Deep-Reinforcement-Learning-Based Low-Carbon Economic Dispatch for Community-Integrated Energy System under Multiple Uncertainties
Abstract
:1. Introduction
2. Plant Model
2.1. Environmental Model
2.1.1. Electricity–Gas Coupling Model on the Energy Supply Side
- (1)
- Gas turbine model
- (2)
- P2G equipment model
2.1.2. Electric–Cooling Coupling Model on the Energy Supply Side
2.1.3. Energy Storage Device Model on the Energy Storage Side
2.1.4. Demand Response Model Based on User’s Willingness on the Energy Demand Side
- (1)
- Curtailable electric/gas load model in DRUW
- (2)
- shiftable electric/gas load model in DRUW
2.1.5. Community Electric Vehicle Model on the Energy Demand Side
2.2. Agent Model
2.2.1. Markov Decision Process for CIES Dispatch
2.2.2. SAC Deep Reinforcement Learning Algorithm
2.2.3. Agent Observation Space
2.2.4. Agent Action Space
2.2.5. Agent Reward Function
- (1)
- CIES revenue from electricity sales
- (2)
- CIES revenue from gas sales
- (3)
- Cost of gas turbine pollution emissions
- (4)
- Cost of Carbon trading
- (5)
- Cost of purchasing electricity/gas
- (6)
- Cost of dispatch curtailable electric/gas load
- (7)
- Cost of dispatch shiftable electric/gas load
3. Model Training
3.1. Construction of the Training Scenario Set
3.2. Construction of the Training Scenario Set
4. Case Studies
4.1. Experimental Setup
4.2. Simulation Results
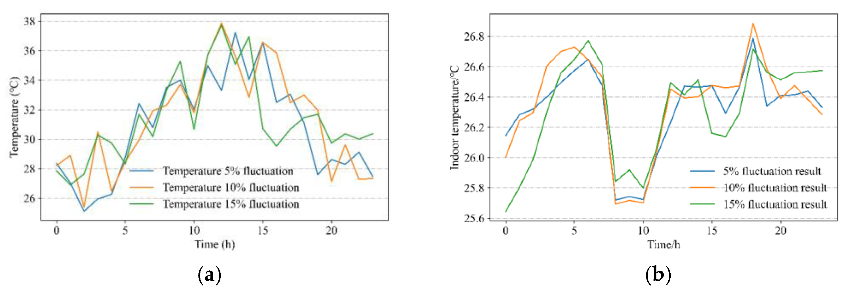
4.3. Generalization Performance Analysis under Source and Load Uncertain Scenarios
4.4. Generalization Performance Analysis under Outdoor Temperature Uncertain Scenarios
4.5. Generalization Performance Analysis under Uncertain Scenarios of Electric Vehicle Trips
5. Conclusions
Author Contributions
Funding
Data Availability Statement
Acknowledgments
Conflicts of Interest
References
- Wang, C.S.; Lv, C.X.; Li, P.; Song, G.Y.; Li, S.Q.; Xu, X.D.; Wu, J.Z. Modeling and optimal operation of community integrated energy systems: A case study from China. Appl. Energy 2018, 230, 1242–1254. [Google Scholar] [CrossRef]
- Zhou, Y.Z.; Wei, Z.N.; Sun, G.Q.; Cheung, K.W.; Zang, H.X.; Chen, S. A robust optimization approach for integrated community energy system in energy and ancillary service markets. Energy 2018, 148, 1–15. [Google Scholar] [CrossRef]
- Li, Y.; Wang, B.; Yang, Z.; Li, J.Z.; Chen, C. Hierarchical stochastic scheduling of multi-community integrated energy systems in uncertain environments via Stackelberg game. Appl. Energy 2022, 308, 118392. [Google Scholar] [CrossRef]
- Zhang, Y.Y.; Zhao, H.R.; Li, B.K.; Wang, X.J. Research on dynamic pricing and operation optimization strategy of integrated energy system based on Stackelberg game. Int. J. Electr. Power Energy Syst. 2022, 143, 108446. [Google Scholar] [CrossRef]
- Yang, S.B.; Tan, Z.F.; Zhou, J.H.; Xue, F.; Gao, H.D.; Lin, H.Y.; Zhou, F.A. A two-level game optimal dispatching model for the park integrated energy system considering Stackelberg and cooperative games. Int. J. Electr. Power Energy Syst. 2021, 130, 106959. [Google Scholar] [CrossRef]
