Applying a 2 kW Polymer Membrane Fuel-Cell Stack to Building Hybrid Power Sources for Unmanned Ground Vehicles
Abstract
1. Introduction
2. Experimental Part
2.1. Description of the Chosen Research Platform, PIAP Patrol
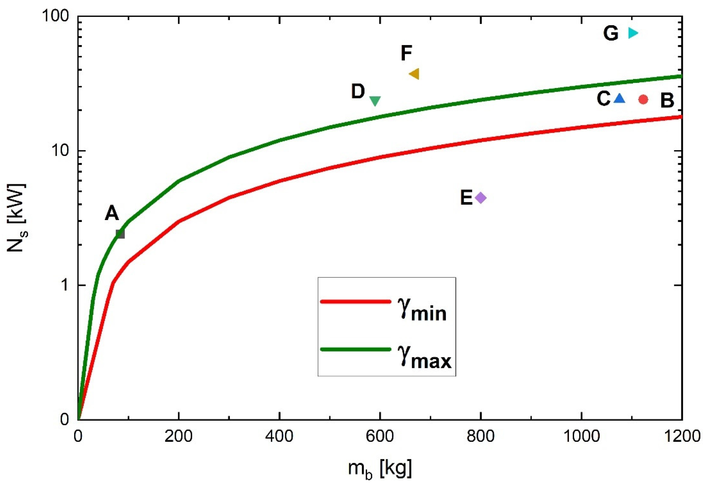
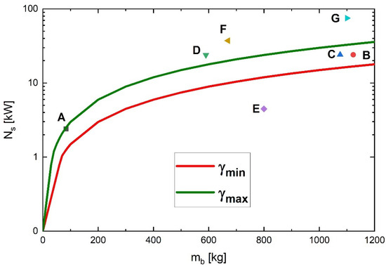
2.2. Preliminary Estimation of the Electrical Load Profile for Tracked UGVs
2.3. Measurement of Electrical Load Profile with the UGV Research Platform Moving on Different Surfaces
2.4. Energy-Efficiency Investigations of 2–5 kW PEMFC Stacks Cooled by Air and Supplied by Gaseous Hydrogen
3. Results
3.1. Investigations of the Electrical Load Profile While Moving the UGV Research Platform
3.2. Energy-Efficiency Study of the Family of 2–3 kW PEMFC Stacks
3.3. The Integrated Power Sources Involving the 2 kW PEMFC Stack and a Supercapacitor Bank
3.4. Improvement of Operating Parameters and Energy Recovery during the Performance of an Air-Cooled Stack of PEMFCs with Open Cathodes
3.5. Hybrid Power Sources Involving a PEMFC Stack and Battery Pack
3.6. The Utility of an Elaborated 2 kW PEMFC in the Propulsion Unit for the UGV Research Platform
3.7. Development of a Hydrogen Distribution-Management System for the Purpose of Electricity Production and the Needs of the PEMFC Stack
4. Conclusions
Author Contributions
Funding
Data Availability Statement
Conflicts of Interest
Abbreviations
| AC | Alternating current |
| AC–DC | Alternating current to direct current |
| AEM | Anion exchange membrane |
| BAT | Battery |
| BOP | Balance of plant |
| BLDC | Brushless DC electric motor |
| CBRN&E | Chemical, biological, radiological, nuclear, and explosive |
| DC | Direct current |
| DC–DC | Direct current to direct current |
| DC–AC | Direct current to alternating current |
| DEM | Digital elevation model |
| DoF | Degrees of freedom |
| FC | Fuel cell |
| GNSS | Global navigation satellite system |
| GPS | Global positioning system |
| GUGiK | Główny Urząd Geodezji i Kartografii (Head Office of Geodesy and Cartography) [Polish] |
| IED | Improvised explosive device |
| LIDAR | Laser imaging, detection, and ranging |
| LiIon | Lithium-ion battery |
| LiPo | Lithium-ion polymer |
| Łukasiewicz–PIAP | Łukasiewicz Research Network–Industrial Research Institute for Automation and Measurements PIAP |
| MCU | Microcontroller unit |
| NMT | Numeryczna Mapa Terenu (Digital Elevation Model) [Polish] |
| NO | Normally open |
| NC | Normally closed |
| OCV | Open-circuit voltage |
| PIAP | Przemysłowy Instytut Automatyki i Pomiarów (Industrial Research Institute for Automation and Measurements) [Polish] |
| PEM | Proton exchange membrane |
| PEMFC | Proton exchange membrane fuel cell; proton electrolyte membrane fuel cells |
| PV | Photovoltaic |
| PVC | Polyvinyl chloride |
| RTK | Real-time kinematic positioning |
| SCU | Short-circuit unit |
| SOC | State of charge |
| UAV | Unmanned aerial vehicle |
| UGV | Unmanned ground vehicle |
| X-ray | X-radiation (Röntgen radiation) |
| H2 | Hydrogen |
| jH2 | Hydrogen flux over time [m³H2/h] |
| PRMS | Root mean square electrical power [W] |
| Pavg | Average electrical power [W] |
| Pin | Input electrical power [W] |
