Proposal of a Simplified Tool for Early Acoustics Design Stage of Classrooms in Compliance with Speech Intelligibility Thresholds
Abstract
1. Introduction
2. Materials and Methods
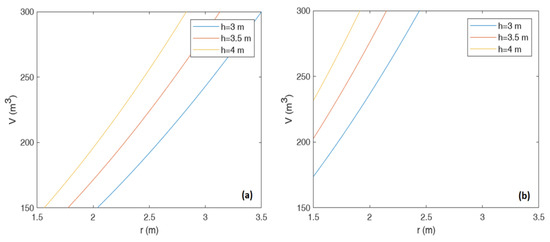
- a volume for classrooms ranging from 150 to 300 m3;
- a net height varying from 3 to 4 m (3 is the minimum by law in Italy according to Ministerial Decree 18/12/1975 for newly built classrooms);
3. Results
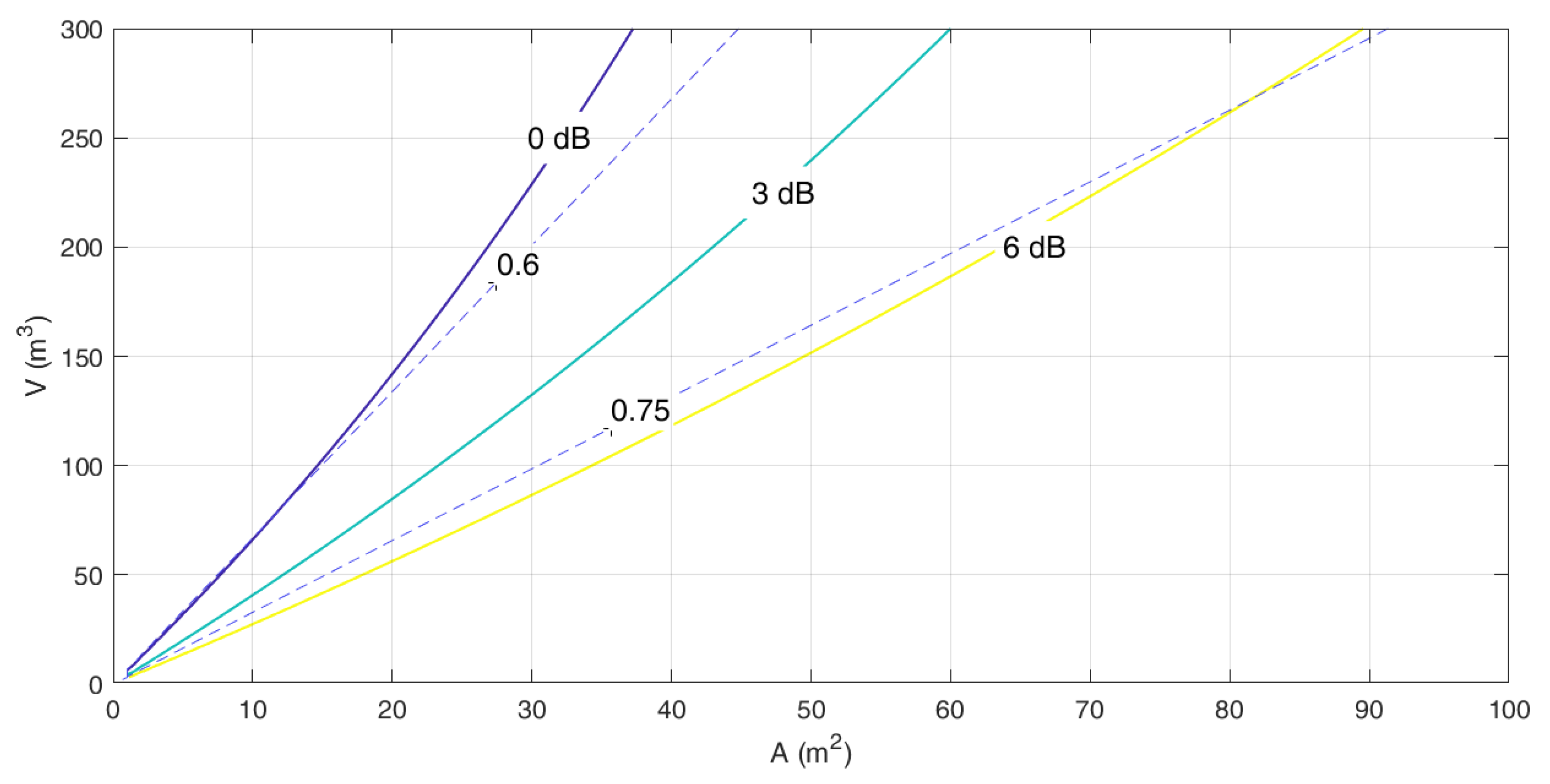
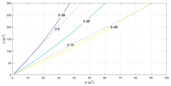
3.1. Graph of STI and C50 as a Function of A and V
3.2. Prediction A–V Diagram of Speech Intelligibility Parameters in Small-Medium Classrooms
- C50 = 0, 3, and 6 dB;
- STI = 0.6, and 0.75;
3.3. Notes on the Applicability of the Model
- The floor plan should be as regular as possible (square or rectangular).
