Identification of Karst Cavities from 2D Seismic Wave Impedance Images Based on Gradient-Boosting Decision Trees Algorithms (GBDT): Case of Ordovician Fracture-Vuggy Carbonate Reservoir, Tahe Oilfield, Tarim Basin, China
Abstract
1. Introduction
2. Geological Setting
3. Material and Methods
3.1. Seismic Wave Impedance Image Datasets
3.2. Gradient-Boosting Decision Tree (GBDT)
3.2.1. Principle of GBDT Algorithm
3.2.2. LightGBM
3.2.3. CatBoost
3.3. Study Workflow
3.3.1. Feature Extraction
3.3.2. Data Pre-Processing for Hybrid VGG-16-GBDT Model Construction
3.3.3. Performance Evaluation Metrics
3.3.4. Uncertainty Assessment
4. Results
4.1. Training Models Results
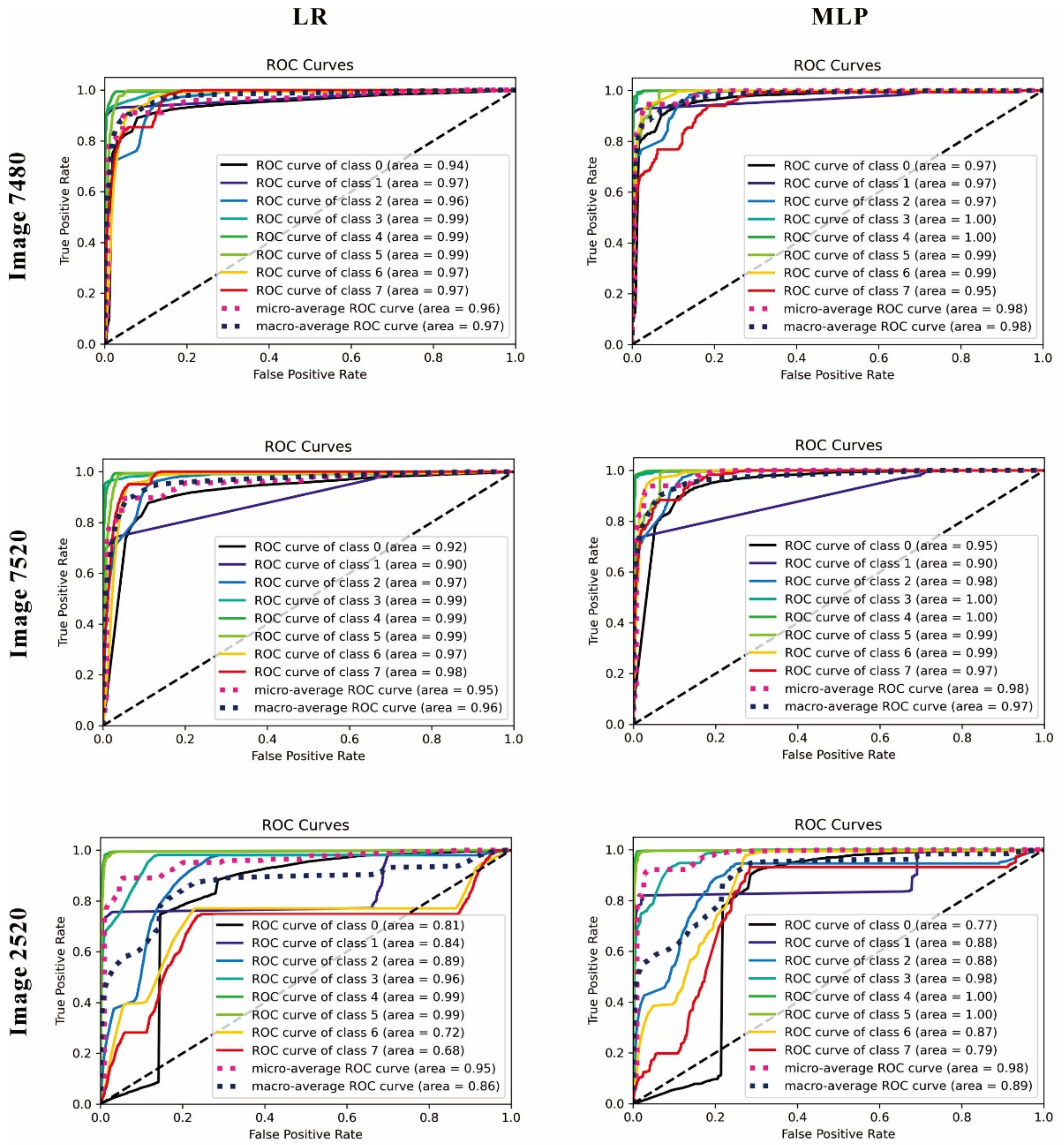
4.2. Model Performance
4.3. Comparison of Models’ Capacity for Generating Features
4.4. Uncertainty Assessment for the Spatial Distribution of Geometry Caves
4.4.1. Orientation and Channel Connectivity of Caves Geometry
4.4.2. Uncertainty Quantification
5. Discussion
5.1. Model Performances Comparison
5.2. Comparison of Models’ Capacity for Generating Features
5.3. Uncertainty and Suggestion
6. Conclusions
Supplementary Materials
Author Contributions
Funding
Data Availability Statement
Acknowledgments
Conflicts of Interest
References
- Firme, P.A.L.P.; Quevedo, R.J.; Roehl, D.; Pereira, L.C.; Cazarin, C.L. Mechanical behavior of carbonate reservoirs with single karst cavities. Geomech. Energy Environ. 2021, 25, 100209. [Google Scholar] [CrossRef]
- Garland, J.; Neilson, J.; Laubach, S.E.; Whidden, K.J. Advances in carbonate exploration and reservoir analysis. Geol. Soc. Lond. Spec. Publ. 2012, 370, 1–15. [Google Scholar] [CrossRef]
- Sha, F.; Xiao, L.; Mao, Z.; Jia, C. Petrophysical characterization and fractal analysis of carbonate reservoirs of the eastern margin of the pre-Caspian Basin. Energies 2019, 12, 78. [Google Scholar] [CrossRef]
- Wang, S.; Wang, S.; Yu, C.; Liu, H. Single Well Productivity Prediction Model for Fracture-Vuggy Reservoir Based on Selected Seismic Attributes. Energies 2021, 14, 4134. [Google Scholar] [CrossRef]
- Li, Y.; Kang, Z.; Xue, Z.; Zheng, S. Theories and practices of carbonate reservoirs development in China. Pet. Explor. Dev. 2018, 45, 712–722. [Google Scholar]
- He, Z.L.; Peng, S.T.; Zhang, T. Controlling factors and genetic pattern of the Ordovician reservoirs in the Tahe area, Tarim Basin. Oil Gas Geol. 2010, 31, 743–752. [Google Scholar]
- Xu, X.; Chen, Q.; Zhang, Y.; Wang, J.; Li, Y.; Kang, Z.; Wei, H.; Quan, L.; Zhang, Y. Research progress and prospect of Ordovician carbonate rocks in Tahe oilfield: Karst feature. J. Pet. Explor. Prod. Technol. 2021, 11, 3889–3902. [Google Scholar] [CrossRef]
- LÜ, Y.; LÜ, J.; Xu, X.; Deng, G.; Liu, Y.; Liu, C.; Zhang, Z.; Han, Y. Genetic mechanism of inner reservoirs of Yingshan Formation of Middle-Lower Ordovician in Tahe Oil Field, Tarim Basin. Pet. Geol. Exp. 2021, 43, 1031–1037. [Google Scholar]
- Hu, X.; Li, Y.; Quan, L.; Kong, Q.; Wang, Y.; Lv, X.R. Three-dimensional geological modeling of factured-vuggy carbonate reservoirs: A case from the Ordovician reservoirs in Tahe-IV block, Tahe oilfield. Oil Gas Geol. 2013, 34, 383–387. [Google Scholar]
