Next Article in Journal
The Application of Barocaloric Solid-State Cooling in the Cold Food Chain for Carbon Footprint Reduction
Previous Article in Journal
Switching Operations in 110 kV Networks in the Context of Synchro-Check and Mitigation of Switching Stress by Utilizing Proper Control of Renewables and Energy Storages
 
 
Font Type:
Arial Georgia Verdana
Font Size:
Aa Aa Aa
Line Spacing:
Column Width:
Background:
Article

Influence of Thermionic Emission on He Ionization and Plasma Enhancement in Thermionic Energy Conversion

School of Energy and Environment, Southeast University, Nanjing 210096, China
*
Author to whom correspondence should be addressed.
Energies 2023, 16(18), 6435; https://doi.org/10.3390/en16186435
Submission received: 25 June 2023 / Revised: 3 August 2023 / Accepted: 31 August 2023 / Published: 5 September 2023
(This article belongs to the Section F3: Power Electronics)

Abstract

:
In this paper, the influence of thermionic emission on He ionization and plasma enhancement in thermionic energy conversion (TEC) are studied by experiment and numerical simulation. A 1D unsteady plasma TEC model, which includes a He ionization model, plasma conservation equations, and a thermionic emission formula for the wall, is developed. A He plasma thermionic energy conversion device composed of a barium–tungsten cathode and a tungsten anode is established. The volt–ampere curves of the He plasma TEC device are measured at 1050 K, 1150 K, 1250 K, 1300 K, and 1350 K temperatures. Both important cathode parameters, work function and emission area, are estimated. Based on the modelling simulation and the experiment, the He ionization mechanism in plasma TEC is discovered. The effects of cathode temperature on several distributions of plasma reaction rates, particle number density, and potential in He plasma TEC are described. Some important parameters, including electron mobility, resistivity, and plasma equilibrium are analyzed. The relationship of thermionic emission on plasma enhancement to the output power of plasma TEC is presented. The output powers of plasma TEC and vacuum TEC are compared at various cathode temperatures. A dimensionless analyzing method concerning thermionic emission intensity and plasma enhancement power is proposed. A brief dimensionless relationship is deduced regarding thermionic emission intensity and the plasma enhancement contribution of TEC. The principles and methods for quantitative calculations concerning the output power of plasma TEC under the action of thermionic emission are established. It is possible to do quantitative research on the effects of thermionic emission on plasma-enhanced TEC.

1. Introduction

The thermionic energy converter (TEC) is an important technology in energy engineering. It can convert thermal energy into electrical energy directly without any moving machinery. Thermionic emission is a key method for achieving thermoelectric energy conversion. When the cathode of a TEC is heated to a high temperature, thermal electrons escape from the surface and form thermionic emissions. The phenomenon of thermionic emission was discovered by Thomas Edison in 1885 [1]. Richardson gave a quantitative physical description of thermionic emission in 1902 [2]. Several scientists and inventors realized the possibility of using electron emission for energy conversion [3]. In the mid-1950s, the first experimental demonstration of the actual level of thermionic power generation was conducted by Marchuk in 1956 [4].
The main factors that affect the efficiency of the thermionic emission device are the work function and the space charge [5]. Work function is a surface parameter of a material, also known as work escaping [6]. It is the minimum energy required to emit electrons from a solid surface into a vacuum. In a thermionic energy converter, the work function is the energy barrier of the emitter. It prevents electrons escaping from the emitting electrode. As electrons are emitted into the space between the electrodes, the emitter will have a positive charge after losing some electrons. This forms a negative charge cloud near the surface of the emitter and impedes the emission of electrons. This leads to the so-called space charge effect [7]. Therefore, the energy conversion efficiency of a thermionic energy converter can be improved in these respects: the plasma atmosphere [8], optimization of cathode materials [9], advanced coating materials and methods [10], nano-material embedding [11], and external electric field application [12].
At present, the academic community has conducted in-depth analysis on thermionic energy conversion devices and improved the efficiency of thermoelectric conversion through various optimizations. It is still important to find more solutions. In the study of Bellucci and Mastellone [5], a hybrid thermionic–photovoltaic device is provided. In the research of J.R. Smith and G.L. Bilbro [13], a negative electron affinity (NEA) diamond surface is employed. This is an emitter electrode in a vacuum thermionic energy conversion device in order to mitigate the negative space charge effect. In a study by Mohammad Ghashami and Sung Kwon Cho [14], a new energy-harvesting concept is proposed. They enhance thermionic power generation greatly with high efficiency by exploiting the near-field enhancement of thermal radiation. In a study by F.A.M. Koeck and J.M. Garguillo [15], the possibility of a low-temperature nanocrystalline diamond-based thermionic energy conversion system is presented. In a study by Gang Xiao and Guanghua Zheng [16], a structural design for thermionic energy converters and a top–bottom configuration of solar-electricity systems are suggested for practical applications.
In other studies, using cesium plasma instead of vacuum has become one of the main ways to improve TEC efficiency [17,18]. Therefore, the influence of another rare gas, He, as a plasma gas on TEC efficiency is considered. In this study, the effects of temperature and an external electric field on the efficiency of He plasma TEC are discussed experimentally. Meanwhile, TEC efficiency under a He atmosphere and vacuum are compared by simulation. The improvements in efficiency with He plasma are analyzed according to the simulation results.