- Side surfaces should not be excessively absorbent.
- Side walls should have elements that allow the avoidance of the occurrence of standing waves.
- Ceilings should not be shaped in such a way as to create significant sound focus.
- Ceilings should not be excessively diffuse.
- Dimensions of the classrooms should be proportionate (comparable height, width, and depth).
- Source-receiver distance (receiver placed in the center of the room) should be comparable to 2 m.
- The environment should be properly isolated from external noise sources.
4. Discussion
5. Conclusions
Author Contributions
Funding
Data Availability Statement
Conflicts of Interest
References
- Mogas Recalde, J.; Palau, R.; Márquez, M. How Classroom Acoustics Influence Students and Teachers: A Systematic Literature Review. J. Technol. Sci. Educ. 2021, 11, 245. [Google Scholar] [CrossRef]
- Durup, N.; Shield, B.; Dance, S.; Sullivan, R.; Gomez-Agustina, L. How Classroom Acoustics Affect the Vocal Load of Teachers. Energy Procedia 2015, 78, 3084–3089. [Google Scholar] [CrossRef]
- Shield, B.M.; Dockrell, J.E. The Effects of Noise on Children at School: A Review. Build. Acoust. 2003, 10, 97–116. [Google Scholar] [CrossRef]
- EN ISO 9921; Ergonomics—Assessment of Speech Communication. ISO International Organization for Standardization: Geneva, Switzerland, 2003.
- Luo, J.; Hage, S.R.; Moss, C.F. The Lombard Effect: From Acoustics to Neural Mechanisms. Trends Neurosci. 2018, 41, 938–949. [Google Scholar] [CrossRef] [PubMed]
- Brumm, H.; Zollinger, S.A. The Evolution of the Lombard Effect: 100 Years of Psychoacoustic Research. Behaviour 2011, 148, 1173–1198. [Google Scholar] [CrossRef]
- Levandoski, G.; Zannin, P.H.T. Quality of Life and Acoustic Comfort in Educational Environments of Curitiba, Brazil. J. Voice 2020, 36, 436.e9–436.e16. [Google Scholar] [CrossRef] [PubMed]
- Mealings, K. The Effect of Classroom Acoustic Conditions on Literacy Outcomes for Children in Primary School: A Review. Build. Acoust. 2022, 29, 135–156. [Google Scholar] [CrossRef]
- Education & Skills Funding Agency. BB93: Acoustic Design of Schools—Performance Standards; Education & Skills Funding Agency: Manchester, UK, 2015. [Google Scholar]
- Ronsse, L.M.; Wang, L.M. Relationships between Unoccupied Classroom Acoustical Conditions and Elementary Student Achievement Measured in Eastern Nebraska. J. Acoust. Soc. Am. 2013, 133, 1480–1495. [Google Scholar] [CrossRef]
- Puglisi, G.E.; Prato, A.; Sacco, T.; Astolfi, A. Influence of Classroom Acoustics on the Reading Speed: A Case Study on Italian Second-Graders. J. Acoust. Soc. Am. 2018, 144, EL144–EL149. [Google Scholar] [CrossRef]
- Campbell, C.; Nilsson, E.; Svensson, C. The Same Reverberation Time in Two Identical Rooms Does Not Necessarily Mean the Same Levels of Speech Clarity and Sound Levels When We Look at Impact of Different Ceiling and Wall Absorbers. Energy Procedia 2015, 78, 1635–1640. [Google Scholar] [CrossRef]
- EN ISO 3382-1; Acoustics—Measurement of Room Acoustic Parameters—Part 1: Performance Spaces. ISO International Organization for Standardization: Geneva, Switzerland, 2009.
- EN 60268-16; Sound System Equipment. Objective Rating of Speech Intelligibility by Speech Transmission Index. IEC International Electrotechnical Commission: Geneva, Switzerland, 2020.