- Yang, X.; Wang, X.; Tang, H.; Ding, Y.; Lv, H.; Liu, C. The early Hercynian paleo-karstification in the Block 12 of Tahe oilfield, northern Tarim Basin, China. Carbonates Evaporites 2014, 29, 251–261. [Google Scholar] [CrossRef]
- Yang, L.I.; Jiagen, H.O.U.; Yongqiang, L.I. Features and classified hierarchical modeling of carbonate fracture-cavity reservoirs. Pet. Explor. Dev. 2016, 43, 655–662. [Google Scholar]
- Loucks, R.G. Paleocave carbonate reservoirs: Origins, burial-depth modifications, spatial complexity, and reservoir implications. Am. Assoc. Pet. Geol. Bull. 1999, 83, 1795–1834. [Google Scholar]
- He, Z.; Sun, J.; Guo, P.; Wei, H.; Lyu, X.; Han, K. Construction of carbonate reservoir knowledge base and its application in fracture-cavity reservoir geological modeling. Pet. Explor. Dev. 2021, 48, 824–834. [Google Scholar]
- He, J.; Li, A.; Wu, S.; Tang, R.; Lv, D.; Li, Y.; Li, X. Experimental investigation on injection and production pattern in fractured-vuggy carbonate reservoirs. Energies 2020, 13, 603. [Google Scholar] [CrossRef]
- He, Z.; Peng, S.; Zhang, T. Controls on reservoir formation in Ordovician of Tahe oilfield, Tarim basin, and combinational genetic mechanism. Oil Gas Geol. 2010, 31, 743–752. [Google Scholar]
- Zhao, K.; Zhang, L.; Zheng, D.; Sun, C.; Dang, Q. A reserve calculation method for fracture-cavity carbonate reservoirs in Tarim Basin, NW China. Pet. Explor. Dev. 2015, 42, 277–282. [Google Scholar]
- Tian, F.; Jin, Q.; Li, Y. A new logging recognition method of small fracture-cave and fills in fracture-cavity reservoirs in Tahe oilfield. Oil Gas Geol. 2012, 33, 900–908. [Google Scholar]
- Sun, S.Z.; Zhou, X.; Yang, H.; Wang, Y.; Wang, D.; Liu, Z. Fractured reservoir modeling by discrete fracture network and seismic modeling in the Tarim Basin, China. Pet. Sci. 2011, 8, 433–445. [Google Scholar] [CrossRef]
- Pazzi, V.; Di Filippo, M.; Di Nezza, M.; Carlà, T.; Bardi, F.; Marini, F.; Fontanelli, K.; Intrieri, E.; Fanti, R. Integrated geophysical survey in a sinkhole-prone area: Microgravity, electrical resistivity tomographies, and seismic noise measurements to delimit its extension. Eng. Geol. 2018, 243, 282–293. [Google Scholar] [CrossRef]
- Torrese, P. Investigating karst aquifers: Using pseudo 3-D electrical resistivity tomography to identify major karst features. J. Hydrol. 2020, 580, 124257. [Google Scholar] [CrossRef]
- Zeid, N.A.; Bignardi, S.; Russo, P.; Peresani, M. Deep in a Paleolithic archive: Integrated geophysical investigations and laser-scanner reconstruction at Fumane Cave, Italy. J. Archaeol. Sci. Rep. 2019, 27, 101976. [Google Scholar] [CrossRef]
- Martínez-Moreno, F.; Galindo-Zaldívar, J.; Baena, C.L.; González-Castillo, L.; Herrera, J.B.; Martínez-Martos, M.; Padial, Y.d.R.; Rodríguez, L.F.; Tendero-Salmerón, V.; Madarieta-Txurruka, A. Development and collapse of karstic cavities in folded marbles: Geomorphological and geophysical evidences in Nerja Cave (southern Spain). J. Appl. Geophys. 2021, 187, 104287. [Google Scholar] [CrossRef]