2. Theoretical and Experimental Approach

Firstly, the model of a thermionic electron emission device in a He atmosphere is established. The main working principle of the device is shown in Figure 1.
In Figure 1, the cathode is a barium–tungsten electrode. The anode is a molybdenum electrode. The gas between the electrodes is He. The x coordinate represents the distance to the cathode. When the cathode is heated to a high temperature, thermal electrons will escape from the surface. He between the electrodes will react with electrons to form plasma. This will promote the transmission of electrons from cathode to anode.
Some parameters of the plasma field are very difficult to measure directly. Through simulation, calculations, and experimental results, these parameters can be determined.

2.1. He Ionization Model

The main reactions in He ionization are the following steps [19,20]:
(1)
e + He → e + He
(2)
e + He → e + He*
(3)
e + He → 2e + He+
where Reaction (1) is a collision reaction. In this reaction, there is only a physical collision between a helium atom and an electron, without any excited state or transition occurring. Reaction (2) is an excitation reaction. In this reaction, the energy of a helium atom increases to an excited state (He*) after collision with an electron. Reaction (3) is an ionization reaction. In this reaction, the collision of helium and energetic electrons produces a helium ion and two electrons. The collision’s cross-section data can be obtained from the studies of several researchers [19]. The reaction rates can be calculated based on the solution of the Boltzmann equation using the two-term approximation.

2.2. Plasma Conservation Equations

The plasma TEC model contains thermal electron emission on the electrode surface and a plasma field. It is mainly composed of two parts: the plasma field equations and the thermal electron wall emission formulas.
The plasma field equations are as follows [21,22].
Electric field equation:
E = V
where E and V are vectors representing electric field intensity and electric potential, respectively.
Electronic continuity equation:
n e t + Γ ε = R e ( u ) n e
where ne is the electron density, u is the velocity vector, Re is the electron generation rate, and Γe is the electron flux.
Electron energy equation:
n ε t + Γ ε + E Γ ε = S e n ( u ) n ε + ( Q + Q g e n ) / e
where n ε is the electron energy density, Γε is the electron energy flux, E is the electric field, Sen is the energy loss/gain due to inelastic collisions, Q is the external heat source, Qgen is the generalized heat source, and e is the electronic charge constant.
Ionic continuity equation:
n l t + Γ l + E Γ e = S e n ( u ) n l + ( Q + Q g e n ) / e
where n l is the ionic density and Γ l is the ionic flux.
Electron density and electron energy are computed according to Equations (2) and (3). Transport properties and source coefficients are required for computing the equations. These coefficients can be calculated from collision cross-section data [20] and the electron energy distribution function (EEDF). The EEDF is computed explicitly with the Boltzmann equation using the two-term approximation.
The second part of thermal electron emission from the wall is described by the Richardson–Dushman equation as follows [2]:
J 0 = A T 2 exp ( φ k T )
where J0 is the emission current flux on the cathode surface (Figure 1), T is the temperature of the cathode, φ is the work function of the cathode, k is the Boltzmann constant, and A is the Richardson constant.

