Experimental Investigation of the Dynamic Response of a Flat Blade with Dual Dry Friction Dampers
Abstract
:1. Introduction
2. Introduction of the Experimental System
2.1. Introduction of Blade
2.2. Loading of Centrifugal Load
2.3. Damper Specimens
2.4. Excitation and Vibration-Response Measurement System
2.5. Experimental Errors Analysis
3. Experimental Contents and Experimental Processes
3.1. Experimental Contents
3.2. Experimental Processes
- Fixing the blade on the test bench. The blade root is fully restrained by the mounting bolts. Then, the first-order natural frequency is measured. In the test process, the blade-mounting bolts need to be repeatedly tightened. The bolt torque used for installing the blade will affect its natural frequency. Therefore, in order to accurately measure the natural frequency of the blade and reduce the impact of bolt connections, it is necessary to adjust the bolt torque and ensure that the difference between the measured values of natural frequency before and after adjustment is less than 1%.
- Applying normal load on the damper. Install the different radii of the dampers between the two platforms and adjust the position of the dampers so that they are parallel to the surface of the platforms and aligned front to back. Install one end of the wire rope on the damper and the other end on the tensiometer and the turnbuckle. Adjust the tightness of the turnbuckle to change the normal load. The value is measured using the tensiometer.
- Measuring response. The FRFs of the blade in frequency range are acquired through frequency sweeps under the sinusoidal excitation. Due to the output characteristics of the exciter, the magnitude of the output force varies with the frequency of the excitation force. Therefore, a feedback loop is set up to feed the force transducer signal back to the signal generation system in real time, and the output signal is changed to control the excitation force to maintain a constant magnitude during the sweeping process. In addition, the sweeping rate will affect the measurement results [22]; thus, the frequency response curve under several sweeping rates was compared. Finally, 0.4 Hz/s was chosen as the sweeping rate for this experiment.
