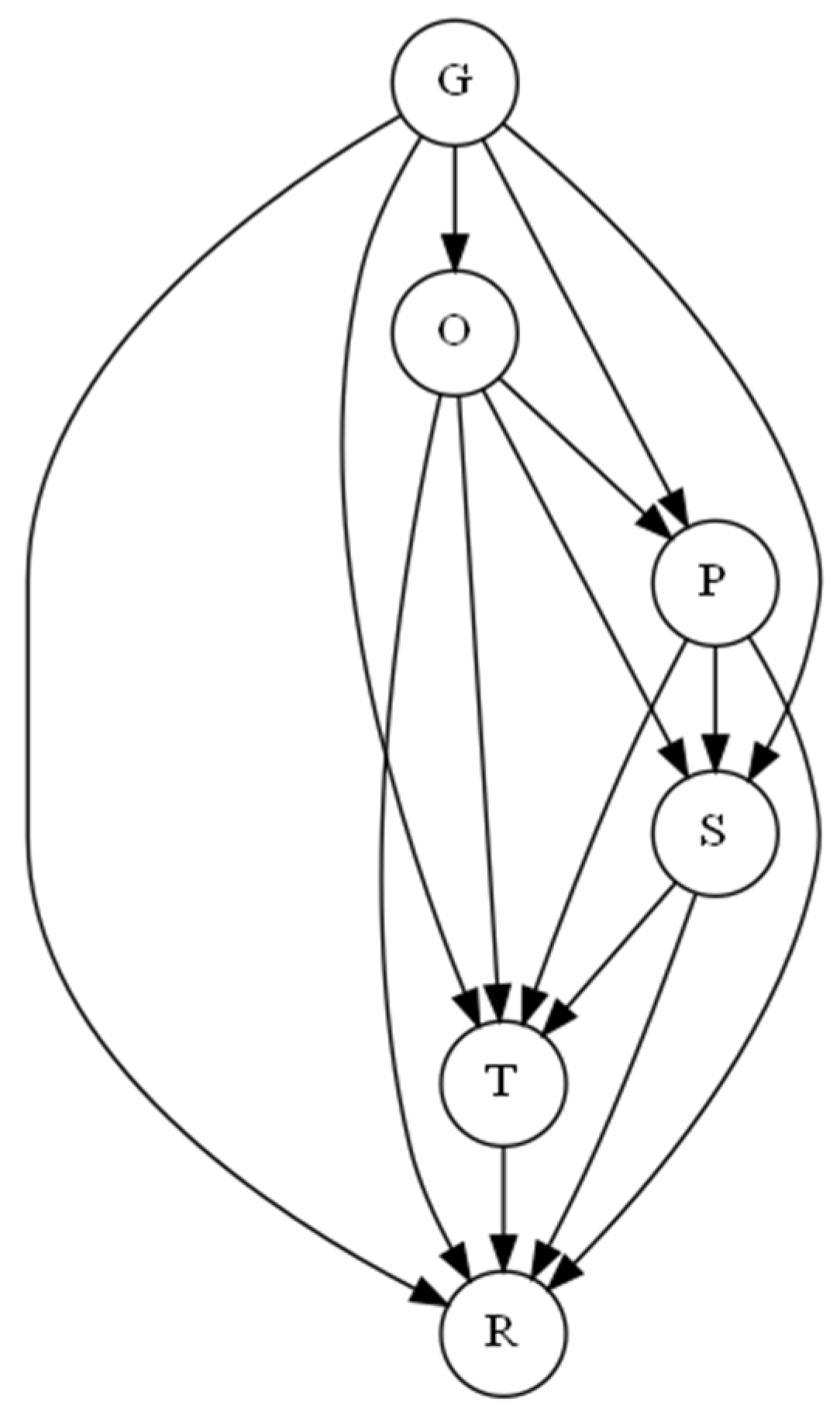
- Indirect influence ΔT (compare Table 6), resulting from the transmission of direct influence of factors, which, thanks to property (1), can be expressed by the formula
- Factor G on factors O, R, S and T;
- Factor O on factors R, S and T;
- Factors O, S and T on themselves due to feedback loops mediated by other factors.
- Factors G and O on factors S and T;
- Factors R and S on factor T.