- Gao, H.; Li, Z.S. A Benders Decomposition Based Algorithm for Steady-State Dispatch Problem in an Integrated Electricity-Gas System. IEEE Trans. Power Syst. 2021, 36, 3817–3820. [Google Scholar] [CrossRef]
- Luo, X.J.; Fong, K.F. Development of integrated demand and supply side management strategy of multi-energy system for residential building application. Appl. Energy 2019, 242, 570–587. [Google Scholar] [CrossRef]
- Li, P.; Wang, Z.X.; Wang, N.; Yang, W.H.; Li, M.Z.; Zhou, X.C.; Yin, Y.X.; Wang, J.H.; Guo, T.Y. Stochastic robust optimal operation of community integrated energy system based on integrated demand response. Int. J. Electr. Power Energy Syst. 2021, 128, 106735. [Google Scholar] [CrossRef]
- Liu, G.; Qin, Z.F.; Diao, T.Y.; Wang, X.W.; Wang, P.M.; Bai, X.Q. Low carbon economic dispatch of biogas-wind-solar renewable energy system based on robust stochastic optimization. Int. J. Electr. Power Energy Syst. 2022, 139, 108069. [Google Scholar] [CrossRef]
- Yan, R.J.; Wang, J.J.; Wang, J.H.; Tian, L.; Tang, S.Q.; Wang, Y.W.; Zhang, J.; Cheng, Y.L.; Li, Y. A two-stage stochastic-robust optimization for a hybrid renewable energy CCHP system considering multiple scenario-interval uncertainties. Energy 2022, 247, 123498. [Google Scholar] [CrossRef]
- Li, X.Q.; Zhang, L.Z.; Wang, R.Q.; Sun, B.; Xie, W.J. Two-Stage Robust Optimization Model for Capacity Configuration of Biogas-Solar-Wind Integrated Energy System. IEEE Trans. Ind. Appl. 2023, 59, 662–675. [Google Scholar] [CrossRef]
- Shuvo, S.S.; Yilmaz, Y. Home Energy Recommendation System (HERS): A Deep Reinforcement Learning Method Based on Residents' Feedback and Activity. IEEE Trans. Smart Grid 2022, 13, 2812–2821. [Google Scholar] [CrossRef]
- Lu, R.Z.; Bai, R.C.; Luo, Z.; Jiang, J.H.; Sun, M.Y.; Zhang, H.T. Deep reinforcement learning-based demand response for smart facilities energy management. IEEE Trans. Ind. Electron. 2021, 69, 8554–8565. [Google Scholar] [CrossRef]
- Ren, M.F.; Liu, X.F.; Yang, Z.L.; Zhang, J.H.; Guo, Y.J.; Jia, Y.B. A novel forecasting based scheduling method for household energy management system based on deep reinforcement learning. Sustain. Cities Soc. 2022, 76, 103207. [Google Scholar] [CrossRef]
- Lai, B.C.; Chiu, W.Y.; Tsai, Y.P. Multiagent Reinforcement Learning for Community Energy Management to Mitigate Peak Rebounds Under Renewable Energy Uncertainty. IEEE Trans. Emerg. Top. Comput. Intell. 2022, 6, 568–579. [Google Scholar] [CrossRef]
- Ye, Y.J.; Qiu, D.W.; Wu, X.D.; Strbac, G.; Ward, J. Model-Free Real-Time Autonomous Control for a Residential Multi-Energy System Using Deep Reinforcement Learning. IEEE Trans. Smart Grid. 2020, 11, 3068–3082. [Google Scholar] [CrossRef]
- Ding, H.Y.; Xu, Y.; Hao, B.C.S.; Li, Q.Q.; Lentzakis, A. A safe reinforcement learning approach for multi-energy management of smart home. Electr. Power Syst. Res. 2022, 210, 108120. [Google Scholar] [CrossRef]