2.3. Experimental Setup

The experimental device for plasma TEC is shown in Figure 2.
In Figure 2, the thermionic emission device is composed of a sealed cavity, cathode, anode, heating filament, and load resistance. The sealed cavity is a quartz tube. The quartz tube is filled with 99.9% purity helium at atmospheric pressure. The pressure is then pumped up to 1000 Pa by a vacuum pump and the quartz tube is sealed. The helium pressure is measured by a vacuum thermocouple gauge. The temperature of the cathode is measured by a type-k thermocouple. The cathode material is barium–tungsten. The work function of the cathode is about 1.5–2.0 eV. The anode material is tungsten, and its work function is 4.5 eV. The heating filament is heated by a low-voltage DC power supply. The cathode is then heated by a heating filament in a non-contact thermal radiation. The distance between the cathode and the receiving electrode is 1 mm.
The circuit inside the sealed chamber is connected to the auxiliary circuit through the wiring terminal at the tube end. In the electrical diagram, the heating circuit uses a 0–12 V adjustable DC power supply. This can control the cathode temperature from 1000 to 1500 K. He atoms are ionized by thermionic emission. The thermal energetic electron flux migrates from the emission cathode to the anode, and then flows through the external load circuit. This current is measured by a microammeter (type C31-μA, range 0–1000 μA). This is an experimental TEC device.

2.4. Work Function and Emission Area Estimation

The properties of the thermal electron emission electrode have a significant impact on plasma TEC. The work function φ and thermal electron emission area S are the two main characteristic parameters. Unfortunately, neither of the two parameters can be accurately measured directly in this experiment. Therefore, we adopt a combination of experimental and simulation calculations to determine the values of these two parameters indirectly.
The experimental results are shown in Figure 3 using dot representations. This shows the typical voltametric characteristics of thermionic emission under a rarefied atmosphere. It is an important basis for determining these parameters through calculation.
By using the He plasma reaction mechanism model, plasma field model, and wall thermal emission formula, the experimental process in this paper can be numerically simulated. The numerical simulation is a 1D calculation.
In order to determine the work function, φ is tentatively selected within the range of 1.2–2.0 eV to simulate the plasma field. Through multiple calculations with different values of φ, the theoretical calculation and experimental results are in best agreement at φ = 1.6 eV (see Figure 3). Therefore, the work function of the experimental emitter material is determined to be 1.6 eV. This is consistent with the properties of barium–tungsten electrodes.
In Figure 3, the simulation is consistent with experimental results, as φ = 1.60 eV. When the external voltage is low (Uin ≤ 50 V), the deviation between the experimental and simulated results is significant. The experimental values are smaller than the simulated values in this condition. This may be due to the insufficient accuracy of the experimental electricity meters. When the values are too small, it is difficult for the meters to measure results accurately.
Another parameter that affects the numerical calculation of plasma TEC is the electron emission area on the wall. Based on φ = 1.6 eV, the He plasma field of plasma TEC can be described by simulation. Therefore, the conductivity of the plasma field can be calculated.
As is well known, the electron flux of plasma TEC completely depends on the thermal electron emission flux on the cathode wall. Therefore, the thermal electron emission area can be determined by comparison of the theoretical calculation results for plasma conductivity and the experimental resistance value. The relevant calculation results are shown in Table 1.
According to Table 1, there is a substantial error in the result at 1050 K. A possible reason is that there is a large deviation in the readings of the microampere meter when the current value is too small. Another possibility is that plasma may be unstable while the temperature is low (1050 K). This causes an abnormal result. Therefore, the result at this temperature is excluded. The average value S ¯ of the electron emission area results is 6.38 × 10−7 m2. ∆ is the mean deviation of the effective thermionic emission area, where = 1 S / S ¯ . All errors ∆ are small. Possible reasons for the errors include current reading error, material work function error, and experimental temperature error.
In conclusion, the experiment and simulation results are reliable at high temperatures (above 1150 K). The resistance of plasma TEC decreases with increasing temperature. Therefore, high temperature is an important way to increase the thermoelectric conversion efficiency of plasma TEC.

3. Results and Discussion

Using the work function and the emission area of the cathode obtained from the above section, the He ionization model and plasma model, including thermionic emission on the wall, can be numerically simulated reliably. The external voltage is set to 100 V. The characteristics of He plasma TEC can be analyzed depending on the simulation results. The He ionization mechanism in TEC and the enhancement effects of plasma on TEC are discussed.