5. Discussion
6. Conclusions
Author Contributions
Funding
Data Availability Statement
Conflicts of Interest
References
- Brodny, J.; Tutak, M. The use of artificial neural networks to analyze greenhouse gas and air pollutant emissions from the mining and quarrying sector in the European Union. Energies 2020, 13, 1925. [Google Scholar] [CrossRef]
- Jeffry, L.; Ong, M.Y.; Nomanbhay, S.; Mofijur, M.; Mubashir, M.; Show, P.L. Greenhouse gases utilization. A Rev. Fuel 2021, 301, 121017. [Google Scholar] [CrossRef]
- Gołasa, P.; Wysokiński, M.; Bieńkowska-Gołasa, W.; Gradziuk, P.; Golonko, M.; Gradziuk, B.; Siedlecka, A.; Gromada, A. Sources of greenhouse gas emissions in agriculture, with particular emphasis on emissions from energy used. Energies 2021, 14, 3784. [Google Scholar] [CrossRef]
- Lobaccaro, G.; Croce, S.; Lindkvist, C.; Probst, M.M.; Scognamiglio, A.; Dahlberg, J.; Wall, M. A cross-country perspective on solar energy in urban planning: Lessons learned from international case studies. Renew. Sustain. Energy Rev. 2019, 108, 209–237. [Google Scholar] [CrossRef]
- Niedziela, J. Location of renewable energy sources installations—Legal aspects (Lokalizacja instalacji odnawialnych źródeł energii–aspekty prawne). Stud. Iurid. 2020, 86, 196–211. [Google Scholar]
- Stankiewicz, P. Five forces of green transformation. How the European Green Deal and decarbonisation affect the Polish economy. Pięć sił zielonej transformacji. Jak Europejski Zielony Ład i dekarbonizacja oddziałują na polską gospodarkę. Stud. BAS 2023, 2, 109–126. [Google Scholar]
- Polish Energy Policy until 2040. 2023. Available online: https://www.gov.pl/web/climate/energy-policy-of-poland-until-2040-epp2040 (accessed on 2 August 2023).
- Podkówka, W. (Ed.) Agricultural Biogas. In Renewable Energy Source, Theory and Practice; Universal Agricultural and Forest Publishing House: Warsaw, Poland, 2012. [Google Scholar]
- Jędrczak, A. Biological Waste Processing; Scientific Publishing House PWN: Warszawa, Poland, 2007. [Google Scholar]
- Atelge, M.R.; Krisa, D.; Kumar, G.; Eskicioglu, C.; Nguyen, D.D.; Chang, S.W.; Unalan, S. Biogas production from organic waste: Recent progress and perspectives. Waste Biomass Valorization 2020, 11, 1019–1040. [Google Scholar] [CrossRef]
- Gustafsson, M.; Anderberg, S. Biogas policies and production development in Europe: A comparative analysis of eight countries. Biofuels 2022, 13, 931–944. [Google Scholar] [CrossRef]
- Murano, R.; Maisano, N.; Selvaggi, R.; Pappalardo, G.; Pecorino, B. Critical Issues and Opportunities for Producing Biomethane in Italy. Energies 2021, 14, 2431. [Google Scholar] [CrossRef]
- Pappalardo, G.; Selvaggi, R.; Pecorino, B. Biomethane production potential in Southern Italy: An empirical approach. Renew. Sustain. Energy Rev. 2022, 158, 112190. [Google Scholar] [CrossRef]
- Korberg, A.D.; Skov, I.R.; Mathiesen, B.V. The role of biogas and biogas-derived fuels in a 100% renewable energy system in Denmark. Energy 2020, 199, 117426. [Google Scholar] [CrossRef]
- Zepter, J.M.; Gabderakhmanova, T.; Andreasen, K.M.; Boesgaard, K.; Marinelli, M. Biogas Plant Modelling for Flexibility Provision in the Power System of Bornholm island. In Proceedings of the 2020 55th International Universities Power Engineering Conference (UPEC), Turin, Italy, 1–4 September 2020; IEEE: Piscataway, NJ, USA, 2020; pp. 1–6. [Google Scholar] [CrossRef]
- Igliński, B.; Piechota, G.; Iwański, P.; Skarzatek, M.; Pilarski, G. 15 Years of the Polish agricultural biogas plants: Their history, current status, biogas potential and perspectives. Clean Technol. Environ. Policy 2020, 22, 281–307. [Google Scholar] [CrossRef]
- Kaur, S.; Kumar, D.; Singla, M.; Dogra, R. Biogas to Bio-CNG from paddy straw: A review. Int. J. Chem. Stud. 2020, 8, 1833–1838. [Google Scholar] [CrossRef]
- Ramos-Suárez, J.L.; Ritter, A.; González, J.M.; Pérez, A.C. Biogas from animal manure: A sustainable energy opportunity in the Canary Islands. Renew. Sustain. Energy Rev. 2019, 104, 137–150. [Google Scholar] [CrossRef]