- Xue, X.; Wang, J.X.; Zhang, Y.; Yong, W.Z.; Qi, J.; Li, H.T. Model-data-event based community integrated energy system low-carbon economic scheduling. Renew. Sustain. Energy Rev. 2023, 182, 113379. [Google Scholar] [CrossRef]
- Qiu, Y.; Zhou, S.Y.; Xia, D.; Gu, W.; Sun, K.Y.; Han, G.Y.; Zhang, K.; Lv, H.K. Local integrated energy system operational optimization considering multi-type uncertainties: A reinforcement learning approach based on improved TD3 algorithm. IET Renew. Power Gener. 2023, 17, 2236–2256. [Google Scholar] [CrossRef]
- Hong, S.H.; Lee, H.S. Robust Energy Management System with Safe Reinforcement Learning Using Short-Horizon Forecasts. IEEE Trans. Smart Grid. 2023, 14, 2485–2488. [Google Scholar] [CrossRef]
- Liu, Y.; Liu, T.Y. Research on System Planning of Gas-Power Integrated System Based on Improved Two-Stage Robust Optimization and Non-Cooperative Game Method. IEEE Access 2021, 9, 79169–79181. [Google Scholar] [CrossRef]
- Li, G.Q.; Zhang, R.F.; Jiang, T.; Chen, H.H.; Bai, L.Q.; Li, X.J. Security-constrained bi-level economic dispatch model for integrated natural gas and electricity systems considering wind power and power-to-gas process. Appl. Energy 2017, 194, 696–704. [Google Scholar] [CrossRef]
- Sun, G.Q.; Qian, W.H.; Huang, W.J.; Xu, Z.; Fu, Z.X.; Wei, Z.N.; Chen, S. Stochastic Adaptive Robust Dispatch for Virtual Power Plants Using the Binding Scenario Identification Approach. Energies 2019, 12, 1918. [Google Scholar] [CrossRef]
- Li, Y.; Zou, Y.; Tan, Y.; Cao, Y.J.; Liu, X.D.; Shahidehpour, M.; Tian, S.M.; Bu, F.P. Optimal Stochastic Operation of Integrated Low-Carbon Electric Power, Natural Gas, and Heat Delivery System. IEEE Trans. Sustain. Energy 2018, 9, 273–283. [Google Scholar] [CrossRef]
- Zhang, B.; Hu, W.H.; Cao, D.; Huang, Q.; Chen, Z.; Blaabjerg, F. Deep reinforcement learning-based approach for optimizing energy conversion in integrated electrical and heating system with renewable energy. Energy Convers. Manag. 2019, 202, 112199. [Google Scholar] [CrossRef]
- Dong, J.; Wang, H.X.; Yang, J.Y.; Lu, X.Y.; Gao, L.; Zhou, X.R. Optimal Scheduling Framework of Electricity-Gas-Heat Integrated Energy System Based on Asynchronous Advantage Actor-Critic Algorithm. IEEE Access 2021, 9, 139685–139696. [Google Scholar] [CrossRef]
- Zhang, B.; Hu, W.H.; Cao, D.; Huang, Q.; Chen, Z.; Blaabjerg, F. Economical operation strategy of an integrated energy system with wind power and power to gas technology—A DRL-based approach. IET Renew. Power Gener. 2020, 14, 3292–3299. [Google Scholar] [CrossRef]
- Boutilier, C.; Dean, T.; Hanks, S. Decision-theoretic planning: Structural assumptions and computational leverage. J. Artif. Intell. Res. 1999, 11, 1–94. [Google Scholar] [CrossRef]
- Kober, J.; Bagnell, J.A.; Peters, J. Reinforcement learning in robotics: A survey. Int. J. Rob. Res. 2013, 32, 1238–1274. [Google Scholar] [CrossRef]