4. Results and Discussion
4.1. Natural Frequency Measurement
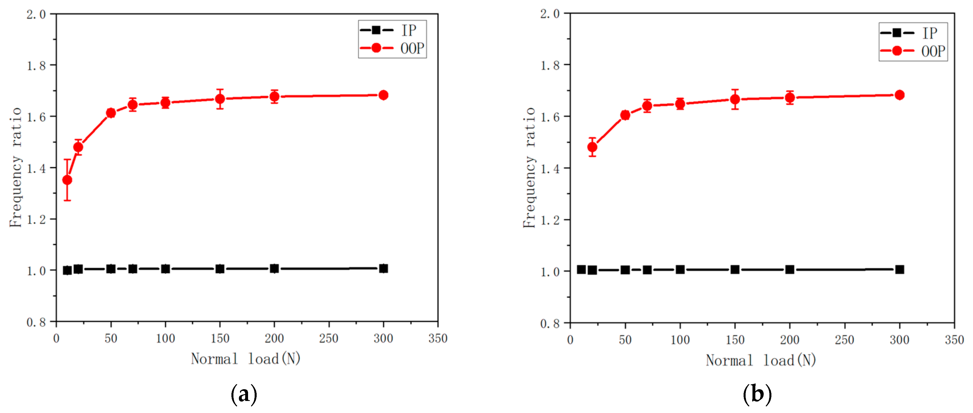
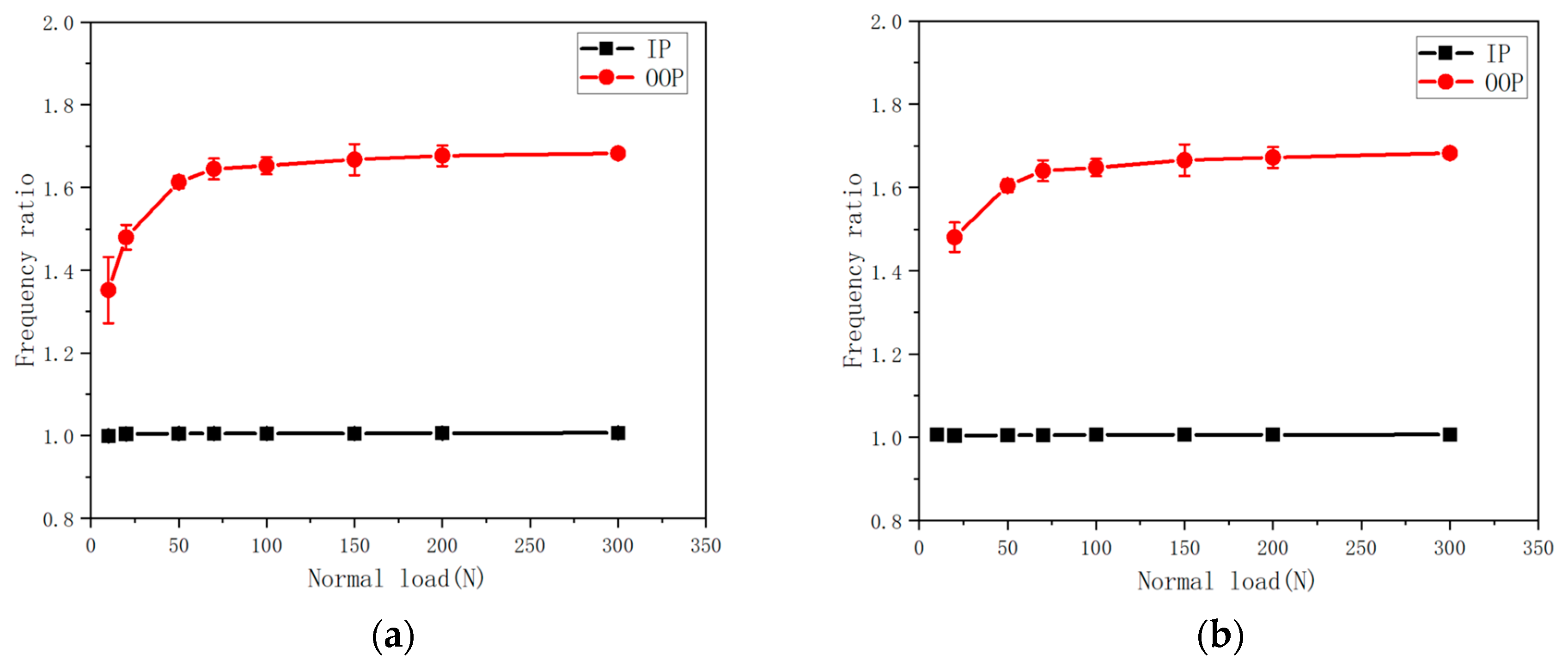
4.2. Influence of Normal Load
4.3. Influence of Excitation Force
4.4. Influence of Contact Area
4.5. Influence of Damper Position
5. Conclusions
- Normal load on the UPD has a significant influence on damping. The friction damping produced by the UPD leads to a reduction in the amplitude and an increase in the resonance frequency both in the IP and OOP modes. Compared to the IP mode, dampers are more efficient in the OOP mode.
- The variation in excitation force affects the stiffness characteristics of the system. With an increase in external excitation, the relative displacement between platforms increases, the two-blade system shows stiffness softening, and the resonance frequency gradually decreases.
- The contact area affects the damping effect of the damper. Under the same normal load condition, the larger the effective contact area between the damper and the platform, the better the damping effect of the damper.
- The damping effect of the double-layer damping system is better than that of the single-layer damping system. Under the same conditions of damper type and normal load, the upper damping ① has a wider frequency-adjustment range and lower resonance amplitude, which takes a greater share in the damping capacity.
- The experiment conducted in this study was performed using experimental blades, and to facilitate a comparative analysis of the results, certain simplifications were applied to the damper. The static test also did not consider the effect of the centrifugal stiffening effect on the stiffness of the blade system. In the future, based on this experiment, real blades should be used so that dual friction damper vibration-reduction experiments can be carried out under rotating conditions. Additionally, the study of damper wear emerges as a noteworthy avenue for future exploration. Subsequent research could delve into the repercussions of damper wear during operational service on the vibration characteristics of the overall system.