- Meng, Z.; Sun, Z.; Li, G. A case study of complex carbonate reservoir connectivity analysis, Tarim Basin, China. Interpretation 2021, 9, B77–B87. [Google Scholar] [CrossRef]
- Loule, J.-P.; Jifon, F.; Bioule, S.E.A.; Nguema, P.; Spofforth, D.; Carruthers, D.; Watkins, C.; Johnston, J. An opportunity to re-evaluate the petroleum potential of the Douala/Kribi-Campo Basin, Cameroon. First Break 2018, 36, 61–70. [Google Scholar] [CrossRef]
- Li, Z.; Wang, Y.; Yang, Z.; Li, H.; Yu, G. Identification of fractured carbonate vuggy reservoirs in the S48 well area using 3D 3C seismic technique: A case history from the Tarim Basin. Geophysics 2019, 84, B59–B74. [Google Scholar] [CrossRef]
- Tian, F.; Jin, Q.; Lu, X.; Lei, Y.; Zhang, L.; Zheng, S.; Zhang, H.; Rong, Y.; Liu, N. Multi-layered Ordovician paleokarst reservoir detection and spatial delineation: A case study in the Tahe Oilfield, Tarim Basin, Western China. Mar. Pet. Geol. 2016, 69, 53–73. [Google Scholar] [CrossRef]
- Li, X.; Chen, Q.; Wu, C.; Liu, H.; Fang, Y. Application of multi-seismic attributes analysis in the study of distributary channels. Mar. Pet. Geol. 2016, 75, 192–202. [Google Scholar] [CrossRef]
- Shan, X.; Tian, F.; Cheng, F.; Yang, C.; Xin, W. Spectral decomposition and a waveform cluster to characterize strongly heterogeneous paleokarst reservoirs in the Tarim Basin, China. Water 2019, 11, 256. [Google Scholar] [CrossRef]
- Xin, W.; Tian, F.; Shan, X.; Zhou, Y.; Rong, H.; Yang, C. Application of geologically constrained machine learning method in characterizing paleokarst reservoirs of tarim basin, China. Water 2020, 12, 1765. [Google Scholar] [CrossRef]
- Méndez, J.N.; Jin, Q.; Zhang, X.; González, M.; Kashif, M.; Boateng, C.D.; Zambrano, M. Rock type prediction and 3D modeling of clastic paleokarst fillings in deeply-buried carbonates using the Democratic Neural Networks Association technique. Mar. Pet. Geol. 2021, 127, 104987. [Google Scholar] [CrossRef]
- Wu, X.; Yan, S.; Qi, J.; Zeng, H. Deep learning for characterizing paleokarst collapse features in 3-D seismic images. J. Geophys. Res. Solid Earth 2020, 125, e2020JB019685. [Google Scholar] [CrossRef]
- Zhang, G.; Lin, C.; Ren, L.; Li, S.; Cui, S.; Wang, K.; Sun, Y. Seismic characterization of deeply buried paleocaves based on Bayesian deep learning. J. Nat. Gas. Sci. Eng. 2022, 97, 104340. [Google Scholar] [CrossRef]
- Wu, S.; Wang, Q.; Zeng, Q.; Zhang, Y.; Shao, Y.; Deng, F.; Liu, Y.; Wei, W. Automatic extraction of outcrop cavity based on a multiscale regional convolution neural network. Comput. Geosci. 2022, 160, 105038. [Google Scholar] [CrossRef]
- Tang, J.; Fan, B.; Xu, G.; Xiao, L.; Tian, S.; Luo, S.; Weitz, D. A new tool for searching sweet spots by using gradient boosting decision trees and generative adversarial networks. In Proceedings of the International Petroleum Technology Conference, Dhahran, Saudi Arabia, 13 January 2020. [Google Scholar]