- Bradley, J.S.; Reich, R.D.; Norcross, S.G. On the Combined Effects of Signal-to-Noise Ratio and Room Acoustics on Speech Intelligibility. J. Acoust. Soc. Am. 1999, 106, 1820–1828. [Google Scholar] [CrossRef]
- EN ISO 3382-2; Acoustics—Measurement of Room Acoustic Parameters—Part 2: Reverberation Time in Ordinary Rooms. ISO International Organization for Standardization: Geneva, Switzerland, 2008.
- UNI 11532-2; Internal Acoustical Characteristics of Confined—Design Methods and Evaluation Techniques—Part 2: Educational Sector. UNI Ente Nazionale Italiano di Unificazione: Milan, Italy, 2020.
- DIN 18041; Acoustic Quality in Rooms—Specifications and Instructions for the Room Acoustic Design. DIN Deutsches Institut für Normung: Berlin, Germany, 2016.
- Astolfi, A.; Minelli, G.; Puglisi, G.E. A Basic Protocol for the Acoustic Characterization of Small and Medium-Sized Classrooms. J. Acoust. Soc. Am. 2022, 152, 1646–1659. [Google Scholar] [CrossRef] [PubMed]
- Chetoni, M.; Ascari, E.; Bianco, F.; Fredianelli, L.; Licitra, G.; Cori, L. Global Noise Score Indicator for Classroom Evaluation of Acoustic Performances in LIFE GIOCONDA Project. Noise Mapp. 2016, 3, 157–171. [Google Scholar] [CrossRef]
- Pulella, P.; Hladek, L.; Croce, P.; Seeber, B.U. Auralization of Acoustic Design in Primary School Classrooms. In Proceedings of the 2021 IEEE International Conference on Environment and Electrical Engineering and 2021 IEEE Industrial and Commercial Power Systems Europe (EEEIC/I&CPS Europe), Bari, Italy, 7–10 September 2021; pp. 1–6. [Google Scholar]
- Zhang, D.; Tenpierik, M.; Bluyssen, P.M. Individual Control as a New Way to Improve Classroom Acoustics: A Simulation-Based Study. Appl. Acoust. 2021, 179, 108066. [Google Scholar] [CrossRef]
- Hodgson, M.; Rempel, R.; Kennedy, S. Measurement and Prediction of Typical Speech and Background-Noise Levels in University Classrooms during Lectures. J. Acoust. Soc. Am. 1999, 105, 226–233. [Google Scholar] [CrossRef]
- Stephenson, U.M. Different Assumptions—Different Reverberation Formulae; Institute of Noise Control Engineering: New York, NY, USA, 2012; p. 12. [Google Scholar]
- Barron, M.; Lee, L. Energy Relations in Concert Auditoriums. I. J. Acoust. Soc. Am. 1988, 84, 618–628. [Google Scholar] [CrossRef]
- Arau-Puchades, H. Sound Pressure Levels in Rooms: A Study of Steady State Intensity, Total Sound Level, Reverberation Distance, a New Discussion of Steady State Intensity and Other Experimental Formulae. Build. Acoust. 2012, 19, 205–220. [Google Scholar] [CrossRef]
- Leccese, F.; Rocca, M.; Salvadori, G. Fast Estimation of Speech Transmission Index Using the Reverberation Time: Comparison between Predictive Equations for Educational Rooms of Different Sizes. Appl. Acoust. 2018, 140, 143–149. [Google Scholar] [CrossRef]
- Nowoświat, A.; Olechowska, M. Fast Estimation of Speech Transmission Index Using the Reverberation Time. Appl. Acoust. 2016, 102, 55–61. [Google Scholar] [CrossRef]
- Gómez Escobar, V.; Barrigón Morillas, J.M. Analysis of Intelligibility and Reverberation Time Recommendations in Educational Rooms. Appl. Acoust. 2015, 96, 1–10. [Google Scholar] [CrossRef]
- Croce, P.; Leccese, F.; Zannin, P.H.T. Evaluation of Predictive Methods of Acoustic Comfort Parameters in University Classrooms. In Proceedings of the 2021 IEEE International Conference on Environment and Electrical Engineering and 2021 IEEE Industrial and Commercial Power Systems Europe (EEEIC/I&CPS Europe), Bari, Italy, 7–10 September 2021; pp. 1–6. [Google Scholar]
- Cho, Y.-J. Comparison of Two Types of Combined Measures, STI and U50, for Predicting Speech Intelligibility in Classrooms. Arch. Acoust. 2017, 42, 527–532. [Google Scholar] [CrossRef]
- Barron, M. Theory and Measurement of Early, Late and Total Sound Levels in Rooms. J. Acoust. Soc. Am. 2015, 137, 3087–3098. [Google Scholar] [CrossRef] [PubMed]
- UNI 11532-1; Internal Acoustical Characteristics of Confined Spaces—Design Methods and Evaluation Techniques—Part 1: General Requirements. UNI Ente Nazionale Italiano di Unificazione: Milan, Italy, 2018.