- Kreidenweis, U.; Breier, J.; Herrmann, C.; Libra, J.; Prochnow, A. Greenhouse gas emissions from broiler manure treatment options are lowest in well-managed biogas production. J. Clean. Prod. 2021, 280, 124969. [Google Scholar] [CrossRef]
- Adnan, A.I.; Ong, M.Y.; Nomanbhay, S.; Chew, K.W.; Show, P.L. Technologies for biogas upgrading to biomethane: A review. Bioengineering 2019, 6, 92. [Google Scholar] [CrossRef] [PubMed]
- Augustyn, G.; Mikulik, J.; Rumin, R.; Szyba, M. Energy self-sufficient livestock farm as the example of agricultural hybrid off-grid system. Energies 2021, 14, 7041. [Google Scholar] [CrossRef]
- Szyba, M.; Mikulik, J. Management of Biodegradable Waste Intended for Biogas Production in a Large City. Energies 2023, 16, 4039. [Google Scholar] [CrossRef]
- Biogas and Biomethane in Italy. 2023. Available online: https://iea.blob.core.windows.net/assets/ced91034-a399-404e-b8be-dea83b9b3187/1.4_PelliniAlessandro_13Jul2021.pdf (accessed on 14 August 2023).
- Biogas Plant in Germany. 2023. Available online: https://task37.ieabioenergy.com/wp-content/uploads/sites/32/2022/02/Germany_2020.pdf (accessed on 14 August 2023).
- Energy Regulatory Office. 2023. Available online: https://www.ure.gov.pl/ (accessed on 27 June 2023).
- Directions of Development of Agricultural Biogas Plants in Poland in 2010–2020. Available online: https://www.teraz-srodowisko.pl/media/pdf/aktualnosci/1043-kierunki-rozwoju-biogazowni-rolniczych.pdf (accessed on 23 November 2023).
- Oztaysi, B.; Onar, S.C.; Kahraman, C. Waste disposal location selection by using pythagorean fuzzy REGIME method. J. Intell. Fuzzy Syst. 2022, 42, 401–410. [Google Scholar] [CrossRef]
- Zuo, T.; Wei, H. Bikeway prioritization to increase bicycle network connectivity and bicycle-transit connection: A multi-criteria decision analysis approach. Transp. Res. Part A Policy Pract. 2019, 129, 52–71. [Google Scholar] [CrossRef]
- Meier, Z.; Pan, W.-T.; Zhuohong, S.; Yingying, Z.; Zuchang, Z. Application of Data Mining Technology in Evaluating Real Estate Investment Plan Based on GRA-AHP. J. Phys. Conf. Ser. 2019, 1284, 012037. [Google Scholar] [CrossRef]
- Kim, S.G.; Kim, G.-B. Are groundwater monitoring networks economical? Cost-benefit analysis on the long-term groundwater supply project of South Korea. Water 2019, 11, 753. [Google Scholar] [CrossRef]
- Cao, Q.; Esangbedo, M.O.; Bai, S.; Esangbedo, C.O. Grey SWARA-FUCOM weighting method for contractor selection MCDM problem: A case study of floating solar panel energy system installation. Energies 2019, 12, 2481. [Google Scholar] [CrossRef]
- Marović, I.; Hanak, T. Selection of adequate site location during early stages of construction project management: A multi-criteria decision analysis approach. IOP Conf. Ser. Mater. Sci. Eng. 2017, 25, 012044. [Google Scholar] [CrossRef]
- Yao, P.; Yu, Z.; Lv, Y.; Shi, B.; He, Y.; Wang, H.; Liu, D.; Wei, S. Safety level assessment of shield tunneling in water rich sandy pebble strata with large particle size. Sci. Rep. 2023, 13, 3854. [Google Scholar] [CrossRef] [PubMed]
- Afzali Borujeni, S.H.; Zare, M.; Adelzade Saadabadi, L. Comparison of Factors Affecting the Acceptance of the Trenchless Technology and Open-Trench Method Using ANP and AHP: Case Study in Iran. J. Constr. Eng. Manag. 2024, 150, 04023145. [Google Scholar] [CrossRef]
- Arya, S.; Kumar, A. Green Infrastructure for Sustainable Stormwater Management in an Urban Setting Using SWMM-Based Multicriteria Decision-Making Approach. J. Hydrol. Eng. 2024, 29, 04023044. [Google Scholar] [CrossRef]
- Yao, Y.; Sun, D.; Xu, J.-H.; Wang, B.; Peng, G.; Sun, B. Evaluation of enhanced oil recovery methods for mature continental heavy oil fields in China based on geology, technology and sustainability criteria. Energy 2023, 278, 127962. [Google Scholar] [CrossRef]