- Asante-Okyere, S.; Shen, C.; Ziggah, Y.Y.; Rulegeya, M.M.; Zhu, X. A novel hybrid technique of integrating gradient-boosted machine and clustering algorithms for lithology classification. Nat. Resour. Res. 2020, 29, 2257–2273. [Google Scholar] [CrossRef]
- Sun, J.; Chen, M.; Li, Q.; Ren, L.; Dou, M.; Zhang, J. A new method for predicting formation lithology while drilling at horizontal well bit. J. Pet. Sci. Eng. 2021, 196, 107955. [Google Scholar] [CrossRef]
- Han, R.; Wang, Z.; Wang, W.; Xu, F.; Qi, X.; Cui, Y. Lithology identification of igneous rocks based on XGboost and conventional logging curves, a case study of the eastern depression of Liaohe Basin. J. Appl. Geophys. 2021, 195, 104480. [Google Scholar] [CrossRef]
- Liu, J.-J.; Liu, J.-C. Integrating deep learning and logging data analytics for lithofacies classification and 3D modeling of tight sandstone reservoirs. Geosci. Front. 2022, 13, 101311. [Google Scholar] [CrossRef]
- Liu, J.-J.; Liu, J.-C. An intelligent approach for reservoir quality evaluation in tight sandstone reservoir using gradient boosting decision tree algorithm-A case study of the Yanchang Formation, mid-eastern Ordos Basin, China. Mar. Pet. Geol. 2021, 126, 104939. [Google Scholar] [CrossRef]
- Gu, J.; Liu, W.; Zhang, K.; Zhai, L.; Zhang, Y.; Chen, F. Reservoir production optimization based on surrograte model and differential evolution algorithm. J. Pet. Sci. Eng. 2021, 205, 108879. [Google Scholar] [CrossRef]
- Liu, W.; Liu, W.D.; Gu, J. Predictive model for water absorption in sublayers using a Joint Distribution Adaption based XGBoost transfer learning method. J. Pet. Sci. Eng. 2020, 188, 106937. [Google Scholar] [CrossRef]
- Otchere, D.A.; Ganat, T.O.A.; Gholami, R.; Lawal, M. A novel custom ensemble learning model for an improved reservoir permeability and water saturation prediction. J. Nat. Gas. Sci. Eng. 2021, 91, 103962. [Google Scholar] [CrossRef]
- Pan, S.; Zheng, Z.; Guo, Z.; Luo, H. An optimized XGBoost method for predicting reservoir porosity using petrophysical logs. J. Pet. Sci. Eng. 2022, 208, 109520. [Google Scholar] [CrossRef]
- Morozov, A.D.; Popkov, D.O.; Duplyakov, V.M.; Mutalova, R.F.; Osiptsov, A.A.; Vainshtein, A.L.; Burnaev, E.V.; Shel, E.V.; Paderin, G.V. Data-driven model for hydraulic fracturing design optimization: Focus on building digital database and production forecast. J. Pet. Sci. Eng. 2020, 194, 107504. [Google Scholar] [CrossRef]
- Tang, J.; Fan, B.; Xiao, L.; Tian, S.; Zhang, F.; Zhang, L.; Weitz, D. A New Ensemble Machine-Learning Framework for Searching Sweet Spots in Shale Reservoirs. SPE J. 2021, 26, 482–497. [Google Scholar] [CrossRef]
- Zhong, R.; Johnson, R., Jr.; Chen, Z. Generating pseudo density log from drilling and logging-while-drilling data using extreme gradient boosting (XGBoost). Int. J. Coal Geol. 2020, 220, 103416. [Google Scholar] [CrossRef]
- Pirizadeh, M.; Alemohammad, N.; Manthouri, M.; Pirizadeh, M. A new machine learning ensemble model for class imbalance problem of screening enhanced oil recovery methods. J. Pet. Sci. Eng. 2021, 198, 108214. [Google Scholar] [CrossRef]