3.1. He Ionization Mechanism in TEC

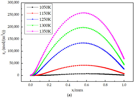
According to the He plasma reaction model, the reaction rates at different temperature are shown in Figure 4.
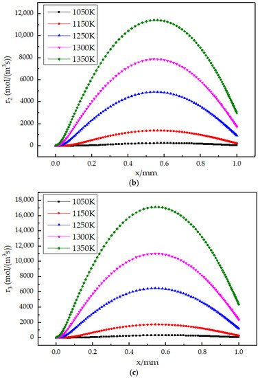
In Figure 4, x is the distance to the cathode wall. Thermionic emission is at x = 0.0 mm (cathode). At the same temperature, Reaction (1)’s rate is the maximum, Reaction (3)’s rate is second, and Reaction (2)’s rate is the minimum. The reaction rate depends on the reactants’ concentrations and temperature. Therefore, He’s number density is higher than for He+ and He+’s number density is higher than for He*. The maximum reaction rates are all at x = 0.6 mm. All reaction rates increase with a cathode temperature increment. Thus, the number density of He plasma increases with a cathode temperature increment. The maximum reaction rate (1) increases from 7010 to 259,000 mol/(m3s) with cathode temperature increasing from 1050 to 1350 K. The maximum reaction rate (2) increases from 248 to 11,400 mol/(m3s) and the maximum reaction rate (3) increases from 323 to 17,100 mol/(m3s) with the same cathode temperature increment. With cathode temperature increasing, the thermionic emission flux on the cathode wall increases, thereby increasing the He ionization reaction rate.
Electron mobility in the plasma region with thermionic emission is shown in Figure 5.
In Figure 5, electron mobility increases with increasing thermionic emission temperature. Electron mobility in the plasma field reflects the electronic transport capacity of He plasma TEC. Therefore, the electronic transport capacity of He plasma TEC increases with an increase in cathode temperature.
The number density distributions of different particles between the electron emission electrode and the receiving electrode are shown in Figure 6.
In Figure 6a,b, the number densities of e and He+ are almost the same. This satisfies the conditions for plasma generation. The number density distributions of e and He+ are consist with the reaction rate distributions. The maximum number densities are in the middle between the electrodes (x = 0.6 mm). The number densities at the receiving electrode are higher than at the cathode. Meanwhile, the number density of He* distributes symmetrically between the electrodes, without deviation to the cathode. Therefore, the asymmetric distributions of e and He+ number densities are due to the electric field between electrodes. The number densities of e, He+, and He* all increase with the increment in cathode temperature in Figure 6. This is consistent with the effect of cathode temperature on reaction rates.
In the plasma field, the distributions of electrons, He ions, and excited particles He* are closely related to the distributions of ionization reaction rates. The influence of the thermionic emission of the cathode wall on the spatial charge distribution of the plasma field is the same as that of the ionization reaction rate. Therefore, increasing cathode temperature increases the average charge density of the plasma field. The thermionic emission enhances the intensity of the plasma field.
Next, the effect of thermionic emission on the equilibrium of the plasma field is explored by observing the nonequilibrium of electron and He+ ion space distributions in plasma fields. The density distributions of e and He+ between electrodes at cathode temperatures of 1050 K, 1150 K, 1250 K, 1300 K, and 1350 K are shown in Figure 7.