- Cheonklang, P.; Phummiphan, I.; Horpibulsuk, S.; Hoy, M. Prioritizing rural roads projects in north-eastern Thailand by analytical hierarchy process (AHP). Lowl. Technol. Int. 2018, 20, 197–204. [Google Scholar]
- Hassoun Nedjar, N.; Djebbar, Y.; Djemili, L. Application of the analytical hierarchy process for planning the rehabilitation of water distribution networks. Arab Gulf J. Sci. Res. 2023, 4, 518–538. [Google Scholar] [CrossRef]
- Burayu, D.G.; Karuppannan, S.; Shuniye, G. Identifying flood vulnerable and risk areas using the integration of analytical hierarchy process (AHP), GIS, and remote sensing: A case study of southern Oromia region. Urban Clim. 2023, 51, 101640. [Google Scholar] [CrossRef]
- Sameer, Y.M.; Abed, A.N.; Sayl, K.N. Geomatics-based approach for highway route selection. Appl. Geomat. 2023, 15, 161–176. [Google Scholar] [CrossRef]
- Tulun, Ş.; Arsu, T.; Gürbüz, E. Selection of the most suitable biogas facility location with the geographical information system and multi-criteria decision-making methods: A case study of Konya Closed Basin, Turkey. Biomass Convers. Biorefinery 2023, 13, 3439–3461. [Google Scholar] [CrossRef]
- Nosratinia, M.; Tofigh, A.A.; Adl, M. Determining optimal locations for biogas plants: Case study of Tehran province for utilization of bovine and aviculture wastes. J. Renew. Energy Environ. 2021, 8, 36–44. [Google Scholar] [CrossRef]
- Dao, K.M.; Yabar, H.; Mizunoya, T. Unlocking the energy recovery potential from sustainable management of bio-resources based on GIS analysis: Case study in Hanoi, Vietnam. Resources 2020, 9, 133. [Google Scholar] [CrossRef]
- Rodrigues, C.; Rodrigues, A.C.; Vilarinho, C.; Alves, M.; Alonso, J.M. Spatial multicriteria gis-based analysis to anaerobic biogas plant location for dairy waste and wastewater treatment and energy recovery (Barcelos, NW Portugal). Lect. Notes Electr. Eng. 2019, 505, 626–632. [Google Scholar] [CrossRef]
- Silva, S.; Alçada-Almeida, L.; Dias, L.C. Biogas plants site selection integrating Multicriteria Decision Aid methods and GIS techniques: A case study in a Portuguese region. Biomass Bioenergy 2014, 71, 58–68. [Google Scholar] [CrossRef]
- Franco, C.; Bojesen, M.; Hougaard, J.L.; Nielsen, K. A fuzzy approach to a multiple criteria and Geographical Information System for decision support on suitable locations for biogas plants. Appl. Energy 2015, 140, 304–315. [Google Scholar] [CrossRef]
- Bojesen, M.; Boerboom, L.; Skov-Petersen, H. Towards a sustainable capacity expansion of the Danish biogas sector. Land Use Policy 2015, 42, 264–277. [Google Scholar] [CrossRef]
- Feiz, R.; Metson, G.S.; Wretman, J.; Ammenberg, J. Key factors for site-selection of biogas plants in Sweden. J. Clean. Prod. 2022, 354, 131671. [Google Scholar] [CrossRef]
- Chodkowska-Miszczuk, J.; Martinat, S.; Kulla, M.; Novotný, L. Renewables projects in peripheries: Determinants, challenges and perspectives of biogas plants—Insights from Central European countries. Reg. Stud. Reg. Sci. 2020, 7, 362–381. [Google Scholar] [CrossRef]
- Mancini, E.; Raggi, A. Out of sight, out of mind? The importance of local context and trust in understanding the social acceptance of biogas projects: A global scale review. Energy Res. Soc. Sci. 2022, 91, 102697. [Google Scholar] [CrossRef]
- Muradin, M.; Joachimiak-Lechman, K.; Foltynowicz, Z. Evaluation of eco-efficiency of two alternative agricultural biogas plants. Appl. Sci. 2018, 8, 2083. [Google Scholar] [CrossRef]
- Metson, G.S.; Feiz, R.; Lindegaard, I.; Ranggård, T.; Quttineh, N.-H.; Gunnarsson, E. Not all sites are created equal—Exploring the impact of constraints to suitable biogas plant locations in Sweden. J. Clean. Prod. 2022, 349, 131390. [Google Scholar] [CrossRef]
- Szyba, M. Spatial planning and the development of renewable energy sources in Poland. Acta Innov. 2021, 39, 5–14. [Google Scholar] [CrossRef]
- Local Bank Data. 2023. Available online: https://bdl.stat.gov.pl/bdl/dane/podgrup/temat (accessed on 20 November 2023).