- Qaid, T.S.; Mazaar, H.; Al-Shamri, M.Y.H.; Alqahtani, M.S.; Raweh, A.A.; Alakwaa, W. Hybrid Deep-Learning and Machine-Learning Models for Predicting COVID-19. Comput. Intell. Neurosci. 2021, 2021, 9996737. [Google Scholar] [CrossRef]
- Ruan, Z.; Yu, B.; Wang, L.; Pan, Y.; Tan, G. Prediction of buried calcite dissolution in the Ordovician carbonate reservoir of the Tahe Oilfield, NW china: Evidence from formation water. Geochemistry 2013, 73, 469–479. [Google Scholar] [CrossRef]
- Chen, Q.; Zhao, Y.; Li, G.; Chu, C.; Wang, B. Features and controlling factors of epigenic karstification of the Ordovician carbonates in Akekule Arch, Tarim Basin. J. Earth Sci. 2012, 23, 506–515. [Google Scholar] [CrossRef]
- Tian, F.; Wang, Z.; Cheng, F.; Xin, W.; Fayemi, O.; Zhang, W.; Shan, X. Three-dimensional geophysical characterization of deeply buried paleokarst system in the Tahe Oilfield, Tarim Basin, China. Water 2019, 11, 1045. [Google Scholar] [CrossRef]
- Ding, Z.; Wang, R.; Chen, F.; Yang, J.; Zhu, Z.; Yang, Z.; Sun, X.; Xian, B.; Li, E.; Shi, T.; et al. Origin, hydrocarbon accumulation and oil-gas enrichment of fault-karst carbonate reservoirs: A case study of Ordovician carbonate reservoirs in South Tahe area of Halahatang oilfield, Tarim Basin. Pet. Explor. Dev. 2020, 47, 306–317. [Google Scholar] [CrossRef]
- Wu, J.; Fan, T.; Gomez-Rivas, E.; Gao, Z.; Yao, S.; Li, W.; Zhang, C.; Sun, Q.; Gu, Y.; Xiang, M. Impact of pore structure and fractal characteristics on the sealing capacity of Ordovician carbonate cap rock in the Tarim Basin, China. Mar. Pet. Geol. 2019, 102, 557–579. [Google Scholar] [CrossRef]
- Zhang, S.; Jin, Q.; Sun, J.; Wei, H.; Cheng, F.; Zhang, X. Formation of hoodoo-upland on Ordovician karst slope and its significance in petroleum geology in Tahe area, Tarim Basin, NW China. Pet. Explor. Dev. 2021, 48, 354–366. [Google Scholar] [CrossRef]
- Rao, H.; Shi, X.; Rodrigue, A.K.; Feng, J.; Xia, Y.; Elhoseny, M.; Yuan, X.; Gu, L. Feature selection based on artificial bee colony and gradient boosting decision tree. Appl. Soft Comput. J. 2019, 74, 634–642. [Google Scholar] [CrossRef]
- Friedman, J.H. Greedy function approximation: A gradient boosting machine. Ann. Stat. 2001, 29, 1189–1232. [Google Scholar] [CrossRef]
- Li, D.; Faradonbeh, R.S.; Lv, A.; Wang, X.; Roshan, H. A data-driven field-scale approach to estimate the permeability of fractured rocks. Int. J. Min. Reclam. Environ. 2022, 36, 671–687. [Google Scholar] [CrossRef]
- Zhu, X.; Chu, J.; Wang, K.; Wu, S.; Yan, W.; Chiam, K. Prediction of rockhead using a hybrid N-XGBoost machine learning framework. J. Rock Mech. Geotech. Eng. 2021, 13, 1231–1245. [Google Scholar] [CrossRef]
- Cui, J.-F.; Xia, H.; Zhang, R.; Hu, B.-X.; Cheng, X.-G. Optimization scheme for intrusion detection scheme GBDT in edge computing center. Comput. Commun. 2020, 168, 136–145. [Google Scholar] [CrossRef]
- Ma, X.; Sha, J.; Wang, D.; Yu, Y.; Yang, Q.; Niu, X. Study on a prediction of P2P network loan default based on the machine learning LightGBM and XGboost algorithms according to different high dimensional data cleaning. Electron. Commer. Res. Appl. 2018, 31, 24–39. [Google Scholar] [CrossRef]