- Han, X.Y.; Mu, C.X.; Yan, J.; Niu, Z.Y. An autonomous control technology based on deep reinforcement learning for optimal active power dispatch. Int. J. Electr. Power Energy Syst. 2023, 145, 108686. [Google Scholar] [CrossRef]
- Xiao, B.Y.; Yang, W.W.; Wu, J.M.; Walker, P.D.; Zhang, N. Energy management strategy via maximum entropy reinforcement learning for an extended range logistics vehicle. Energy 2022, 253, 124105. [Google Scholar] [CrossRef]
- Yang, X.H.; Zhang, Z.L.; Mei, L.H.; Wang, X.P.; Deng, Y.H.; Wei, S.; Liu, X.P. Optimal configuration of improved integrated energy system based on stepped carbon penalty response and improved power to gas. Energy 2023, 263, 125985. [Google Scholar] [CrossRef]
- Mei, F.; Zhang, J.T.; Lu, J.X.; Lu, J.J.; Jiang, Y.H.; Gu, J.Q.; Yu, K.; Gan, L. Stochastic optimal operation model for a distributed integrated energy system based on multiple-scenario simulations. Energy 2021, 219, 119629. [Google Scholar] [CrossRef]
- Wang, J.J.; Huo, S.J.; Yan, R.J.; Cui, Z.H. Leveraging heat accumulation of district heating network to improve performances of integrated energy system under source-load uncertainties. Energy 2022, 252, 124002. [Google Scholar] [CrossRef]
- Wais, P. A review of Weibull functions in wind sector. Renew. Sustain. Energy Rev. 2017, 70, 1099–1107. [Google Scholar] [CrossRef]
- Ettoumi, F.Y.; Mefti, A.; Adane, A.; Bouroubi, M.Y. Statistical analysis of solar measurements in Algeria using beta distributions. Renew. Energy 2002, 26, 47–67. [Google Scholar] [CrossRef]
- Das, S.; Malakar, T. Estimating the impact of uncertainty on optimum capacitor placement in wind-integrated radial distribution system. Int. Trans. Electr. Energy Syst. 2020, 30, e12451. [Google Scholar] [CrossRef]
- Liu, D.Q. Cluster Control for EVs Participating in Grid Frequency Regulation by Using Virtual Synchronous Machine with Optimized Parameters. Appl. Sci. 2019, 9, 1924. [Google Scholar] [CrossRef]










| Parameter | Value | Parameter | Value | Parameter | Value |
|---|---|---|---|---|---|
| (kW) | 100 | (kWh) | 50 | 95% | |
| (kW) | 10 | (kWh) | 0 | 95% | |
| (kW/h) | 70 | (kWh) | 20 | 95% | |
| 0.0098 | (kWh) | 6 | 95% | ||
| 0.543 | (kW) | 30 | 95% | ||
| 0.11 | (kW) | 30 | 95% | ||
| 2 | (m3) | 50 | 2.6 | ||
| 0 | (m3) | 50 | 0.0045 | ||
| (kWh) | 100 | (kW) | 20 | 0.0038 | |
| (kWh) | 10 | (kW) | 20 | 25 | |
| (m3) | 150 | (kW) | 8 | 0.241 | |
| (m3) | 10 | (kW) | 8 |
| Time Period | Electricity Price (USD/kWh) | Natural Gas Prices (USD/m3) |
|---|---|---|
| Peak section | 0.143 | 0.043 |
| Flat section | 0.114 | 0.036 |
| Valley section | 0.086 | 0.029 |
| Time Steps per Episode | Learning Rate | Discount Factor | Batch Size | Replay Buffer Size | Soft Update Factor |
|---|---|---|---|---|---|
| 24 | 0.0003 | 0.998 | 256 | 1,000,000 | 0.005 |