- Act of February 20, 2015 on Renewable Energy Sources, Journal Laws of 2015, Item 478. Available online: https://isap.sejm.gov.pl/isap.nsf/download.xsp/WDU20150000478/U/D20150478Lj.pdf (accessed on 23 November 2023).
- Agricultural Biogas Register. Rejestr Biogazu Rolniczego. Available online: https://www.kowr.gov.pl/uploads/pliki/oze/biogaz/Rejestrbiogazurolniczego30.01.2022 (accessed on 20 June 2023).
- Directive 2008/98/EC of the European Parliament and of the Council of 19 November 2008 on Waste and Repealing Certain Directives. Available online: https://eur-lex.europa.eu/legal-content/EN/TXT/PDF/?uri=CELEX:02008L0098-20180705&from=SV (accessed on 23 November 2023).
- Bożek, J.; Bożek, B. Typology of the agrarian structure of voivodships in dynamic terms with the use of fuzzy classification. [Typologia struktury agrarnej województw w ujęciu dynamicznym z zastosowaniem klasyfikacji rozmytej]. Metod. Ilościowe Badaniach Ekon. 2011, 12, 91–100. [Google Scholar]
- Iwaszczuk, N.; Szyba, M.; Iwaszczuk, A.; Yakubiv, V.; Stefanyk, V. Production of agricultural biogas from waste–an element of socially responsible actions in the food sector. Acta Innov. 2019, 33, 52–62. [Google Scholar] [CrossRef]
- Szyba, M.; Mikulik, J. Energy production from biodegradable waste as an example of the circular economy. Energies 2022, 15, 1269. [Google Scholar] [CrossRef]
- Krupińska, P. Dokumenty planistyczne a ekspansja ferm przemysłowych w gminach wiejskich w Polsce. Wieś i Rolnictwo 2022, 3, 81–108. [Google Scholar] [CrossRef]
- Xie, J.-H.; Tian, F.-J.; Li, X.-Y.; Chen, Y.-Q.; Li, S.-Y. A study on the influencing factors and related paths of farmer’s participation in food safety governance—Based on DEMATEL-ISM-MICMAC model. Sci. Rep. 2023, 13, 11372. [Google Scholar] [CrossRef]
- Wang, G.; Hou, Y.; Shin, C. Exploring Sustainable Development Pathways for Agri-Food Supply Chains Empowered by Cross-Border E-Commerce Platforms: A Hybrid Grounded Theory and DEMATEL-ISM-MICMAC Approach. Foods 2023, 12, 3916. [Google Scholar] [CrossRef] [PubMed]
- Xing, Y.; Meng, W.; Zhou, J.; Hu, F.; Meng, L. DEMATEL, AISM, and MICMAC-Based Research on Causative Factors of Self-Build Housing Fire Accidents in Rural Areas of China. Fire 2023, 6, 179. [Google Scholar] [CrossRef]
- Alqershy, M.T.; Shi, Q. Barriers to Social Responsibility Implementation in Belt and Road Mega Infrastructure Projects: A Hybrid Fuzzy DEMATEL-ISM-MICMAC Approach. Buildings 2023, 13, 1561. [Google Scholar] [CrossRef]
- Xing, M.; Luo, X.; Zan, Y.; Yang, L.; Jin, H.; Luo, J. Identification of factors affecting hoisting quality of large offshore structures and analysis of their coupling relationship based on grey-DEMATEL-ISM-MICMAC. Ocean Eng. 2023, 280, 114805. [Google Scholar] [CrossRef]
- Zhu, X.; Liang, Y.; Xiao, Y.; Xiao, G.; Deng, X. Identification of Key Brittleness Factors for the Lean–Green Manufacturing System in a Manufacturing Company in the Context of Industry 4.0, Based on the DEMATEL-ISM-MICMAC Method. Processes 2023, 11, 499. [Google Scholar] [CrossRef]
- Feng, X.; Li, E.; Li, J.; Wei, C. Critical influencing factors of employees’ green behavior: Three-stage hybrid fuzzy DEMATEL–ISM–MICMAC approach. Environ. Dev. Sustain. 2023. [Google Scholar] [CrossRef]
- Zhang, J.; Zeng, Y.; Reniers, G.; Liu, J. Analysis of the Interaction Mechanism of the Risk Factors of Gas Explosions in Chinese Underground Coal Mines. Int. J. Environ. Res. Public Health 2022, 19, 1002. [Google Scholar] [CrossRef]
