Power Output Enhancement of Straight-Bladed Vertical-Axis Wind Turbines with Surrounding Structures
Abstract
:1. Introduction
2. Wind Tunnel Test Method
3. Output Performance Experiments Using Wind-Acceleration Structures
3.1. Geometry of the Wind-Acceleration Structures Used in the Experiment
3.2. Characteristics of Power Increase Caused by a Venturi-Shaped Structure with a Horizontal Cross-Section Symmetrical about the x-Axis and in the y-Direction
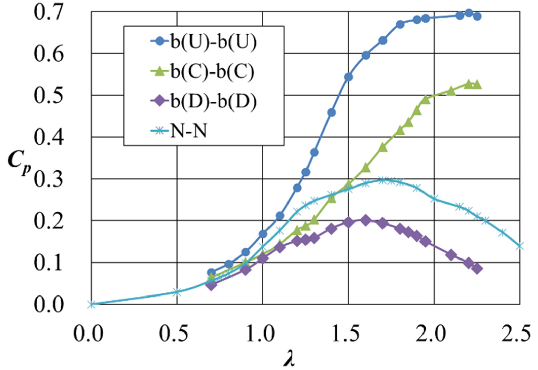
3.3. Characteristics of the Power Increase Caused by a Flat-Plate Structure with Horizontal Cross-Sectional Symmetry in the y-Direction about the x-Axis
3.4. Characteristics of Power Increase Caused by a Structure with an Asymmetric Horizontal Cross-Section in the y-Direction about the x-Axis
4. Discussion
4.1. Acceleration Effect of Wind Collection by Surrounding Structures


4.2. Difference in the Flow Field around a Venturi-Type Structure and a Flat-Plate-Type Additive
4.3. Low-Speed Effects Produced by Flat-Plate-Type Structures



4.4. Proposal of a Wind Collector Using a Flat-Plate-Type Additive
5. Conclusions
- When a Venturi-shaped structure is installed, it is more effective to make the cross-sectional shape of the Venturi curved rather than flat to increase the power output. In addition, if the projected area in the mainstream direction is the same, a higher output can be obtained by widening the outlet width of the Venturi, rather than by installing a brim, because the wind collection effect of the diffuser section is increased.
- When the flat-plate additive is installed upstream of the wind turbine, it has a high power increase effect. The power increase is 2.4 times that of a single wind turbine over a Venturi shape.
- A flat-plate additive needs to be installed upstream of the turbine because it generates an acceleration zone downstream of the plate.
- When installing asymmetrical additions, it is recommended to select additions with a cross-sectional shape that has a higher wind collection and acceleration effect and install them on both sides of the wind turbine to obtain a higher power increase. However, for the return-side blade, it is effective to install a flat plate in the upstream region. This is thought to be because the negative torque generated in the blade is mitigated by the creation of a low-speed region behind the flat plate.
- Based on these results, we proposed an addition of flat plates on both sides of the upstream region of a wind turbine. The application of peripheral additions is beneficial for performance improvement because a wind turbine with flat plates on both sides of the upstream region has an 8.8% higher performance than a wind turbine alone that is similarly enlarged to the same size as the additions.