| Case Index | Realization DRUW | Response Damping Coefficient | Demand Response Uncertainty Interval |
|---|---|---|---|
| 1 | × | — | — |
| 2 | √ | 1.0 | [0.5,0.6] |
| 3 | √ | 1.3 | [0.5,0.6] |
| 4 | √ | 1.0 | [0.5–0.7] |
| Case Index | Electric Load Curtailment (kWh) | Gas Load Curtailment (m3) | Demand Response Compensation Costs (USD) | Cost of Electricity/Gas Purchase (USD) | CIES Net Revenue (USD) |
|---|---|---|---|---|---|
| 1 | 0 | 0 | 0 | 183.34 | 1287.00 |
| 2 | 101.00 | 39.66 | 7.87 | 170.83 | 1368.32 |
| 3 | 2.29 | 3.35 | 2.13 | 187.55 | 1303.95 |
| 4 | 28.18 | 1.34 | 3.17 | 180.49 | 1316.06 |
| Source and Load Fluctuation Rate | Cost of Electricity Purchase (USD) | Cost of Gas Purchase (USD) | Carbon Trading Costs (USD) | Demand Response Compensation Costs (USD) | CIES Net Revenue (USD) |
|---|---|---|---|---|---|
| 5% | 65.92 | 101.41 | 3.41 | 8.06 | 1403.97 |
| 10% | 54.89 | 101.14 | 2.82 | 7.69 | 1392.19 |
| 15% | 62.76 | 102.08 | 3.37 | 7.76 | 1392.87 |
| Scenario Index | Number of Trips | Trip Time | Trip Mileage |
|---|---|---|---|
| 1 | 1 | 7:00–16:00 | 24 |
| 2 | 1 | 9:00–18:00 | 20 |
| 3 | 2 | 7:00–13:00 16:00–18:00 | 12 16 |
| Scenario Index | Net Charging Volume (kWh) | Surplus Power Storage (kWh) | CIES Net Revenue (USD) |
|---|---|---|---|
| 1 | 6.93 | 14.22 | 1368.92 |
| 2 | 5.00 | 15.18 | 1360.35 |
| 3 | 6.84 | 16.15 | 1355.24 |
Disclaimer/Publisher’s Note: The statements, opinions and data contained in all publications are solely those of the individual author(s) and contributor(s) and not of MDPI and/or the editor(s). MDPI and/or the editor(s) disclaim responsibility for any injury to people or property resulting from any ideas, methods, instructions or products referred to in the content. |
© 2023 by the authors. Licensee MDPI, Basel, Switzerland. This article is an open access article distributed under the terms and conditions of the Creative Commons Attribution (CC BY) license (https://creativecommons.org/licenses/by/4.0/).
Share and Cite
Mo, M.; Xiong, X.; Wu, Y.; Yu, Z. Deep-Reinforcement-Learning-Based Low-Carbon Economic Dispatch for Community-Integrated Energy System under Multiple Uncertainties. Energies 2023, 16, 7669. https://doi.org/10.3390/en16227669
Mo M, Xiong X, Wu Y, Yu Z. Deep-Reinforcement-Learning-Based Low-Carbon Economic Dispatch for Community-Integrated Energy System under Multiple Uncertainties. Energies. 2023; 16(22):7669. https://doi.org/10.3390/en16227669
Chicago/Turabian StyleMo, Mingshan, Xinrui Xiong, Yunlong Wu, and Zuyao Yu. 2023. "Deep-Reinforcement-Learning-Based Low-Carbon Economic Dispatch for Community-Integrated Energy System under Multiple Uncertainties" Energies 16, no. 22: 7669. https://doi.org/10.3390/en16227669
APA StyleMo, M., Xiong, X., Wu, Y., & Yu, Z. (2023). Deep-Reinforcement-Learning-Based Low-Carbon Economic Dispatch for Community-Integrated Energy System under Multiple Uncertainties. Energies, 16(22), 7669. https://doi.org/10.3390/en16227669