In Figure 7a, the number densities of e and He+ cannot reach an equilibrium at 1050 K. The maximum number density is 1.10 × 1018 m−3 at x = 0.6 mm. At 1150 K, the number densities of e and He+ reach equilibrium in the range of x = 0.26 mm~0.89 mm. The maximum number density is 7.32 × 1018 m−3 at x = 0.6 mm. At 1250 K, the number densities of e and He+ reach equilibrium in the range of x = 0.16 mm~0.95 mm. The maximum number density is 2.71 × 1019 m−3 at x = 0.6 mm. At 1300 K, the number densities of e and He+ reach equilibrium in the range of x = 0.13 mm~0.97 mm. The maximum number density is 4.41 × 1019 m−3 at x = 0.6 mm. At 1350 K, the number densities of e and He+ reach equilibrium in the range of x = 0.12 mm~1.00 mm. The maximum number density is 6.48 × 1019 m−3 at x = 0.6 mm. Therefore, the equilibrium plasma range and plasma number density increase with a cathode temperature increment.
In plasma TEC, electrons are emitted from the cathode and react with He. This results in a nonequilibrium space charge near the cathode. Electrons are not absorbed by the anode in time and gather near the anode. This results in a nonequilibrium space charge near the anode. The ionization reaction rate increases with a cathode temperature increment (Figure 4). At 1050 K, the reaction rate is small; thus, the charge cannot reach equilibrium. When the cathode temperature increases, the electron emission flux increases and the ionization reaction rate increases; thus, plasma number density increases. Electron mobility increases with the plasma number density increment; thus, the nonequilibrium of space charge decreases.
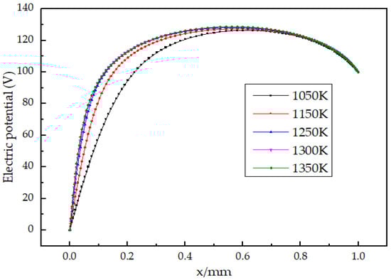
The electrical potential distribution between the cathode and anode is shown in Figure 8. At x = 0.0~0.6 mm, the potential between electrodes increases with the distance x. This is due to the external electric field. At x = 0.6~1.0 mm, the potential between electrodes decreases with the distance x. This is due to the self-consistent charge field formed by electrons gathered near the cathode. Meanwhile, at x = 0.0~0.6 mm, the potential between electrodes increases with a cathode temperature increment. When x = 0.6~1.0 mm, the potential between electrodes changes little with a cathode temperature increment.
The spatial resistivity of the plasma field indicates the electron transport capability of the plasma. In order to explain the change in the output power of the plasma TEC, the effect of thermionic emission on the plasma spatial resistivity was studied. The resistivity distribution between the cathode and anode is shown in Figure 9.
In Figure 9, the resistivity distribution of He plasma TEC decreases with an increase in cathode temperature. Meanwhile, the resistivity distribution decreases an the increase in the plasma number density (Figure 6). The resistivity distribution reaches a minimum at x = 0.6 mm, where the number density of the plasma is at a maximum. Therefore, plasma is the way to reduce the internal resistance of TEC.
In He plasma TEC, the electron emission of the cathode increases with an increment in cathode temperature. This results in an increment in ionization reaction rates (Figure 4). Electron mobility then increases with an electron emission increment (Figure 5). This contributes to an increment in the plasma equilibrium (Figure 7) and electronic transport capacity (Figure 9) in He plasma TEC. In summary, thermionic emission affects the He ionization process and enhances electron transport in He plasma TEC. This improves the output power of plasma TEC.