| γ | Specific power [kW/ton] |
| γmin | Recommended minimum value specific power [kW/ton] |
| γmax | Recommended maximum value specific power [kW/ton] |
| mb | Mass of the vehicle base [ton] |
| mH2 | Mass of hydrogen [kgH2] |
| Δm | Mass of other components installed on the vehicle base [kg] |
| NS | Mechanical propulsion power [kW] |
| ULOAD | Electrical voltage drop on the load [V] |
| IBAT | Battery current [A] |
| ILOAD | Electrical load current intensity [A] |
| UPEMFC | Electrical voltage on fuel-cell stack [V] |
| VH2 | Hydrogen volume [Ndm³H2/min] |
| UBAT | Voltage on battery [V] |
| Epv | Energy yields [kWh] |
| Ea | Variation of solar radiation [W/m²] |
| C | Electrical capacitance [F] |
| I | Electrical current intensity [A] |
| P | Electrical power [W] |
| U | Electrical voltage [V] |
| t | Time [s] |
| T | Temperature [°C] |
| v | Velocity [km/h] |
| η | Electrical efficiency [%] |
References
- Krecht, R.; Suta, A.; Tóth, Á.; Ballagi, Á. Towards the resilience quantification of (military) unmanned ground vehicles. Clean. Eng. Technol. 2023, 14, 100644. [Google Scholar] [CrossRef]
- Rose, M. Technology Development for Army Unmanaged Ground Vehicles; National Academy of Science: Washington, DC, USA, 2002. [Google Scholar]
- Bishop, R. A survey of intelligent vehicle applications worldwide. In Proceedings of the IEEE Intelligent Vehicles Symposium 2000 (Cat. No. 00TH8511), Dearborn, MI, USA, 5 October 2000; IEEE: Piscataway, NJ, USA, 2000; pp. 25–30. [Google Scholar]
- Mirzapour, O.; Rui, X.; Sahraei-Ardakani, M. Transmission impedance control impacts on carbon emissions and renewable energy curtailment. Energy 2023, 278, 127741. [Google Scholar] [CrossRef]
- Chen, H.Y.; Zhang, Y. An overview of research on military unmanned ground vehicles. Binggong Xuebao/Acta Armamentarii 2014, 35, 1696–1706. [Google Scholar] [CrossRef]
- Sivaraman, S.; Trivedi, M.M. Looking at vehicles on the road: A survey of vision-based vehicle detection, tracking, and behavior analysis. IEEE Trans. Intell. Transp. Syst. 2013, 14, 1773–1795. [Google Scholar] [CrossRef]
- Hu, X.; Assaad, R.H. The use of unmanned ground vehicles (mobile robots) and unmanned aerial vehicles (drones) in the civil infrastructure asset management sector: Applications, robotic platforms, sensors, and algorithms. Expert Syst. Appl. 2023, 232, 120897. [Google Scholar] [CrossRef]
- Han, Y.; Wang, B.; Guan, T.; Tian, D.; Yang, G.; Wei, W.; Tang, H.; Chuah, J.H. Research on Road Environmental Sense Method of Intelligent Vehicle Based on Tracking Check. IEEE Trans. Intell. Transp. Syst. 2022, 24, 1261–1275. [Google Scholar] [CrossRef]
- Chen, Y. Research on collaborative innovation of key common technologies in new energy vehicle industry based on digital twin technology. Energy Rep. 2022, 8, 15399–15407. [Google Scholar] [CrossRef]
- Min, C.; Pan, Y.; Dai, W.; Kawsar, I.; Li, Z.; Wang, G. Trajectory optimization of an electric vehicle with minimum energy consumption using inverse dynamics model and servo constraints. Mech. Mach. Theory 2023, 181, 105185. [Google Scholar] [CrossRef]
- Farooq, M.U.; Eizad, A.; Bae, H.-K. Power solutions for autonomous mobile robots: A survey. Robot. Auton. Syst. 2023, 159, 104285. [Google Scholar] [CrossRef]
