Virtual Battery Pack-Based Battery Management System Testing Framework
Abstract
:1. Introduction
2. Virtual Battery Pack Modeling
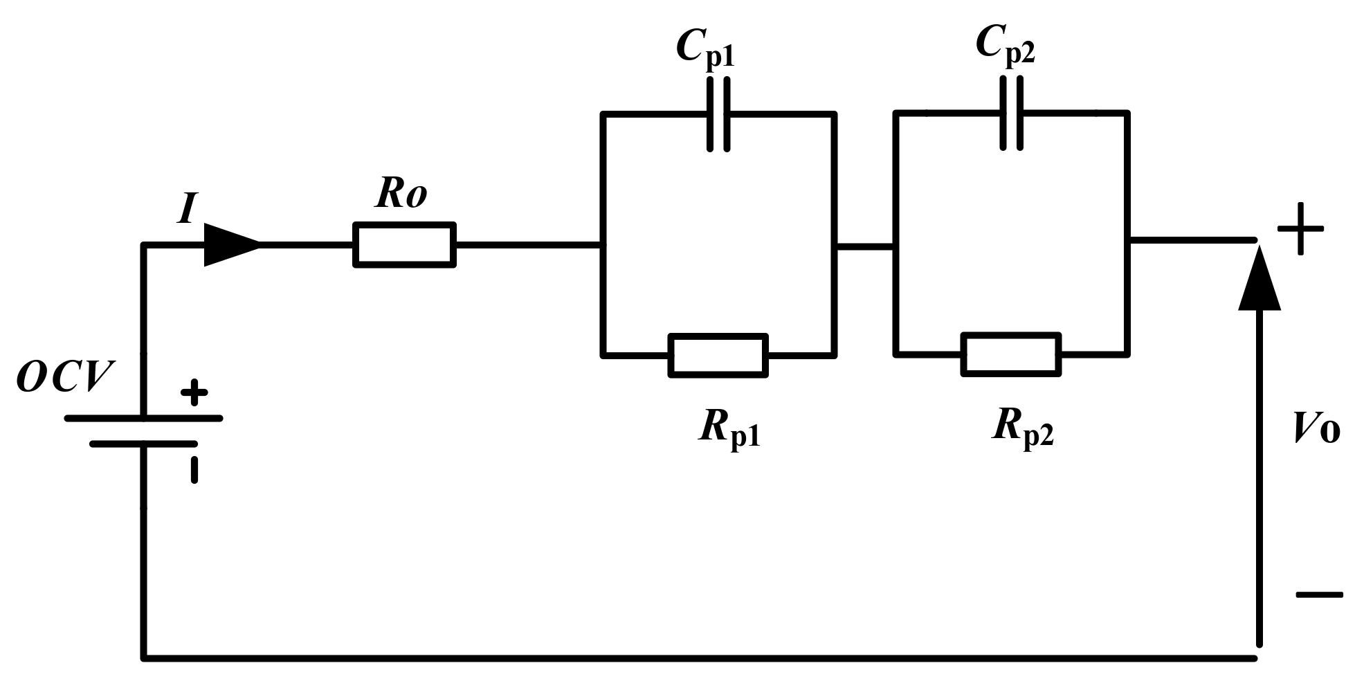
2.1. Battery Cell Modeling
2.2. Copula-Based Modeling of Parameter Inconsistencies in Battery Pack
2.3. Battery Pack Model
3. Battery Management System Testing Framework
3.1. Hardware Part
3.2. Software Part
4. BMS SOC/SOP Estimation Testing Based on Virtual Battery Pack
4.1. Battery Pack SOC Estimation Accuracy Test
4.1.1. Battery Pack SOC Reference Value
4.1.2. SOC Estimation Accuracy Test Method for BMS
- (1)
- Cumulative error test
- (2)
- SOC error correction speed test
4.1.3. SOC Estimation Accuracy Evaluation for BMS
4.2. SOP Estimation Accuracy Test for BMS
4.2.1. Battery Pack SOP Reference Value
- (1)
- Multi-boundary feature chart method
- (2)
- SOP estimation based on battery model
4.2.2. SOP Estimation Accuracy Test Method
- Adjust the virtual battery so that the SOC = SOCtest and the battery temperature is set to Ttest.
- Adjust the SOC reported by the BMS to SOCtest + 5%.
- Set the initial polarization size (the discharge pulse with the amplitude of I1 and the time of 5 s) and calculate the peak power reference value Ppeak with a duration of t1 s under this polarization condition.
- Output the voltage and current signals of the polarization establishment phase and the peak power output phase from the BMSs test system.
- Record the peak power reported by the BMS during the test (if the peak current is reported, the peak power is calculated based on the minimum value of the voltage during the discharge process).
- Modify the size of I1 and repeat steps 1~5.