- Yang, J.; Luo, B.; Zhao, C.; Zhang, H. Artificial intelligence healthcare service resources adoption by medical institutions based on TOE framework. Digit. Health 2022, 8. [Google Scholar] [CrossRef]
- Han, Y.; Deng, Y. An enhanced fuzzy evidential DEMATEL method with its application to identify critical success factors. Soft Comput. 2018, 22, 5073–5090. [Google Scholar] [CrossRef]
- Ginda, G. Methods of Pairwise Comparison in Construction and Related Fields; Dolnośląskie Wydawnictwo Edukacyjne: Wrocław, Poland, 2015. [Google Scholar]
- Biogas. Production and Use. 2023. Available online: http://www.mae.com.pl/files/poradnik_biogazowy_mae.pdf (accessed on 8 July 2023).
- Stürmer, B.; Leiers, D.; Anspach, V.; Brügging, E.; Scharfy, D.; Wissel, T. Agricultural biogas production: A regional comparison of technical parameters. Renew. Energy 2021, 164, 171–182. [Google Scholar] [CrossRef]
- Struktura Stad Mlecznych. 2023. Available online: https://www.topagrar.pl/articles/organizacja-produkcji-bydla/ile-jest-krow-w-polsce-liczba-i-wielkosc-stad-bydla-mlecznego/ (accessed on 27 July 2023).
- Raven, R.P.; Gregersen, K.H. Biogas plants in Denmark: Successes and setbacks. Renew. Sustain. Energy Rev. 2007, 11, 116–132. [Google Scholar] [CrossRef]
- Why Biogas Plants would Bring Huge Benefits to Poland. Available online: https://www.gramwzielone.pl/bioenergia/10699/dlaczego-biogazownie-przynioslyby-polsce-ogromne-korzysci (accessed on 10 August 2023).
- Mielczarski, W. Renewable energy sources as an element of the New Green Deal. Odnawialne źródła energii jako element Nowego Zielonego Ładu. ACADEMIA-Mag. Pol. Akad. Nauk 2021, 1, 84–87. [Google Scholar]
- Holewa-Rataj, J.; Kukulska-Zając, E. Agricultural biogas in Poland—Production and possibilities of use. Biogaz rolniczy w Polsce–produkcja i możliwości wykorzystania. Nafta-Gaz 2022, 12, 872–877. [Google Scholar] [CrossRef]
- Piechota, G.; Igliński, B. Biomethane in Poland—Current Status, potential, perspective and development. Energies 2021, 14, 1517. [Google Scholar] [CrossRef]
- Wojtowicz, R. Analysis of the possibility of powering certified gas devices with treated agricultural biogas. Analiza możliwości zasilania certyfikowanych urządzeń gazowych uzdatnionym biogazem rolniczym. Nafta-Gaz 2022, 8, 608–617. [Google Scholar] [CrossRef]
- Wróblewska, A. The impact of the components of pre-treated biogas on elements of gas networks and installations. Wpływ składników wstępnie uzdatnionego biogazu na elementy sieci i instalacji gazowych. Nafta-Gaz 2022, 11, 815–826. [Google Scholar] [CrossRef]
- Siekierski, M.; Ryś, P.; Wieczorek, A. Energy generation—Hydrogen technologies. Hydrogen from biomass and waste. Pozyskiwanie energii–technologie wodorowe. Wodór z biomasy i odpadów. MAZOWSZE Stud. Reg. 2023, 44, 47–62. [Google Scholar] [CrossRef]
- Kazimierowicz, J.; Dębowski, M.; Zieliński, M. Progress and Challenges in Biohydrogen Production. Energies 2022, 15, 5413. [Google Scholar] [CrossRef]
- Klimek, K.; Kapłan, M.; Syrotyuk, S.; Bakach, N.; Kapustin, N.; Konieczny, R.; Wałowski, G. Investment model of agricultural biogas plants for individual farms in Poland. Energies 2021, 14, 7375. [Google Scholar] [CrossRef]
- Support for the Construction of Agricultural Biogas Plants and Small Water Power Plants. Available online: https://www.gov.pl/web/rolnictwo/wsparcie-na-budowe-biogazowni-rolniczych-i-malych-elektrowni-wodnych (accessed on 10 August 2023).