- McNulty, D.; Hennessy, A.; Li, M.; Armstrong, E.; Ryan, K.M. A review of Li-ion batteries for autonomous mobile robots: Perspectives and outlook for the future. J. Power Sources 2022, 545, 231943. [Google Scholar] [CrossRef]
- Orhan, M.F.; Saka, K.; Yousuf, M. Design and Optimization of Fuel Cells: A Case Study on Polymer Electrolyte Membrane Fuel Cell Power Systems for Portable Applications. Adv. Polym. Technol. 2022, 2022, 6568456. [Google Scholar] [CrossRef]
- Çalışır, D.; Ekici, S.; Midilli, A.; Hikmet Karakoc, T. Benchmarking environmental impacts of power groups used in a designed UAV: Hybrid hydrogen fuel cell system versus lithium-polymer battery drive system. Energy 2023, 262, 125543. [Google Scholar] [CrossRef]
- Hagen, A.; Wulff, A.C.; Zielke, P.; Sun, X.; Talic, B.; Ritucci, I.; Frandsen, H.L.; Jensen, S.H.; Kiebach, W.R.; Hendriksen, P.V. SOFC stacks for mobile applications with excellent robustness towards thermal stresses. Int. J. Hydrogen Energy 2020, 45, 29201–29211. [Google Scholar] [CrossRef]
- Huang, Q.; Jiang, S.; Wang, Y.; Jiang, J.; Chen, Y.; Xu, J.; Qiu, H.; Su, C.; Chen, D. Highly active and durable triple conducting composite air electrode for low-temperature protonic ceramic fuel cells. Nano Res. 2023, 16, 9280–9288. [Google Scholar] [CrossRef]
- Papurello, D.; Iafrate, C.; Lanzini, A.; Santarelli, M. Trace compounds impact on SOFC performance: Experimental and modelling approach. Appl. Energy 2017, 208, 637–654. [Google Scholar] [CrossRef]
- Hu, Y.; Han, C.J.; Li, W.Y.; Hu, Q.; Wu, H.S.; Luo, Z.X. Experimental evaluation of methanol steam reforming reactor heated by catalyst combustion for kW-class SOFC. Int. J. Hydrogen Energy 2023, 48, 4649–4664. [Google Scholar] [CrossRef]
- Fang, Y.; Min, H.; Wu, X.; Wang, W.; Zhao, X.; Mao, G. On-Ramp Merging Strategies of Connected and Automated Vehicles Considering Communication Delay. IEEE Trans. Intell. Transp. Syst. 2022, 23, 15298–15312. [Google Scholar] [CrossRef]
- Xu, J.; Park, S.H.; Zhang, X.; Hu, J. The Improvement of Road Driving Safety Guided by Visual Inattentional Blindness. IEEE Trans. Intell. Transp. Syst. 2022, 23, 4972–4981. [Google Scholar] [CrossRef]
- Meldrum, J.S.; Green, C.A.; Gwaltney, G.D.; Bradley, S.A.; Keith, J.M.; Podlesak, T.F. Fuel-cell powered unmanned ground vehicle. In Unmanned Systems Technology IX, Proceedings of the Defense and Security Symposium, Orlando, FL, USA, 9–13 April 2007; SPIE: Bellingham, WA, USA, 2007; Volume 6561, p. 6561. [Google Scholar]
- Hwang, J.J.; Hu, J.S.; Lin, C.H. Design of a range extension strategy for power decentralized fuel cell/battery electric vehicles. Int. J. Hydrogen Energy 2015, 40, 11704–11712. [Google Scholar] [CrossRef]
- Isorna, F.; Fernandez Barranco, A.; Bogeat, J.A.; Lopez, E.; Segura, F.; Andujar, J.M. Use of unmanned fuel cell ground vehicles (UGVs) for precision agricul-ture (TecnOlivo Project). In Proceedings of the VII Symposium on Hydrogen, Fuel Cells and Advanced Batteries (HYCELTEC 2019), Barcelona, Spain, 1–3 July 2019; Available online: https://www.researchgate.net/publication/335060764 (accessed on 29 September 2023).