- Modify t1 size and repeat steps 1~6.
- Modify the SOCtest of the virtual battery, repeat steps 1~7.
- Modify the temperature Ttest of the virtual battery, repeat steps 1~8.
4.2.3. Evaluation Method of SOP Estimation Accuracy
5. Results
5.1. Battery Packs Model Validation
5.1.1. Battery Pack Parameters Generation Result
5.1.2. Battery Pack Model Validation
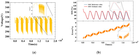
5.2. BMS SOC Estimation Accuracy Evaluation
5.3. BMS SOP Estimation Accuracy Evaluation
5.3.1. SOP Reference Value Acquisition Based on Feature Chart Method
5.3.2. BMS SOP Estimation Accuracy Test Results
6. Conclusions
Author Contributions
Funding
Conflicts of Interest
Nomenclature
| A | the battery surface area (m2) |
| CAPi | the capacity of the i-th battery cell in a series battery pack (Ah) |
| C’p | the battery specific heat capacity (J/(kg °C)) |
| Cpi | polarization capacitance of the i-th RC element (F) |
| Cp-i | polarization capacitance of the i-th battery cell in a series battery pack generated by leveraging the Copula method (F) |
| Cp-mean | the average value of Cp-i (F) |
| cp-i | the polarization capacitance ratio of the i-th battery cell in a series battery pack |
| h | the heat dissipation coefficient |
| m | the mass of the battery cell (kg) |
| OCV | open circuit voltage (V) |
| OCVave | the average value of OCV in the whole SOC interval (V) |
| Pa | the Joule heat of total insistence (W) |
| P | Battery heating power (W) |
| Ro | ohmic internal resistance (Ω) |
| Ro-i | ohmic internal resistance of the i-th battery cell in a series battery pack generated by leveraging the Copula method (Ω) |
| Ro-mean | the average value of Ro-i (Ω) |
| ro-i | the ohmic internal resistance ratio of the i-th battery cell in a series battery pack |
| Rpi | polarization resistance of the i-th RC element (Ω) |
| Rp-i | polarization resistance of the i-th battery cell in a series battery pack generated by leveraging the Copula method (Ω) |
| Rp-mean | the average value of Rp-i (Ω) |
| rp-i | the polarization resistance ratio of the i-th battery cell in a series battery pack |
| SOCi | the state of charge of the i-th battery cell in a series battery pack |
| Vcut-off | the cut-off voltage of the battery cell (V) |
| Vo | output terminal voltage (V) |
| Vpi | polarization voltage of the i-th RC element (V) |
Abbreviations
| BMS | Battery management system |
| CLTC | China light-duty vehicle test cycle |
| EUE | Energy utilization efficiency |
| HIL | Hardware in the loop |
| HPPC | Hybrid pulse power characterization |
| HWFET | Highway Fuel Economy Test |
| NEDC | New European Driving Cycle |
| RC | Resistance and capacitance |
| RMSE | Root Mean Square Error |
| SOC | State of charge |
| SOP | State of power |
Appendix A
Appendix A.1. Battery Pack Capacity Test
- The 0.3 C constant current discharge to a minimum monomer voltage is 2.00 V.
- Rest for 2 h.
- Charge the battery pack with the stepped current, and the specific working conditions are as follows:
- ①
- 0.3 C charging to a maximum individual voltage up to 3.60 V;
- ②
- 0.05 C charging to a maximum individual voltage up to 3.65 V.
- Rest for 2 h.
- The 0.3 C constant current discharge to a minimum monomer voltage is 2.00 V; record the discharge capacity of this step.
Appendix A.2. Battery Cell Capacity Test
- Use the battery pack charging-discharging equipment to charge the battery pack until it reaches a full charge according to step 3 of the battery pack capacity test.
- Charge the battery cell to 3.65 V with 5 A constant current using the equalization equipment and record the charging capacity of the individual at this step.
- Rest for 2 h.
- Discharge the battery pack at a constant current of 0.3 C to a minimum individual voltage of 2.00 V using the battery pack charging-discharging equipment and record the discharge capacity at this step.
- Rest for 2 h.
- Discharge the individual to 2.00 V at a constant current of 5 A using the equalization equipment and record the discharge capacity of the battery cell at this step.
Appendix A.3. Battery Pack Internal Resistance Characteristics and OCV Testing
- Use the battery pack charging-discharging equipment to charge the battery pack until it reaches a full charge according to step 3 of the battery pack capacity test.
- Rest for 2 h.
- Discharge 5% SOCpack at 0.3 C, where SOCpack is the ratio of the remaining available capacity of the battery pack to the discharge capacity of the battery pack.
- Rest for 2 h.
- Repeat steps 3 and 4 a total of 19 times.