Author Contributions
Funding
Data Availability Statement
Conflicts of Interest
References
- Chiara, G.; Alfredo, F.; Teresa, B. Forced response prediction of turbine blades with flexible dampers: The impact of engineering modelling choices. Appl. Sci. 2017, 8, 34. [Google Scholar]
- Santhosh, B.; Narayanan, S.; Padmanabhan, C. Nonlinear Dynamics of Shrouded Turbine Blade System with Impact and Friction. Appl. Mech. Mater. 2015, 706, 81–92. [Google Scholar] [CrossRef]
- Zheng, D.; Liu, G.; He, S. Comparative Analysis of Rub-Impact dynamics of shrouded blades based on the bilinear hysteresis model and the Coulomb friction model. Lubricants 2022, 10, 31. [Google Scholar] [CrossRef]
- Ahmed, R.; Firrone, C.M.; Zucca, S. A test rig for the full characterization of the dynamics of shrouded turbine blades. Mech. Syst. Signal Process. 2023, 189, 110080. [Google Scholar] [CrossRef]
- Wu, Y.; Xuan, H.; Wu, C. Study on the Forced Torsional Vibration Response of Multiple Rotating Blades with Underplatform Dampers. Aerospace 2023, 10, 725. [Google Scholar] [CrossRef]
- Mitra, M.; Zucca, S.; Epureanu, B.I. Adaptive Microslip Projection for Reduction of Frictional and Contact Nonlinearities in Shrouded Blisks. J. Comput. Nonlinear Dyn. 2020, 11, 041016. [Google Scholar] [CrossRef]
- Sun, Y.; Denimal, E.; Yuan, J.; Salles, L. Geometric design of friction ring dampers in blisks using nonlinear modal analysis and Kriging surrogate model. Struct. Multidiscip. Optim. 2022, 69, 98. [Google Scholar] [CrossRef]
- Rayegani, A.; Nouri, G. Seismic collapse probability and life cycle cost assessment of isolated structures subjected to pounding with smart hybrid isolation system using a modified fuzzy based controller. Structures 2022, 44, 30–41. [Google Scholar] [CrossRef]
- Csaba, G. Forced response analysis in time and frequency domains of a tuned bladed disk with friction dampers. J. Sound Vib. 1998, 214, 395–412. [Google Scholar] [CrossRef]
- Sanliturk, K.Y.; Ewins, D.J. Modelling two-dimensional friction contact and its application using harmonic balance method. J. Sound Vib. 1996, 193, 511–523. [Google Scholar] [CrossRef]
- Yang, B.D.; Menq, C.H. Characterization of 3d contact kinematics and prediction of resonant response of structures having 3d frictional constraint. J. Sound Vib. 1998, 217, 909–925. [Google Scholar] [CrossRef]
- Yang, B.D.; Chen, J.J.; Menq, C.H. Prediction of Resonant Response of Shrouded Blades with Three-Dimensional Shroud Constraint. In Proceedings of the ASME 1998 International Gas Turbine Aeroengine Congress Exhibition, Stockholm, Sweden, 2–5 June 1998. [Google Scholar]
- Qu, Z.; Hu, D.; Chen, Z. Contact nonlinear analysis for the under-platform dampers of blade based on a frictional energy dissipation model. Structures 2021, 30, 146–155. [Google Scholar] [CrossRef]
- Wang, S.; Yang, G.; Ji, L. Multi-mode vibration attenuation of mistuned bladed disks by frictional tuned mass dampers array. J. Sound Vib. 2022, 536, 117176. [Google Scholar] [CrossRef]
- Quaegebeur, S.; Chouvion, B.; Thouverez, F. Nonlinear dynamic analysis of three-dimensional bladed-disks with frictional contact interfaces based on cyclic reduction strategies. Int. J. Solids Struct. 2022, 236, 111277. [Google Scholar] [CrossRef]