- Ke, G.; Meng, Q.; Finley, T.; Wang, T.; Chen, W.; Ma, W.; Ye, Q.; Liu, T.-Y. Lightgbm: A highly efficient gradient boosting decision tree. Adv. Neural. Inf. Process. Syst. 2017, 30, 3146–3154. [Google Scholar]
- Koponen, J.-P. Predicting Lead Times of Purchase Orders Using Gradient Boosting Machine. Master’s Thesis, Lappeenranta-Lahti University of Technology LUT, Lappeenranta, Finland, 2020. [Google Scholar]
- González, S.; García, S.; Del Ser, J.; Rokach, L.; Herrera, F. A practical tutorial on bagging and boosting based ensembles for machine learning: Algorithms, software tools, performance study, practical perspectives and opportunities. Inf. Fusion 2020, 64, 205–237. [Google Scholar] [CrossRef]
- Wang, M.; Yue, L.; Yang, X.; Wang, X.; Han, Y.; Yu, B. Fertility-LightGBM: A fertility-related protein prediction model by multi-information fusion and light gradient boosting machine. Biomed. Signal Process. Control 2021, 68, 102630. [Google Scholar] [CrossRef]
- Liu, J.; Gao, Y.; Hu, F. A fast network intrusion detection system using adaptive synthetic oversampling and LightGBM. Comput. Secur. 2021, 106, 102289. [Google Scholar] [CrossRef]
- Prokhorenkova, L.; Gusev, G.; Vorobev, A.; Dorogush, A.V.; Gulin, A. CatBoost: Unbiased boosting with categorical features. arXiv 2017, arXiv:1706.09516. [Google Scholar]
- Dorogush, A.V.; Ershov, V.; Gulin, A. CatBoost: Gradient boosting with categorical features support. arXiv 2018, arXiv:1810.11363. [Google Scholar]
- Dhananjay, B.; Sivaraman, J. Analysis and classification of heart rate using CatBoost feature ranking model. Biomed. Signal Process. Control 2021, 68, 102610. [Google Scholar] [CrossRef]
- Rahman, S.; Irfan, M.; Raza, M.; Ghori, K.M.; Yaqoob, S.; Awais, M. Performance analysis of boosting classifiers in recognizing activities of daily living. Int. J. Environ. Res. Public Health 2020, 17, 1082. [Google Scholar] [CrossRef]
- Huang, G.; Wu, L.; Ma, X.; Zhang, W.; Fan, J.; Yu, X.; Zeng, W.; Zhou, H. Evaluation of CatBoost method for prediction of reference evapotranspiration in humid regions. J. Hydrol. 2019, 574, 1029–1041. [Google Scholar] [CrossRef]
- Geldmacher, J.E. Convolutional Neural Networks for Feature Extraction and Automated Target Recognition in Synthetic Aperture Radar Images. Master’s Thesis, Naval Postgraduate School, Monterey, CA, USA, 2020. [Google Scholar]
- Murali, S.; Deepu, R.; Shivamurthy, R.C. ResNet-50 vs VGG-19 vs Training from Scratch: A comparative analysis of the segmentation and classification of Pneumonia from chest x-ray images. Glob. Transit. Proc. 2021, 2, 375–381. [Google Scholar]
- Rahman, M.; Cao, Y.; Sun, X.; Li, B.; Hao, Y. Deep pre-trained networks as a feature extractor with XGBoost to detect tuberculosis from chest X-ray. Comput. Electr. Eng. 2021, 93, 107252. [Google Scholar] [CrossRef]
- Simonyan, K.; Zisserman, A. Very deep convolutional networks for large-scale image recognition. arXiv 2014, arXiv:1409.1556. [Google Scholar]