| Item | Unit | 2020 | 2022 |
|---|---|---|---|
| Number of biogas plants | pieces | 109 | 137 |
| Total biogas capacity Average per installation | [k Nm3] | 466,949 4284 | 539,571 3938 |
| Total substrate consumption Average per installation | Mg | 4,409,054 40,450 | 4,912,454 35,857 |
| Total installed electrical power Average per installation | MW | 117,980 0.983 | 141,670 1034 |
| Electricity produced * Average per installation | MWh | 508,381 4664 | - - |
| No. | Item | Substrates Mass [Mg] | |
|---|---|---|---|
| 2020 | 2021 | ||
| 1 | Distillery decoction | 759,774 | 932,499 |
| 2 | Residues from fruits and vegetables | 706,945 | 734,356 |
| 3 | Slurry | 759,774 | 805,940 |
| 4 | Corn silage | 491,870 | 550,560 |
| 5 | Technological sludge from the agri-food industry | 227,148 | 413,766 |
| 6 | Food processing waste | 344,329 | 402,309 |
| 7 | Beet pulp | 209,816 | 205,963 |
| 8 | Expired food | 117,184 | 146,142 |
| 9 | Waste from the dairy industry | 132,911 | 134,911 |
| 10 | Manure | 91,681 | 91,076 |
| Sum 1–10 | 3,749,750 | 4,326,446 | |
| The sum of all substrates | 4,409,054 | 4,912,454 | |
| Sum 1–10/Sum of all substrates | 85% | 88% | |
| Power of Generator Sets MW | Number of Biogas Plants Per Day | |||
|---|---|---|---|---|
| 31 December 2020 | 31 December 2022 | |||
| Number | % | Number | % | |
| <0.250 | 4 | 3.67 | 4 | 2.94 |
| 0.251–0.500 | 17 | 15.60 | 27 | 19.85 |
| 0.501–0.750 | 9 | 8.26 | 11 | 8.09 |
| 0.751–1.000 | 40 | 36.70 | 51 | 37.50 |
| 1.001–1.250 | 11 | 10.09 | 13 | 9.56 |
| 1.251–1.500 | 3 | 2.75 | 3 | 2.21 |
| 1.501–2.000 | 17 | 15.60 | 18 | 13.24 |
| >2.001 | 8 | 7.34 | 9 | 6.62 |
| Total | 109 | 100.00 | 136 | 100.00 |
| Group | Voivodship | Population Density [people/km2] | Number of Biogas Plants in the Year | |
|---|---|---|---|---|
| 2020 | 2022 | |||
| I | Małopolskie | 222 | 2 | 2 |
| Śląskie | 371 | 2 | 2 | |
| Podkarpackie | 119 | 3 | 6 | |
| II | Łódzkie | 137 | 5 | 8 |
| Mazowieckie | 150 | 7 | 12 | |
| Lubelskie | 85 | 8 | 8 | |
| III | Podlaskie | 59 | 8 | 11 |
| Wielkopolskie | 117 | 12 | 17 | |
| Kujawsko-pomorskie | 116 | 6 | 6 | |
| Pomorskie | 126 | 11 | 12 | |
| Warmińsko-mazurskie | 60 | 16 | 16 | |
| Zachodniopomorskie | 75 | 14 | 15 | |
| IV | Lubuskie | 73 | 3 | 8 |
| Dolnośląskie | 146 | 10 | 10 | |
| Opolskie | 106 | 1 | 2 | |
| Świętokrzyskie | 107 | 1 | 1 | |
| Poland | 121 | 109 | 136 | |
| Factors | G | O | P | R | S | T | Total |
|---|---|---|---|---|---|---|---|
| G | 0 | 0 | 3 | 1 | 3 | 3 | 10 |
| O | 1 | 0 | 1 | 0 | 3 | 3 | 8 |
| P | 0 | 0 | 0 | 0 | 3 | 3 | 6 |
| R | 0 | 0 | 0 | 0 | 1 | 0 | 1 |
| S | 0 | 3 | 0 | 3 | 0 | 3 | 9 |
| T | 0 | 3 | 1 | 3 | 2 | 0 | 9 |
| λ= | 10 | ||||||
| Factors | G | O | P | R | S | T |
|---|---|---|---|---|---|---|
| G | 0.0506 | 0.5058 | 0.1510 | 0.5109 | 0.5338 | 0.5524 |
| O | 0.0473 | 0.4731 | 0.1716 | 0.4878 | 0.4765 | 0.5005 |