- Arau-Puchades, H.; Berardi, U. A Revised Sound Energy Theory Based on a New Formula for the Reverberation Radius in Rooms with Non-Diffuse Sound Field. Arch. Acoust. 2015, 40, 33–40. [Google Scholar] [CrossRef]
- Berardi, U.; Cirillo, E.; Martellotta, F. A comparative analysis of acoustic energy models for churches. J. Acoust. Soc. Am. 2009, 126, 1838–1849. [Google Scholar] [CrossRef]
- Berardi, U. Simulation of acoustical parameters in rectangular churches. J. Build. Perform. Simul. 2014, 7, 1–16. [Google Scholar] [CrossRef]
- Bradley, J.S. Speech Intelligibility Studies in Classrooms. J. Acoust. Soc. Am. 1986, 80, 846–854. [Google Scholar] [CrossRef] [PubMed]
- Building Acoustics—Acoustic Classification of Building Units—Evaluation Procedure and in Situ Measurements. UNI 11367; UNI Ente Nazionale Italiano di Unificazione: Milan, Italy, 2010.
- Barron, M. Auditorium Acoustics and Architectural Design, 2nd ed.; Spon Press/Taylor & Francis: London, UK; New York, NY, USA, 2010; ISBN 978-0-419-24510-0. [Google Scholar]
- Minelli, G.; Puglisi, G.E.; Astolfi, A. Acoustical Parameters for Learning in Classroom: A Review. Build. Environ. 2022, 208, 108582. [Google Scholar] [CrossRef]






| ID | Ref. | V (m3) | RT (s) | AH (m2) | AC (m2) | C50M (dB) | C50C (dB) | STI |
|---|---|---|---|---|---|---|---|---|
| C1 | [30] | 773 | 2.3 (1) | 51.5 | 53.1 | −3.83 | — | 0.45 |
| C4 | [30] | 438 | 1.6 (1) | 42.7 | 43.4 | −2.09 | — | 0.52 |
| A4 | [19] | 233 | 0.7 (*) | — | 53.6 | 4.7 | 4.4 | — |
| B2 | [19] | 201 | 0.5 (*) | — | 64.7 | 7 | 8.1 | — |
| F2 | [19] | 261 | 1.7 (*) | — | 24.7 | −0.1 | −1.1 | — |
| G3 | [19] | 138 | 0.8 (*) | — | 27.8 | 4.4 | 4.7 | — |
Disclaimer/Publisher’s Note: The statements, opinions and data contained in all publications are solely those of the individual author(s) and contributor(s) and not of MDPI and/or the editor(s). MDPI and/or the editor(s) disclaim responsibility for any injury to people or property resulting from any ideas, methods, instructions or products referred to in the content. |
© 2023 by the authors. Licensee MDPI, Basel, Switzerland. This article is an open access article distributed under the terms and conditions of the Creative Commons Attribution (CC BY) license (https://creativecommons.org/licenses/by/4.0/).
Share and Cite
Croce, P.; Leccese, F.; Salvadori, G.; Berardi, U. Proposal of a Simplified Tool for Early Acoustics Design Stage of Classrooms in Compliance with Speech Intelligibility Thresholds. Energies 2023, 16, 813. https://doi.org/10.3390/en16020813
Croce P, Leccese F, Salvadori G, Berardi U. Proposal of a Simplified Tool for Early Acoustics Design Stage of Classrooms in Compliance with Speech Intelligibility Thresholds. Energies. 2023; 16(2):813. https://doi.org/10.3390/en16020813
Chicago/Turabian StyleCroce, Paolo, Francesco Leccese, Giacomo Salvadori, and Umberto Berardi. 2023. "Proposal of a Simplified Tool for Early Acoustics Design Stage of Classrooms in Compliance with Speech Intelligibility Thresholds" Energies 16, no. 2: 813. https://doi.org/10.3390/en16020813
APA StyleCroce, P., Leccese, F., Salvadori, G., & Berardi, U. (2023). Proposal of a Simplified Tool for Early Acoustics Design Stage of Classrooms in Compliance with Speech Intelligibility Thresholds. Energies, 16(2), 813. https://doi.org/10.3390/en16020813