- Ren, P.; Pei, P.; Li, Y.; Wu, Z.; Chen, D.; Huang, S. Degradation mechanisms of proton exchange membrane fuel cell under typical automotive operating conditions. Prog. Energy Combust. Sci. 2020, 80, 100859–100903. [Google Scholar] [CrossRef]
- Chen, W.; Chen, B.; Meng, K.; Zhou, H.; Tu, Z. Experimental study on dynamic response characteristics and performance degradation mechanism of hydrogen-oxygen PEMFC during loading. Int. J. Hydrogen Energy 2023, 48, 4800-e11. [Google Scholar] [CrossRef]
- Cho, S.M.; Kim, C.; Kim, K.S.; Kim, D.K. Lightweight hydrogen storage cylinder for fuel cell propulsion systems to be applied in drones. Int. J. Press. Vessel. Pip. 2021, 194, 104428. [Google Scholar] [CrossRef]
- Li, X.; Zhu, C.; Liu, C.; Song, J.; Liu, X.; Li, J. Research on protection methods for 70 MPa on-board Type IV hydrogen storage cylinders under localized fire conditions. Int. J. Hydrogen Energy 2023, in press. [Google Scholar] [CrossRef]
- Barale, J.; Nastro, F.; Violi, D.; Rizzi, P.; Luetto, C.; Baricco, M. A metal hydride compressor for a small scale H2 refuelling station. Int. J. Hydrogen Energy 2023, 48, 34105–34119. [Google Scholar] [CrossRef]
- Yang, C.; Guo, R.; Jing, X.; Li, P.; Yuan, J.; Wu, Y. Degradation mechanism and modeling study on reversible solid oxide cell in dual-mode—A review. Int. J. Hydrogen Energy 2022, 47, 37895–37928. [Google Scholar] [CrossRef]
- Luo, L.; Chen, L.; Li, L.; Liu, S.; Li, Y.; Li, C.; Li, L.; Cui, J.; Li, Y. High-entropy alloys for solid hydrogen storage: A review. Int. J. Hydrogen Energy 2023, in press. [Google Scholar] [CrossRef]
- Shahi, R.R.; Gupta, A.K.; Kumari, P. Perspectives of high entropy alloys as hydrogen storage materials. Int. J. Hydrogen Energy 2023, 48, 21412–21428. [Google Scholar] [CrossRef]
- A New Mobile Robot PIAP PATROL®. Available online: https://piap.lukasiewicz.gov.pl/ (accessed on 25 September 2023).
- Krakówka, T.; Typiak, A.; Cader, M. Selection of Manipulator Configuration for a Portable Robot for Special Tasks. J. Autom. Mob. Robot. Intell. Syst. 2023, 16, 21–30. [Google Scholar] [CrossRef]
- Report an Analysis of, U.S. Army Unmanned Ground Vehicle Strategy; Colonel Glenn Baca United States Army. Available online: https://apps.dtic.mil/sti/pdfs/ADA568455.pdf (accessed on 18 September 2022).
- R8 INTEGRATOR 25 kW. Available online: https://argoxtv.com/intl/vehicles/r8-integrator-2 (accessed on 18 September 2022).