3.2. Enhancement of He Plasma in Thermionic Energy Conversion

Originally, thermionic energy conversion operates under vacuum conditions. Under vacuum conditions, electrons accumulate on the surface of the cathode and form a surface potential barrier. This greatly increases the resistance of thermal electrons to the receiving electrode and seriously affects thermoelectric conversion efficiency.
The calculation formula for a theoretical saturation current flux under vacuum conditions under an external voltage is [1]:
J = A T 2 e x p [ ( e 3 2 ( U d ) 1 2 - φ ) / k T ]
where A is the Richardson constant, U is the external voltage, d is the distance between cathode and anode, T is the temperature of the cathode, φ is the work function of the cathode, and k is the Boltzmann constant.
On the other hand, the power of plasma TEC is simply calculated based on the 1D numerical simulation results:
P = J U
The output powers of vacuum TEC and plasma TEC at different cathode temperatures are shown in Figure 10.
Overall, both the output power of vacuum TEC and that of plasma TEC increase with increasing thermionic emission, and they also increase with increasing external potential. Comparing plasma TEC and vacuum TEC, the output power of plasma enhancement increases with an increase in thermionic emission. However, plasma TEC output power is almost the same as vacuum TEC at a cathode temperature of 1050 K. This is because there are some imbalances of positive and negative charges in the local region of plasma (Figure 7a). Therefore, plasma equilibrium is an important factor affecting the output power of plasma-enhanced TEC.
In order to further analyze the plasma enhancement effect on TEC output power, a plasma enhancement power parameter is defined by
ΔP = PplasmaPvacuum
where Pplasma and Pvacuum are, respectively, the output powers of both plasma TEC and vacuum TEC. ΔP is the contribution of plasma enhancement to TEC output power.
In Figure 10, the plasma enhancement of TEC output power increases with an increment in cathode temperature. The ΔP values are 3.9 W/m2, 22.8 W/m2, 88.5 W/m2, 152.4 W/m2, and 238.9 W/m2 at cathode temperatures of 1050 K, 1150 K, 1250 K, 1300 K, and 1350 K, respectively. Therefore, plasma enhancement of TEC output power increases with an increment in thermionic emission flux. This agrees with the conclusion of Section 3.1.
Next, a reference case of thermionic emission was selected as the reference ΔPref, with a dimensionless parameter ΔPPref representing the contribution of plasma enhancement power. Here, for the convenience of description, a cathode temperature of 1350 K was selected as a reference basis at ΔP1350K of the thermionic emission. The results are shown in Figure 11.
In Figure 11, the dimensionless contributions ΔPP1350K vary little with an increment in external voltage at the same temperature. Therefore, external voltage has little effect on the contributions of plasma enhancement. Thermionic emission flux is the key factor affecting the contribution of plasma enhancement to TEC output power.
In order to further study the effects of thermionic emission on plasma enhancement, we attempted to look for their quantitative relationship. Firstly, a new parameter J0/J01350K was used to investigate thermionic emission effects on TEC, where J0 is the thermionic emission flux (see Formula (5)). J01350K is the thermionic emission flux at a cathode temperature of 1350 K, serving as a dimensionless reference. It is easy to understand that the dimensionless thermionic emission J0/J01350K represents the intensity of thermionic emission.
Secondly, comparing the changes of ΔPP1350K and J0/J01350K at different cathode temperatures, we were surprised to find that the trends in ΔPP1350K and J0/J01350K at different cathode temperatures were completely consistent. The results are shown in Figure 12. Therefore, we can deduce that there is a quantitative relationship between ΔPP1350K and J0/J01350K. It is obvious that there is an approximate 1:1 linear relationship between ΔPP1350K and J0/J01350K, i.e.,
ΔPP1350KJ0/J01350K.
This is a very important result for quantitatively determining the increment in TEC output power enhanced by thermionic emission.
The mechanism analysis in Section 3.2 shows that an increase in electron emission flux on the cathode wall contributes to an increase in plasma number density. Meanwhile, the internal conductivity of plasma decreases with increasing thermionic emission intensity, and this means improvement of electric transformation in the plasma TEC. This improves the output power of plasma TEC. There is a certain quantitative relationship between the intensity of thermionic emission and particle concentration in the plasma field, as well as the internal electrical conductivity of the plasma.
Following the same dimensionless method, the number concentration NHe+ of the He+ ion and internal conductivity G in the plasma field are deduced. The reference basis of the dimensionless method is still 1350 K. The dimensionless number of the plasma NHe+/NHe+1350K and the electrical conductance G/G1350K of He plasma TEC are calculated. The results are shown in Figure 13 and Figure 14.
In Figure 13 and Figure 14, the trends of NHe+/NHe+1350K and G/G1350K changing with cathode temperature are both the same as that of J0/J01350K. Thus, there is a relationship:
J0/J01350K = NHe+/NHe+1350K = G/G1350K = ΔPP1350K.
This describes the mechanism by which thermionic emission flux affects the plasma enhancement of TEC output power. Equation (10) illustrates that plasma TEC appears to have some behaviors of a linear system under the action of thermionic emission. This provides for the possibility of quantitative research and calculation of the output power increment in plasma TEC by the thermionic emission effect.
In general, for a plasma TEC, any cathode temperature can be elected as a reference basis for the dimensionless method and does not change the property of Equation (10). Therefore, Equation (10) can be rewritten as
J0/J0O = NHe+/NHeO = G/GO = ΔPPO.
where J0O, NHeO, GO, and ΔPO are their vaults at reference cathode temperatures. Thermionic emission intensity is the key factor affecting the contribution of plasma enhancement to TEC output power and satisfies Equation (11). Based on this equation, the following formulas can be derived:
Δ P = Δ P T 0 J 0 J 0 T 0 = ( P 0 P v a c u u m T 0 ) ( T T 0 ) 2 exp ( φ k T 0 φ k T )
P = P v a c u u m + Δ P = P v a c u u m + ( P 0 P v a c u u m T 0 ) ( T T 0 ) 2 exp ( φ kT 0 φ kT )
where T0 is the reference temperature. Pvacuum can be calculated by Equations (6) and (7). When the plasma TEC output power P0 under a certain cathode temperature T0 is given, the output power of plasma TEC and plasma enhancement of TEC output power under different cathode temperatures can be calculated directly using Equations (12) and (13).