- Grycza, J.; Horna, D.; Klimczak, H.; Lango, M.; Pluciński, K.; Stefanowski, J. Multi-Imbalance: Open Source Python Toolbox for Multi-class Imbalanced Classification. In Lecture Notes in Computer Science (Including Subseries Lecture Notes in Artificial Intelligence and Lecture Notes in Bioinformatics); Springer: New York, NY, USA, 2021; Volume 12461. [Google Scholar] [CrossRef]
- Rodríguez, J.J.; Diez-Pastor, J.-F.; Arnaiz-Gonzalez, A.; Kuncheva, L.I. Random Balance ensembles for multiclass imbalance learning. Knowl. Based Syst. 2020, 193, 105434. [Google Scholar] [CrossRef]
- Chen, X.; Yu, D.; Fan, X.; Wang, L.; Chen, J. Multiclass Classification for Self-Admitted Technical Debt Based on XGBoost. IEEE Trans. Reliab. 2021, 71, 1309–1324. [Google Scholar] [CrossRef]
- Berrar, D. Performance Measures for Binary Classification. In Encyclopedia of Bioinformatics and Computational Biology: ABC of Bioinformatics; Elsevier: Amsterdam, The Netherlands, 2019; Volume 1–3, pp. 546–560. [Google Scholar] [CrossRef]
- Bradley, A.P. The Use of the Area under the Roc Curve in the Evaluation of Machine Learning Algorithms. Pattern Recognit. 1997, 30, 1145–1159. [Google Scholar] [CrossRef]
- Hou, S.; Liu, Y.; Yang, Q. Real-time prediction of rock mass classification based on TBM operation big data and stacking technique of ensemble learning. J. Rock Mech. Geotech. Eng. 2021, 14, 123–143. [Google Scholar] [CrossRef]
- Zhou, J.; Li, E.; Yang, S.; Wang, M.; Shi, X.; Yao, S.; Mitri, H.S. Slope stability prediction for circular mode failure using gradient boosting machine approach based on an updated database of case histories. Saf. Sci. 2019, 118. [Google Scholar] [CrossRef]
- Jain, S.; Saha, A. Improving performance with hybrid feature selection and ensemble machine learning techniques for code smell detection. Sci. Comput. Program 2021, 212, 102713. [Google Scholar] [CrossRef]
- El Alani, O.; Abraim, M.; Ghennioui, H.; Ghennioui, A.; Ikenbi, I.; Dahr, F.-E. Short term solar irradiance forecasting using sky images based on a hybrid CNN–MLP model. Energy Rep. 2021, 7, 888–900. [Google Scholar] [CrossRef]
- Del Frate, F.; Pacifici, F.; Schiavon, G.; Solimini, C. Use of neural networks for automatic classification from high-resolution images. IEEE Trans. Geosci. Remote Sens. 2007, 45, 800–809. [Google Scholar] [CrossRef]
- Haghighat, F. Predicting the trend of indicators related to COVID-19 using the combined MLP-MC model. Chaos Solitons Fractals 2021, 152, 111399. [Google Scholar] [CrossRef]
- Zheng, S.; Yang, M.; Kang, Z.; Liu, Z.; Long, X.; Liu, K.; Li, X.; Zhang, S. Controlling factors of remaining oil distribution after water flooding and enhanced oil recovery methods for fracture-cavity carbonate reservoirs in Tahe Oilfield. Pet. Explor. Dev. 2019, 46, 786–795. [Google Scholar] [CrossRef]


















| AUC Values | Interpretation |
|---|---|
| 0.5–0.6 | Not discrimination |
| 0.6–0.7 | Poor discrimination |
| 0.7–0.8 | Fair discrimination |
| 0.8–0.9 | Good discrimination |
| 0.9–1 | Excellent discrimination |
| Models | Parameters | Case A | Case B | ||||
|---|---|---|---|---|---|---|---|