Appendix B
| Parameters | Number |
|---|---|
| Capacity | 1 |
| SOCend | 2 |
| Tempdiff | 3 |
| H | 4 |
| Ro SOCx | 5–19 (the larger the number, the smaller the SOC) |
| Rp SOCx | 20–34 (the larger the number, the smaller the SOC) |
| τ SOCx | 35–49 (the larger the number, the smaller the SOC) |
| SOC Test Range | Battery System Initial SOC | SOC Reported by BMS | Battery Pack SOC Cycle Condition: SOCset1- SOCset2- SOCset3- SOCset2- SOCset3 | ||
|---|---|---|---|---|---|
| SOCset1 | SOCset2 | SOCset3 | |||
| SOC ≥ 80% | 90% | 75% | 90% | 30% | 95% |
| 30% < SOC < 80% | 75% | 90% | 75% | 30% | 80% |
| 75% | 60% | 75% | 30% | 80% | |
| 35% | 50% | 35% | 30% | 80% | |
| 35% | 20% | 35% | 30% | 80% | |
| SOC ≤ 30% | 20% | 35% | 20% | 5% | 80% |
References
- Lu, L.; Li, J.; Hua, J. A review on the key issues of the lithium-ion battery management. Sci. Technol. 2016, 34, 39–51. [Google Scholar]
- Wei, Z.; Zhao, J.; He, H. Future smart battery and management: Advanced sensing from external to embedded multi-dimensional measurement. J. Power Sources 2021, 489, 229462. [Google Scholar] [CrossRef]
- Ding, X.; Zhang, D.; Cheng, J. An improved Thevenin model of lithium-ion battery with high accuracy for electric vehicles. Appl. Energy 2019, 254, 113615. [Google Scholar] [CrossRef]
- QC/T 897-2011; Technical Specification of Battery Management System for Electric Vehicles. National Standard of the People’s Republic of China: Shenzhen, China, 2011.
- GB/T 38661-2020; Technical Specification of Battery Management System for Electric Vehicles. National Standard of the People’s Republic of China: Shenzhen, China, 2020.
- Kalk, A.; Salikoglu, Y.; Leister, L.; Braeckle, D.; Hiller, M. Hardware-in-the-Loop Test Rig for Rapid Prototyping of Battery Management System Algorithms. In Proceedings of the 2022 IEEE Transportation Electrification Conference & Expo (ITEC), Zhejiang, China, 28–31 October 2022; pp. 473–478. [Google Scholar]
- Bae, K.; Choi, S.C.; Kim, J.H. LiFePO4 dynamic battery modeling for battery simulator. In Proceedings of the 2014 IEEE International Conference on Industrial Technology (ICIT), Busan, Republic of Korea, 26 February–1 March 2014; pp. 354–358. [Google Scholar]
- Liu, X.; Ai, W.; Marlow, M.N. The effect of cell-to-cell variations and thermal gradients on the performance and degradation of lithium-ion battery packs. Appl. Energy 2019, 248, 489–499. [Google Scholar] [CrossRef]
- Zhou, L.; Zheng, Y.; Ouyang, M. A study on parameter variation effects on battery packs for electric vehicles. J. Power Sources 2017, 364, 242–252. [Google Scholar] [CrossRef]
- Zhang, C.; Jiang, Y.; Jiang, J. Study on battery pack consistency evolutions and equilibrium diagnosis for serial-connected lithium-ion batteries. Appl. Energy 2017, 207, 510–519. [Google Scholar] [CrossRef]
- Lin, T.; Chen, Z.; Zhou, S. Voltage-correlation based multi-fault diagnosis of lithium-ion battery packs considering inconsistency. J. Clean. Prod. 2022, 336, 130358. [Google Scholar] [CrossRef]
- Zheng, Y.; Ouyang, M.; Lu, L. Understanding aging mechanisms in lithium-ion battery packs: From cell capacity loss to pack capacity evolution. J. Power Sources 2015, 278, 287–295. [Google Scholar] [CrossRef]
- Rumpf, K.; Naumann, M.; Jossen, A. Experimental investigation of parametric cell-to-cell variation and correlation based on 1100 commercial lithium-ion cells. J. Energy Storage 2017, 14, 224–243. [Google Scholar] [CrossRef]
- Yang, N.; Song, Z.; Hofmann, H. Robust State of Health estimation of lithium-ion batteries using convolutional neural network and random forest. J. Energy Storage 2022, 48, 103857. [Google Scholar] [CrossRef]
- Schuster, S.F.; Brand, M.J.; Berg, P. Lithium-ion cell-to-cell variation during battery electric vehicle operation. J. Power Sources 2015, 297, 242–251. [Google Scholar] [CrossRef]
- Jiang, Y.; Jiang, J.; Zhang, C. A Copula-based battery pack consistency modeling method and its application on the energy utilization efficiency estimation. Energy 2019, 189, 116219. [Google Scholar] [CrossRef]