- Pourkiaee, S.M.; Zucca, S.; Parker, R.G. Relative cyclic component mode synthesis: A reduced order modeling approach for mistuned bladed disks with friction interfaces. Mech. Syst. Signal Process. 2022, 163, 108197. [Google Scholar] [CrossRef]
- Gastaldi, C.; Gola, M.M. Nonlinear Damper-Blade Coupling Calculations Reduced to Essentials. J. Eng. Gas Turbines Power 2023, 145, 012016. [Google Scholar] [CrossRef]
- Koh, K.H.; Griffin, J.H. Dynamic Behavior of Spherical Friction Dampers and Its Implication to Damper Contact Stiffness. J. Eng. Gas. Turbines Power 2007, 129, 749–760. [Google Scholar] [CrossRef]
- Sanliturk, K.Y.; Ewins, D.J.; Stanbridge, A.B. Underplatform Dampers for Turbine Blades: Theoretical Modeling, Analysis, and Comparison With Experimental Data. J. Eng. Gas. Turbines Power 2001, 123, 919–929. [Google Scholar] [CrossRef]
- Pesaresi, L.; Salles, L.; Jones, A.; Green, J.; Schwingshackl, C. Modelling the nonlinear behaviour of an underplatform damper test rig for turbine applications. Mech. Syst. Signal Process. 2017, 85, 662–679. [Google Scholar] [CrossRef]
- Firrone, C.M.; Botto, D.; Gola, M.M. Modelling a Friction Damper: Analysis of the Experimental Data and Comparison with Numerical Results. In Proceedings of the 8th Biennial Asme Conference on Eng Syst Des Anal, Torino, Italy, 4–7 July 2006. [Google Scholar]
- Zhang, D.; Gao, B.; Hong, J.; Fu, J.; Ge, X. Experimental investigation on dynamic response of flat blades with underplatform dampers. Chin. J. Aeronaut. 2019, 32, 12. [Google Scholar] [CrossRef]
- Ferhatoglu, E.; Gastaldi, C.; Botto, D. An experimental and computational comparison of the dynamic response variability in a turbine blade with under-platform dampers. Mech. Syst. Signal Process. 2022, 172, 108987. [Google Scholar] [CrossRef]
- Yuan, J.; Fantetti, A.; Denimal, E. Propagation of friction parameter uncertainties in the nonlinear dynamic response of turbine blades with underplatform dampers. Mech. Syst. Signal Process. 2021, 156, 107673. [Google Scholar] [CrossRef]
- Mehrdad Pourkiaee, S.; Berruti, T.; Zucca, S. Experimental and numerical assessment of mistuning effects on vibratory response of a bladed disk with underplatform dampers. J. Eng. Gas. Turbines Power 2021, 143, 031010. [Google Scholar] [CrossRef]
- Hoffmann, T.; Panning-von Scheidt, L.; Wallaschek, J. Measured and simulated forced response of a rotating turbine disk with asymmetric and cylindrical underplatform dampers. J. Eng. Gas. Turbines Power 2020, 142, 051002. [Google Scholar] [CrossRef]
- Laxalde, D.; Gibert, C.; Thouverez, F. Experimental and Numerical Investigations of Friction Rings Damping of Blisks. In Proceedings of the ASME Turbo Expo, Berlin, Germany, 9–13 June 2008. [Google Scholar]
- Bessone, A.; Toso, F.; Berruti, T. Investigation on the Dynamic Response of Blades with Asymmetric Under Platform Dampers. In Proceedings of the ASME Turbo Expo, Montreal, QC, Canada, 15–19 June 2015. [Google Scholar]
- Laxalde, D.; Thouverez, F.; Sinou, J.-J.; Lombard, J.-P. Qualitative Analysis of Forced Response of Blisks with Friction Ring Dampers. Eur. J. Mech/A Solids 2007, 26, 676–687. [Google Scholar] [CrossRef]
- Lars, P.; Walter, S.; Karl, P. Spatial Dynamics of Tuned and Mistuned Bladed Disks with Cylindrical and Wedge-Shaped Friction Dampers. Int. J. Rotating Mach. 2007, 9, 219–228. [Google Scholar]