4. Conclusions

In this paper, experiment and numerical simulation were used to study the influence of thermionic emission on He ionization and plasma enhancement in thermionic energy conversion. A 1D unsteady plasma TEC model was developed in this study. The model includes a He ionization model, plasma conservation equations, and a thermionic emission formula for the wall. In order to study the influence of thermionic emission on TEC, a He plasma thermionic energy conservation device composed of a barium–tungsten cathode and a tungsten anode was established. In the thermionic emission experiment, the volt–ampere curves of the He plasma TEC device were measured at cathode temperatures of 1050 K, 1150 K, 1250 K, 1300 K, and 1350 K. The cathode work function was estimated to be 1.6 eV by fitting numerical simulation with experimental results. The thermionic emission area was determined to be 6.38 × 10−7 m2 by comparing the calculated plasma conductivity and experimental resistance values.
The influence of thermionic emission on He ionization mechanisms in plasma TEC mainly concentrates on some important parameters. Based on numerical simulation, the maximum ionization reaction rate increases from 323 mol/(m3s) to 17,100 mol/(m3s) and the maximum number density of He+ increases from 1.10 × 1018 m−3 to 6.48 × 1019 m−3 with cathode temperature increasing from 1050 K to 1350 K. The increase in thermionic emission results in an increment in the reaction rates and particle number density. Electron mobility is proportionate to the increased cathode temperature and increases from 145 m2/(Vs) to 186 m2/(Vs) with the same cathode temperature increment because electron transport capacity increases with the increment in plasma number density. Due to the different intensities of thermionic emission, there is a local plasma nonequilibrium phenomenon in the plasma field. It is hard for spatial charge in the plasma field to reach an equilibrium at a cathode temperature of 1050 K. The local spatial region of the plasma equilibrium increases from x = 0.26~0.89 mm to x = 0.12~1.00 mm with cathode temperature increasing from 1150 K to 1350 K. Therefore, the plasma equilibrium region increases with a thermionic emission flux increment. The effect of thermionic emission on the potential distribution of the plasma field is not obvious. Potential increases with a cathode temperature increment within the x = 0.0~0.6 mm spatial range and changes slightly with a cathode temperature increment within the x = 0.6~1.0 mm range. This demonstrates that an increment in thermionic emission flux results in an increment in the self-consistent charge field region, because electrons gather near the anode wall. The conductivity properties of plasma directly reflect the electron transport ability of the plasma field. Here, plasma resistivity decreases with an increment in cathode temperature. The minimum plasma resistivity decreases from 12,519 Ω/m to 165 Ω/m with cathode temperature increasing from 1050 K to 1350 K. Thus, thermionic emission improves the electron transport capacity of the plasma.
Increasing cathode temperature increases the electron emission flux on the cathode wall. The reaction rates and the plasma number density then increase. This reduces the plasma nonequilibrium region and improves electron transport ability. This means decreasing the internal resistivity of the plasma TEC. This improves the output power of plasma TEC.
Based on analyses of He ionization mechanisms and plasma enhancement of TEC, He plasma improvements to TEC output power were calculated under different thermionic emission cases. The output powers of plasma TEC and vacuum TEC were compared at cathode temperatures of 1050 K, 1150 K, 1250 K, 1300 K, and 1350 K. Their plasma enhancements of TEC output power, respectively, were 3.9 W/m2, 22.8 W/m2, 88.5 W/m2, 152.4 W/m2, and 238.9 W/m2. The dimensionless contributions of plasma enhancement to TEC output power ΔPP1350K and dimensionless thermionic emission flux J0/J01350K were introduced. The tendency of change in ΔPP1350K with cathode temperature is the same as that in J0/J01350K. An important equation, J0/J01350K = ΔPP1350K, was obtained. It is obvious that there is an approximate 1:1 linear relationship between ΔPP1350K and J0/J01350K. Further calculation under different external voltages confirms that the equation J0/J01350K = ΔPP1350K is reliable and not affected by external voltage.
Combined with the mechanism of electron emission flux increasing the output power of plasma TEC, two important intermediate parameters, the dimensionless He+ number of plasma NHe+/NHe+1350K and the dimensionless electric conductivity G/G1350K of He plasma TEC, were studied. The research results show that J0/J01350K = NHe+/NHe+1350K = G/G1350KPP1350K. Based on this equation, the output power of plasma TEC and plasma enhancements of TEC output power under different cathode temperatures can be calculated directly using Equations (12) and (13).
In summary, we explained the mechanism of the influence of thermal ion emission on the output power of plasma-enhanced plasma TEC. The results based on theoretical analysis indicate that plasma TEC has linear system characteristics under the effects of thermionic emission. A brief dimensionless relationship was presented regarding thermionic emission intensity and the plasma enhancement contribution of TEC. The principles and methods for quantitative calculation of plasma TEC output power under the action of thermionic emission were established.