- R8 INTEGRATOR 20 kW. Available online: https://argoxtv.com/intl/vehicles/r8-integrator-2 (accessed on 18 September 2022).
- Available online: https://podarilove.ru/en/informaciya-o-boevyh-robotah-amerikanskie-nazemnye-boevye/ (accessed on 18 September 2022).
- Available online: https://en.topwar.ru/83913-den-innovaciy-yuvo-robototehnicheskiy-kompleks-platforma-m.html (accessed on 18 September 2022).
- Laska 2.0. Available online: https://www.army-technology.com/projects/laska-2-0-unmanned-robotic-platform/ (accessed on 1 September 2023).
- AvantGuard MK1. Available online: https://army-guide.com/eng/product4691.html (accessed on 16 September 2022).
- Dudek, M.; Raźniak, A.; Rosół, M.; Siwek, T.; Dudek, P. Design, development, and performance of a 10 kW polymer exchange membrane fuel cell stack as part of a hybrid power source designed to supply a motor glide. Energies 2020, 13, 4393. [Google Scholar] [CrossRef]
- Dudek, M.; Lis, B.; Raźniak, A.; Krauz, M.; Kawalec, M. Selected aspects of designing modular PEMFC stacks as power sources for unmanned aerial vehicles. Appl. Sci. 2021, 11, 675. [Google Scholar] [CrossRef]
- Ou, K.; Wang, Y.X.; Kim, Y.B. Performance Optimization for Open-cathode Fuel Cell Systems with Overheating Protection and Air Starvation Prevention. Fuel Cells 2017, 17, 299–307. [Google Scholar] [CrossRef]
- Zhang, C.; Liu, H.; Zeng, T.; Chen, J.; Lin, P.; Deng, P.; Liu, F.; Zheng, Y. Systematic study of short circuit activation on the performance of PEM fuel cell. Int. J. Hydrogen Energy 2021, 46, 23489–23497. [Google Scholar] [CrossRef]
- Broderick, J.; Hartner, J.; Tilbury, D.; Atkins, E. Modeling and simulation of an unmanned ground vehicle power system. In Unmanned Systems Technology XVI; Karlsen, R.E., Gage, D.W., Shoemaker, C.M., Gerhart, G.R., Eds.; SPIE: Bellingham, WA, USA, 2014; p. 908406. [Google Scholar]
- Tribioli, L.; Cozzolino, R.; Chiappini, D.; Iora, P. Energy management of a plug-in fuel cell/battery hybrid vehicle with on-board fuel processing. Appl. Energy 2016, 184, 140–154. [Google Scholar] [CrossRef]
- Xiao, C.; Wang, B.; Wang, C.; Yan, Y. Design of a novel fully-active PEMFC-Lithium battery hybrid power system based on two automatic ON/OFF switches for unmanned aerial vehicle applications. Energy Convers. Manag. 2023, 292, 117417–117435. [Google Scholar] [CrossRef]
- Verstraete, D.; Lehmkuehler, K.; Gong, A.; Harvey, J.R.; Brian, G. Characterisation of a hybrid, fuel-cell-based propulsion system for small unmanned aircraft. J. Power Sources 2014, 250, 204–211. [Google Scholar] [CrossRef]
- Gonzalez, E.J.; Cuesta, J.S.; Fernadez, F.J.V.; Lerena, F.I.; Carlini, M.A.; Bordons, C.; Hernandez, E.; Elfes, A. Experimental evaluation of a passive fuel cell/battery hybrid power system. Int. J. Hydrogen Energy 2019, 44, 1272–12782. [Google Scholar]
- Dudek, M.; Tomczyk, P.; Wygonik, P.; Korkosz, M.; Bogusz, P.; Lis, B. Hybrid Fuel Cell—Battery System as a Main Power Unit for Small Unmanned Aerial Vehicles (UAV). Int. J. Electrochem. Sci. 2013, 8, 8442–8463. [Google Scholar] [CrossRef]
- Fathabadi, H. Combining a proton exchange membrane fuel cell (PEMFC) stack with a Li-ion battery to supply the power needs of a hybrid electric vehicle. Renew. Energy 2019, 130, 714–724. [Google Scholar] [CrossRef]
- Oksuztepe, E.; Bayrak, Z.U.; Kaya, U. Effect of flight level to maximum power utilization for PEMFC/supercapacitor hybrid uav with switched reluctance motor thruster. Int. J. Hydrogen Energy 2023, 48, 11003–11016. [Google Scholar] [CrossRef]
- Renau, J.; Schanzes, S.; Lozzano, A.; Barroso, J.; Barreras, F. Analysis of the performance of a passive hybrid power plant to power a lightweight unmanned aerial vehicle for a high altitude mission. J. Power Sources 2017, 356, 124–132. [Google Scholar] [CrossRef][Green Version]
- Intelligent Energy launches 2.4 kW fuel cell module for UAVs. Fuel Cells Bull. 2019, 5, 6. Available online: https://www.sciencedirect.com/science/article/abs/pii/S1464285919301890 (accessed on 29 September 2023).