Author Contributions
Funding
Data Availability Statement
Acknowledgments
Conflicts of Interest
Appendix A









References
- Ohya, Y.; Karasudani, T.; Sakurai, A.; Abe, K.; Inoue, M. Development of a shrouded wind turbine with a flanged diffuser. J. Wind Eng. Ind. Aerodyn. 2008, 96, 524–539. [Google Scholar] [CrossRef]
- Ohya, Y.; Karasudani, T. A shrouded wind turbine generating high output power with wind-lens technology. Energies 2010, 3, 634–649. [Google Scholar] [CrossRef]
- Gilbert, B.L.; Foreman, K.M. Experiments with a diffuser-augmented model wind turbine. J. Energy Resour. Technol. 1983, 105, 46–53. [Google Scholar] [CrossRef]
- Jamieson, P. Beating Betz.Energy Extraction Limits in a Constrained Flow Field. J. Sol. Energy Eng. 2009, 131, 031008. [Google Scholar] [CrossRef]
- Watanabe, K.; Takahashi, S.; Ohya, Y. Application of a Diffuser Structure to Vertical-Axis Wind Turbines. Energies 2016, 9, 406. [Google Scholar] [CrossRef]
- Shahizare, B.; Nik-Ghazali, N.; Chong, W.T.; Tabatabaeikia, S.; Izadyar, N.; Esmaeilzadeh, A. Novel Investigation of the Different Omni-direction-guide-vane Angles Effects on the Urban Vertical Axis Wind Turbine Output Power via Three-dimensional Numerical Simulation. Energy Convers. Manag. 2016, 117, 206–217. [Google Scholar] [CrossRef]
- Li, Y.; Zhao, S.; Qu, C.; Tong, G.; Feng, F.; Zhao, B.; Kotaro, T. Aerodynamic Characteristics of Straight-Bladed Vertical Axis Wind Turbine with a Curved-Outline Wind Gathering Device. Energy Convers. Manag. 2020, 203, 112249. [Google Scholar] [CrossRef]
- Altan, B.D.; Atılgan, M.; Özdamar, A. An Experimental Study on Improvement of a Savonius Rotor Performance with Curtaining. Exp. Therm. Fluid Sci. 2008, 32, 1673–1678. [Google Scholar] [CrossRef]
- Mohamed, M.H.; Janiga, G.; Pap, E.; Thévenin, D. Optimization of Savonius Turbines Using an Obstacle Shielding the Returning Blade. Renew. Energy 2010, 35, 2618–2626. [Google Scholar] [CrossRef]
- Takao, M.; Kuma, H.; Maeda, T.; Kamada, Y.; Oki, M.; Minoda, A. A Straight-Bladed Vertical Axis Wind Turbine with A Directed Guide Vane Row—Effect of Guide Vane Geometry on the Performance—. J. Therm. Sci. 2009, 18, 54–57. [Google Scholar] [CrossRef]
- Syawitri, T.P.; Yao, Y.; Chandra, B. Optimisation of straight plate upstream deflector for the performance enhancement of vertical axis wind turbine at low, medium and high regimes of tip speed ratios. Wind Eng. 2022, 46, 1487–1510. [Google Scholar] [CrossRef]
- Kim, D.; Gharib, M. Efficiency improvement of straight-bladed vertical-axis wind turbines with an upstream deflector. J. Wind Eng. Ind. Aerodyn. 2013, 115, 48–52. [Google Scholar] [CrossRef]
- Jin, X.; Wang, Y.; Ju, W.; He, J.; Xie, S. Investigation into Parameter Influence of Upstream Deflector on Vertical Axis Wind Turbines Output Power via Three-Dimensional CFD Simulation. Renew. Energy 2018, 115, 41–53. [Google Scholar] [CrossRef]
- Jiang, Y.; Zhao, P.; Zou, L.; Zong, Z.; Wang, K. Two-Dimensional Computational Fluid Dynamics Study on the Performance of Twin Vertical Axis Wind Turbine with Deflector. J. Energy Resour. Technol. 2020, 142, 081303. [Google Scholar] [CrossRef]
- Matsumoto, M. Investigation of the Shape and Arrangement of the Wind Collector Suitable for a Straight-Blade Vertical-Shaft Wind Turbine. Master’s Thesis, Kyushu University, Fukuoka, Japan, 2013. [Google Scholar]