| P | 0.0384 | 0.3841 | 0.1150 | 0.3880 | 0.3301 | 0.3503 |
| R | 0.0065 | 0.0650 | 0.0155 | 0.0657 | 0.0467 | 0.0701 |
| S | 0.0650 | 0.3504 | 0.1547 | 0.3569 | 0.4670 | 0.4011 |
| T | 0.0630 | 0.3299 | 0.1285 | 0.3362 | 0.4334 | 0.4664 |
| Factors | G | O | P | R | S | T | Total |
|---|---|---|---|---|---|---|---|
| G | 0.0506 | 0.5058 | 0.4510 | 0.6109 | 0.8338 | 0.8524 | 3.3045 |
| O | 0.0473 | 0.4731 | 0.2716 | 0.4878 | 0.7765 | 0.8005 | 2.9568 |
| P | 0.0384 | 0.3841 | 0.1150 | 0.3880 | 0.6301 | 0.6503 | 2.2058 |
| R | 0.0065 | 0.0650 | 0.0155 | 0.0657 | 0.1467 | 0.0701 | 0.3695 |
| S | 0.0650 | 0.6504 | 0.1547 | 0.6569 | 0.4670 | 0.7011 | 2.6952 |
| T | 0.0630 | 0.6299 | 0.2285 | 0.6362 | 0.6334 | 0.4664 | 2.6575 |
| Total | 0.3708 | 2.7085 | 1.2362 | 2.8456 | 3.4874 | 3.5409 | - |
| Factor | G | O | P | R | S | T |
|---|---|---|---|---|---|---|
| G | 0 | 0.5058 | 0.4510 | 0.6109 | 0.8338 | 0.8524 |
| O | 0 | 0 | 0 | 0.4878 | 0.7765 | 0.8005 |
| P | 0 | 0.3841 | 0 | 0.3880 | 0.6301 | 0.6503 |
| R | 0 | 0 | 0 | 0 | 0 | 0 |
| S | 0 | 0 | 0 | 0.6569 | 0 | 0.7011 |
| T | 0 | 0 | 0 | 0 | 0 | 0 |
| Factor | D | R | Item | Relation | Relationship | Role |
|---|---|---|---|---|---|---|
| G | 3.3045 | 0.3708 | 3.6753 | 2.9336 | weak | P1 |
| O | 2.9568 | 2.7085 | 5.6653 | 0.2484 | strong | N/P3 |
| P | 2.2058 | 1.2362 | 3.4420 | 0.9696 | weak | P2 |
| R | 0.3695 | 2.8456 | 3.2151 | −2.4760 | weak | S1 |
| S | 2.6952 | 3.4874 | 6.1825 | −0.7922 | strong | S3 |
| T | 2.6575 | 3.5409 | 6.1984 | −0.8834 | strong | S2 |
Disclaimer/Publisher’s Note: The statements, opinions and data contained in all publications are solely those of the individual author(s) and contributor(s) and not of MDPI and/or the editor(s). MDPI and/or the editor(s) disclaim responsibility for any injury to people or property resulting from any ideas, methods, instructions or products referred to in the content. |
© 2023 by the authors. Licensee MDPI, Basel, Switzerland. This article is an open access article distributed under the terms and conditions of the Creative Commons Attribution (CC BY) license (https://creativecommons.org/licenses/by/4.0/).
Share and Cite
Ginda, G.; Szyba, M. Identification of Key Factors for the Development of Agricultural Biogas Plants in Poland. Energies 2023, 16, 7779. https://doi.org/10.3390/en16237779
Ginda G, Szyba M. Identification of Key Factors for the Development of Agricultural Biogas Plants in Poland. Energies. 2023; 16(23):7779. https://doi.org/10.3390/en16237779
Chicago/Turabian StyleGinda, Grzegorz, and Marta Szyba. 2023. "Identification of Key Factors for the Development of Agricultural Biogas Plants in Poland" Energies 16, no. 23: 7779. https://doi.org/10.3390/en16237779
APA StyleGinda, G., & Szyba, M. (2023). Identification of Key Factors for the Development of Agricultural Biogas Plants in Poland. Energies, 16(23), 7779. https://doi.org/10.3390/en16237779