- Gao, X.; Chen, J.; Xu, R.; Zhen, Z.; Chen, X.; Cui, L. Research progress and prospect of the materials of bipolar plates for proton exchange membrane fuel cells (PEMFCs). Int. J. Hydrogen Energy 2023, in press. [Google Scholar] [CrossRef]
- Liu, R.; Jia, Q.; Zhang, B.; La, Z.; Chen, L. Protective coatings for metal bipolar plates of fuel cells: A review. Int. J. Hydrogen Energy 2022, 47, 22915–22937. [Google Scholar] [CrossRef]
- Grumm, F.; Schumann, M.; Cosse, C.; Plenz, M.; Lücken, A.; Schulz, D. Short Circuit Characteristics of PEM Fuel Cells for Grid Integration Applications. Electronics 2020, 9, 602. [Google Scholar] [CrossRef]
- Trogadas, P.; Cho, J.I.S.; Kapil, N.; Rasha, L.; Corredera, A.; Brett, D.J.L.; Coppens, M. Effect of extended short-circuiting in proton exchange membrane fuel cells. Sustain. Energy Fuels 2020, 4, 5739–5746. [Google Scholar] [CrossRef]
- Okonkwo, C.P.; Ige, O.O.; Barhoumi, E.M.; Uzoma, P.C.; Emori, W.; Benamor, A.; Abdullah, A.M. Platinum degradation mechanisms in proton exchange membrane fuel cell (PEMFC) system: A review. Int. J. Hydrogen Energy 2021, 46, 15850–15865. [Google Scholar] [CrossRef]
- Tellez-Cruz, M.M.; Escorihuela, J.; Solorza-Feria, O.; Compañ, V. Proton Exchange Membrane Fuel Cells (PEMFCs): Advances and Challenges. Polymers 2021, 13, 3064. [Google Scholar] [CrossRef]
- Baldic, J.; Osenar, P.; Lauder, N.; Launie, P. Fuel cell systems for long duration electric UAVs and UGVs. In Defense Transformation and Net-Centric Systems 2010, Proceedings of SPIE Defense, Security, and Sensing, Orlando, FL, USA, 5–9 April 2010; SPIE: Bellingham, WA, USA, 2010; Volume 7707. [Google Scholar] [CrossRef]
- Zimmermann, T.; Keil, P.; Hofmann, M.; Horsche, M.F.; Pichlmaier, S.; Jossen, A. Review of system topologies for hybrid electrical energy storage systems. J. Energy Storage 2016, 8, 78–90. [Google Scholar] [CrossRef]
- Saravanakumar, Y.; Sultan, M.T.H.; Shahar, F.H.; Giernacki, W.; Łukaszewicz, A.; Nowakowski, M.; Holovatyy, A.; Stępień, S. Power Sources for Unmanned Aerial Vehicles: A State-of-the Art. Appl. Sci. 2023, 13, 11932. [Google Scholar] [CrossRef]
- Riemer, M.; Duval-Dachary, S.; Bachmann, T.M. Environmental implications of reducing the platinum group metal loading in fuel cells and electrolysers: Anion exchange membrane versus proton exchange membrane cells. Sustain. Energy Technol. Assess. 2023, 53, 103086. [Google Scholar] [CrossRef]
- Arora, A.; Zantye, M.S.; Hasan, F.M.M. Sustainable hydrogen manufacturing via renewable-integrated intensified process for refueling stations. Appl. Energy 2022, 311, 118667. [Google Scholar] [CrossRef]
- Wang, L.; Weissbach, T.; Reissner, R.; Ansar, A.; Gago, A.S.; Holdcroft, S.; Friedrich, K.A. High Performance Anion Exchange Membrane Electrolysis Using Plasma-Sprayed, Non-Precious-Metal Electrodes. ACS Appl. Energy Mater. 2019, 11, 7903–7912. [Google Scholar] [CrossRef]




