- Watanabe, K.; Ohya, Y.; Karasudani, T. Development of a high-performance vertical axis wind turbine by a drive abstract principled method and an application of wind-energy collecting structure. In Proceedings of the 21th National Symposium on Wind Engineering, Tokyo, Japan, 1–3 December 2010; pp. 239–244. [Google Scholar]
- Battisti, L.; Zanne, L.; Dell’Anna, S.; Dossena, V.; Persico, G.; Paradiso, B. Aerodynamic Measurements on a Vertical Axis Wind Turbine in a Large Scale Wind Tunnel. J. Energy Resour. Technol. 2011, 133, 031201. [Google Scholar] [CrossRef]
- Ohya, Y.; Uchida, T.; Karasudani, T.; Hasegawa, M.; Kume, H. Numerical Studies of Flow around a Wind Turbine Equipped with a Flanged-Diffuser Shroud Using an Actuator-Disk Model. Wind Eng. 2012, 36, 455–472. [Google Scholar] [CrossRef]
- Watanabe, K.; Ohya, Y. A Simple Theory and Performance Prediction for a Shrouded Wind Turbine with a Brimmed Diffuser. Energies 2021, 14, 3661. [Google Scholar] [CrossRef]
- Horiuchi, K.; Sagara, K.; Seki, K. A Flow Analysis on Straight Wing Vertical Axis Wind Turbine using Numerical Simulation Model. In Proceedings of the JSES/JWEA Joint Conference, Fukuoka, Japan, 4–5 November 2004; pp. 313–316. [Google Scholar]
- Fujii, T.; Takuno, H.; Mizuno, A. Computational Fluid Dynamics of Straight Wing Vertical Axis Wind Turbine for Practical Design. In Proceedings of the Wind Energy Symposium, Tokyo, Japan, 27–28 November 2014; pp. 417–419. [Google Scholar]











| Device | Manufacturer | Model | Measurement Accuracy |
|---|---|---|---|
| Torque Detector | ONO SOKKI Co. Ltd. (Kanagawa, Japan) | SS-100 | ±0.2% F.S |
| Torque Converter | TS-2600 | ||
| AC Servo- Control System | SANYO DENKI Co. Ltd. (Tokyo, Japan) | PY0A 150A | - |
Disclaimer/Publisher’s Note: The statements, opinions and data contained in all publications are solely those of the individual author(s) and contributor(s) and not of MDPI and/or the editor(s). MDPI and/or the editor(s) disclaim responsibility for any injury to people or property resulting from any ideas, methods, instructions or products referred to in the content. |
© 2023 by the authors. Licensee MDPI, Basel, Switzerland. This article is an open access article distributed under the terms and conditions of the Creative Commons Attribution (CC BY) license (https://creativecommons.org/licenses/by/4.0/).
Share and Cite
Watanabe, K.; Matsumoto, M.; Nwe, T.; Ohya, Y.; Karasudani, T.; Uchida, T. Power Output Enhancement of Straight-Bladed Vertical-Axis Wind Turbines with Surrounding Structures. Energies 2023, 16, 6719. https://doi.org/10.3390/en16186719
Watanabe K, Matsumoto M, Nwe T, Ohya Y, Karasudani T, Uchida T. Power Output Enhancement of Straight-Bladed Vertical-Axis Wind Turbines with Surrounding Structures. Energies. 2023; 16(18):6719. https://doi.org/10.3390/en16186719
Chicago/Turabian StyleWatanabe, Koichi, Megumi Matsumoto, Thandar Nwe, Yuji Ohya, Takashi Karasudani, and Takanori Uchida. 2023. "Power Output Enhancement of Straight-Bladed Vertical-Axis Wind Turbines with Surrounding Structures" Energies 16, no. 18: 6719. https://doi.org/10.3390/en16186719
APA StyleWatanabe, K., Matsumoto, M., Nwe, T., Ohya, Y., Karasudani, T., & Uchida, T. (2023). Power Output Enhancement of Straight-Bladed Vertical-Axis Wind Turbines with Surrounding Structures. Energies, 16(18), 6719. https://doi.org/10.3390/en16186719