- Zhang, D.; Fu, J.; Zhang, Q.; Hong, J. An effective numerical method for calculating nonlinear dynamics of structures with dry friction: Application to predict the vibration response of blades with underplatform dampers. Nonlinear Dyn. 2016, 88, 223–237. [Google Scholar] [CrossRef]
- Zhao, P.F.; Zhang, Q.; Wu, J.; Zhang, D. Experimental Study of Dynamic Characteristics of Dry Friction Damping of Turbine Blade Steel. Adv. Mater. Res. 2013, 690, 1979–1982. [Google Scholar] [CrossRef]
- Marquina, F.J.; Coro, A.; Gutie’rrez, A.; Alonso, R.; Ewins, D.J.; Girini, G. Friction Damping Modeling in High Stress Contact Areas Using Microslip Friction Model. In Proceedings of the ASME Turbo Expo. 2008: Power for Land, Sea, and Air, Berlin, Germany, 9–13 June 2008. [Google Scholar]
- Zucca, S.; Botto, D.; Gola, M.M. Range of variability in the dynamics of semi-cylindrical friction dampers for turbine blades. In Proceedings of the ASME Turbo Expo: Power for Land, Sea & Air, Berlin, Germany, 9–13 June 2008. [Google Scholar]
- Zucca, S.; Berruti, T.; Cosi, L. Experimental and Numerical Investigations on the Dynamic Response of Turbine Blades with Tip Pin Dampers; Journal of Physics: Conference Series; IOP Publishing: Bristol, UK, 2016; Volume 744, p. 012131. [Google Scholar]
- Firrone, C.M. Measurement of the kinematics of two underplatform dampers with different geometry and comparison with numerical simulation. J. Sound Vib. 2009, 323, 313–333. [Google Scholar] [CrossRef]
- Allara, M. A model for the characterization of friction contacts in turbine blades. J. Sound Vib. 2009, 320, 527–544. [Google Scholar] [CrossRef]















| Flat Blade | Directly Excited | Indirectly Excited |
|---|---|---|
| Non-connected (Hz) | 262 | 261 |
| Connected (Hz) | 257 | 258 |
| Relative error | 2% | 1% |
Disclaimer/Publisher’s Note: The statements, opinions and data contained in all publications are solely those of the individual author(s) and contributor(s) and not of MDPI and/or the editor(s). MDPI and/or the editor(s) disclaim responsibility for any injury to people or property resulting from any ideas, methods, instructions or products referred to in the content. |
© 2023 by the authors. Licensee MDPI, Basel, Switzerland. This article is an open access article distributed under the terms and conditions of the Creative Commons Attribution (CC BY) license (https://creativecommons.org/licenses/by/4.0/).
Share and Cite
Man, J.; Bian, X.; Zeng, W.; Yan, W.; Qiao, D. Experimental Investigation of the Dynamic Response of a Flat Blade with Dual Dry Friction Dampers. Energies 2023, 16, 7401. https://doi.org/10.3390/en16217401
Man J, Bian X, Zeng W, Yan W, Qiao D. Experimental Investigation of the Dynamic Response of a Flat Blade with Dual Dry Friction Dampers. Energies. 2023; 16(21):7401. https://doi.org/10.3390/en16217401
Chicago/Turabian StyleMan, Jixin, Xiangde Bian, Wu Zeng, Wengao Yan, and Da Qiao. 2023. "Experimental Investigation of the Dynamic Response of a Flat Blade with Dual Dry Friction Dampers" Energies 16, no. 21: 7401. https://doi.org/10.3390/en16217401
APA StyleMan, J., Bian, X., Zeng, W., Yan, W., & Qiao, D. (2023). Experimental Investigation of the Dynamic Response of a Flat Blade with Dual Dry Friction Dampers. Energies, 16(21), 7401. https://doi.org/10.3390/en16217401