- Bui, T.M.; Niri, M.F.; Worwood, D.; Dinh, T.Q.; Marco, J. An Advanced Hardware-in-the-Loop Battery Simulation Platform for the Experimental Testing of Battery Management System. In Proceedings of the 2019 23rd International Conference on Mechatronics Technology (ICMT), Salerno, Italy, 23–26 October 2019; pp. 1–6. [Google Scholar]
- Gauchia, L.; Sanz, J. A per-unit hardware-in-the-loop simulation of a fuel cell/battery hybrid energy system. IEEE Trans. Ind. Electron. 2009, 57, 1186–1194. [Google Scholar] [CrossRef]
- Barreras, J.V.; Fleischer, C.; Christensen, A.E. An advanced HIL simulation battery model for battery management system testing. IEEE Trans. Ind. Appl. 2016, 52, 5086–5099. [Google Scholar] [CrossRef]
- Fleischer, C.; Sauer, D.U.; Barreras, J.V.; Schaltz, E.; Christensen, A.E. Development of software and strategies for Battery Management System testing on HIL simulator. In Proceedings of the 2016 Eleventh International Conference on Ecological Vehicles and Renewable Energies (EVER), Monte Carlo, Monaco, 6–8 April 2016; p. 12. [Google Scholar]
- Di Rienzo, R.; Roncella, R.; Morello, R. Low-cost modular battery emulator for battery management system testing. In Proceedings of the 2018 IEEE International Conference on Industrial Electronics for Sustainable Energy Systems (IESES), Hamilton, New Zealand, 31 January–2 February 2018; pp. 44–49. [Google Scholar]
- Dinggen, L.; Xiaofeng, T.; Shijie, L. Design of BMS test platform for electric vehicles based on CAN communication. Power Technol. 2018, 42, 1543–1545. [Google Scholar]
- Cao, M. Battery Management System Key Technology Research and Test System Construction; Nanchang University: Nanchang, China, 2019. [Google Scholar]
- Wu, H.; Yuan, S.; Zhang, X.; Yin, C.; Ma, X. Model parameter estimation approach based on incremental analysis for lithium-ion batteries without using open circuit voltage. J. Power Sources 2015, 287, 108–118. [Google Scholar] [CrossRef]
- Sun, B.; He, X.; Zhang, W. Study of parameters identification method of li-ion battery model for EV power profile based on transient characteristics data. IEEE Trans. Intell. Transp. Syst. 2020, 22, 661–672. [Google Scholar] [CrossRef]
- Yan, J. Research on Life Cycle State Assessment Technology of Cascade Utilization Lithium-Ion Battery Pack; Beijing Jiaotong University: Beijing, China, 2019. [Google Scholar]
- Ruan, H.; Jiang, J.; Sun, B. An optimal internal-heating strategy for lithium-ion batteries at low temperature considering both heating time and lifetime reduction. Appl. Energy 2019, 256, 113797. [Google Scholar] [CrossRef]
- Yin, G. Study on the Method of Obtaining the Peak Power Reference Value of Lithium-Ion Battery for Testing; Beijing Jiaotong University: Beijing, China, 2020. [Google Scholar]

















Disclaimer/Publisher’s Note: The statements, opinions and data contained in all publications are solely those of the individual author(s) and contributor(s) and not of MDPI and/or the editor(s). MDPI and/or the editor(s) disclaim responsibility for any injury to people or property resulting from any ideas, methods, instructions or products referred to in the content. |
© 2023 by the authors. Licensee MDPI, Basel, Switzerland. This article is an open access article distributed under the terms and conditions of the Creative Commons Attribution (CC BY) license (https://creativecommons.org/licenses/by/4.0/).
Share and Cite
Sun, B.; Zhao, X.; He, X.; Ruan, H.; Zhu, Z.; Zhou, X. Virtual Battery Pack-Based Battery Management System Testing Framework. Energies 2023, 16, 680. https://doi.org/10.3390/en16020680
Sun B, Zhao X, He X, Ruan H, Zhu Z, Zhou X. Virtual Battery Pack-Based Battery Management System Testing Framework. Energies. 2023; 16(2):680. https://doi.org/10.3390/en16020680
Chicago/Turabian StyleSun, Bingxiang, Xinze Zhao, Xitian He, Haijun Ruan, Zhenlin Zhu, and Xingzhen Zhou. 2023. "Virtual Battery Pack-Based Battery Management System Testing Framework" Energies 16, no. 2: 680. https://doi.org/10.3390/en16020680
APA StyleSun, B., Zhao, X., He, X., Ruan, H., Zhu, Z., & Zhou, X. (2023). Virtual Battery Pack-Based Battery Management System Testing Framework. Energies, 16(2), 680. https://doi.org/10.3390/en16020680