| F1-Score | Weight-G-Mean | Micro-G-Mean | F1-Score | Weight-G-Mean | Micro-G-Mean | ||
| CatBoost | Min | 0.82 | 0.80 | 0.89 | 0.83 | 0.73 | 0.90 |
| Q1 | 0.82 | 0.89 | 0.89 | 0.84 | 0.84 | 0.91 | |
| Median | 0.83 | 0.91 | 0.90 | 0.85 | 0.88 | 0.91 | |
| Mean | 0.83 | 0.89 | 0.90 | 0.85 | 0.86 | 0.91 | |
| Q3 | 0.85 | 0.92 | 0.91 | 0.86 | 0.89 | 0.92 | |
| Max | 0.86 | 0.92 | 0.92 | 0.87 | 0.91 | 0.93 | |
| LightGBM | Min | 0.87 | 0.80 | 0.92 | 0.90 | 0.71 | 0.94 |
| Q1 | 0.88 | 0.94 | 0.93 | 0.92 | 0.78 | 0.95 | |
| Median | 0.89 | 0.93 | 0.94 | 0.93 | 0.85 | 0.96 | |
| Mean | 0.89 | 0.91 | 0.94 | 0.92 | 0.83 | 0.96 | |
| Q3 | 0.90 | 0.94 | 0.94 | 0.93 | 0.88 | 0.96 | |
| Max | 0.91 | 0.94 | 0.94 | 0.94 | 0.91 | 0.96 | |
Disclaimer/Publisher’s Note: The statements, opinions and data contained in all publications are solely those of the individual author(s) and contributor(s) and not of MDPI and/or the editor(s). MDPI and/or the editor(s) disclaim responsibility for any injury to people or property resulting from any ideas, methods, instructions or products referred to in the content. |
© 2023 by the authors. Licensee MDPI, Basel, Switzerland. This article is an open access article distributed under the terms and conditions of the Creative Commons Attribution (CC BY) license (https://creativecommons.org/licenses/by/4.0/).
Share and Cite
Kouassi, A.K.F.; Pan, L.; Wang, X.; Wang, Z.; Mulashani, A.K.; James, F.; Shaame, M.; Hussain, A.; Hussain, H.; Nyakilla, E.E. Identification of Karst Cavities from 2D Seismic Wave Impedance Images Based on Gradient-Boosting Decision Trees Algorithms (GBDT): Case of Ordovician Fracture-Vuggy Carbonate Reservoir, Tahe Oilfield, Tarim Basin, China. Energies 2023, 16, 643. https://doi.org/10.3390/en16020643
Kouassi AKF, Pan L, Wang X, Wang Z, Mulashani AK, James F, Shaame M, Hussain A, Hussain H, Nyakilla EE. Identification of Karst Cavities from 2D Seismic Wave Impedance Images Based on Gradient-Boosting Decision Trees Algorithms (GBDT): Case of Ordovician Fracture-Vuggy Carbonate Reservoir, Tahe Oilfield, Tarim Basin, China. Energies. 2023; 16(2):643. https://doi.org/10.3390/en16020643
Chicago/Turabian StyleKouassi, Allou Koffi Franck, Lin Pan, Xiao Wang, Zhangheng Wang, Alvin K. Mulashani, Faulo James, Mbarouk Shaame, Altaf Hussain, Hadi Hussain, and Edwin E. Nyakilla. 2023. "Identification of Karst Cavities from 2D Seismic Wave Impedance Images Based on Gradient-Boosting Decision Trees Algorithms (GBDT): Case of Ordovician Fracture-Vuggy Carbonate Reservoir, Tahe Oilfield, Tarim Basin, China" Energies 16, no. 2: 643. https://doi.org/10.3390/en16020643
APA StyleKouassi, A. K. F., Pan, L., Wang, X., Wang, Z., Mulashani, A. K., James, F., Shaame, M., Hussain, A., Hussain, H., & Nyakilla, E. E. (2023). Identification of Karst Cavities from 2D Seismic Wave Impedance Images Based on Gradient-Boosting Decision Trees Algorithms (GBDT): Case of Ordovician Fracture-Vuggy Carbonate Reservoir, Tahe Oilfield, Tarim Basin, China. Energies, 16(2), 643. https://doi.org/10.3390/en16020643