| Dimensions in stowed position: | 98 × 57 × 65 cm (length × width × height) |
| Weight (without accessories) of the robot with manipulator and battery | 95 kg |
| Maximum speed | 8 km/h |
| Operating time (mission dependent, possibility of quick battery replacement) | 5 h |
| Maximum lift capacity | Fully extended at the front: 7 kg Close to the front: 22 kg |
| Maximum reach (horizontal)—from the vertical rotation axis | 1940 mm |
| Maximum reach (vertical)—from the lower edge of the tracks | 2170 mm |
| Number | Slope of Ground | Pavr [W] |
|---|---|---|
| 1 | 0° | 620 |
| 2 | 10° | 1100 |
| 3 | 30° | 1700 |
| Total water capacity of hydrogen tank [Ndm3] | 4 | 13.6 | 19.2 |
| VH2 compressed hydrogen [m3] | 1.14 | 3.9 | 5.5 |
| mH2 compressed [kg] | 0.09 | 0.32 | 0.45 |
| Time of hydrogen production by AEM electrolyser j = 0.5 m3/h | 2.3 | 7.8 | 11 |
| Energy needs for supplying electrolyser [kWh] | 5.5 | 18.7 | 26.4 |
| Energy needs for hydrogen compressing [kWh] | 0.26 | 0.84 | 1.29 |
| Time of operation 2 kW PEMFC stack [h] | 0.7 | 2.4 | 3.4 |
Disclaimer/Publisher’s Note: The statements, opinions and data contained in all publications are solely those of the individual author(s) and contributor(s) and not of MDPI and/or the editor(s). MDPI and/or the editor(s) disclaim responsibility for any injury to people or property resulting from any ideas, methods, instructions or products referred to in the content. |
© 2023 by the authors. Licensee MDPI, Basel, Switzerland. This article is an open access article distributed under the terms and conditions of the Creative Commons Attribution (CC BY) license (https://creativecommons.org/licenses/by/4.0/).
Share and Cite
Dudek, M.; Zarzycki, M.; Raźniak, A.; Rosół, M. Applying a 2 kW Polymer Membrane Fuel-Cell Stack to Building Hybrid Power Sources for Unmanned Ground Vehicles. Energies 2023, 16, 7531. https://doi.org/10.3390/en16227531
Dudek M, Zarzycki M, Raźniak A, Rosół M. Applying a 2 kW Polymer Membrane Fuel-Cell Stack to Building Hybrid Power Sources for Unmanned Ground Vehicles. Energies. 2023; 16(22):7531. https://doi.org/10.3390/en16227531
Chicago/Turabian StyleDudek, Magdalena, Mikołaj Zarzycki, Andrzej Raźniak, and Maciej Rosół. 2023. "Applying a 2 kW Polymer Membrane Fuel-Cell Stack to Building Hybrid Power Sources for Unmanned Ground Vehicles" Energies 16, no. 22: 7531. https://doi.org/10.3390/en16227531
APA StyleDudek, M., Zarzycki, M., Raźniak, A., & Rosół, M. (2023). Applying a 2 kW Polymer Membrane Fuel-Cell Stack to Building Hybrid Power Sources for Unmanned Ground Vehicles. Energies, 16(22), 7531. https://doi.org/10.3390/en16227531