Author Contributions

Conceptualization, F.G.; Methodology, F.G.; Software, C.J.; Formal analysis, C.J.; Data curation, C.J.; Writing—original draft, C.J.; Writing—review & editing, F.G. All authors have read and agreed to the published version of the manuscript.

Funding

This research received no external funding.

Data Availability Statement

Data is contained within the article. The data presented in this study are available in Gaseous Electronics, ISBN 978-084-933-763-5.

Conflicts of Interest

The authors declare no conflict of interest.

References

  1. Knight, R.D.; Jones, B.; Field, S. College Physics; Addison-Wesley: Boston, MA, USA, 2006; ISBN 978-080-531-696-4. [Google Scholar]
  2. Qian, Y.; Xu, Z. Semiconductor Physics; Chinese Higher Education Press: Beijing, China, 1999; ISBN 978-704-006-992-1. [Google Scholar]
  3. Ned, S.R. Thermionic Energy Conversion Plasmas. IEEE Trans. Plasma Sci. 1991, 19, 1191–1208. [Google Scholar]
  4. Shakouri, A.; Bian, Z.; Singh, R.; Zhang, Y.; Vashaee, D.; Humphrey, T.E.; Schmidt, H. Solid-State and Vacuum Thermionic Energy Conversion. In Materials Research Society Symposia Proceedings; Materials Research Society: Warrendale, PA, USA, 2011. [Google Scholar] [CrossRef]
  5. Bellucci, A.; Mastellone, M.; Serpente, V.; Girolami, M.; Kaciulis, S.; Mezzi, A.; Trucchi, D.M.; Antolín, E.; Villa, J.; Linares, P.G.; et al. Photovoltaic Anodes for Enhanced Thermionic Energy Conversion. ACS Energy Lett. 2020, 5, 1364–1370. [Google Scholar] [CrossRef]
  6. Bernstein, W.; Knechtli, R.C. A new approach to thermionic energy conversion: Space charge neutralization by an auxiliary discharge. Proc. IRE 1963, 49, 1932–1936. [Google Scholar] [CrossRef]
  7. Wang, X.; Ye, D.; Gu, F. Investigation of the Characteristics of MHD Power Generation by a Corona Jet Across a Magnetic Field. IEEE Trans. Plasma Sci. 2008, 36, 229–304. [Google Scholar]
  8. Lowe, R.; Goradia, C.; Goradia, M.; Donald, L.C. Study of a cesium plasma as a selective emitter for thermophotovoltaic applications. J. Appl. Phys. 1990, 68, 5033–5035. [Google Scholar] [CrossRef]
  9. Franz AM, K.; Robert, J.N. Advances in Thermionic Energy Conversion through Single-Crystal n-Type Diamond. Front. Mech. Eng. 2017, 3, 19. [Google Scholar] [CrossRef]
  10. Franz AM, K.; Robert, J.N.; Yasodhaadevi, B. Enhanced thermionic energy conversion and thermionic emission from doped diamond films through methane exposure. Diam. Relat. Mater. 2011, 8, 1229–1233. [Google Scholar]
  11. Sun, T.; Franz AM, K.; Aram, R.; Michael MJ, T.; Robert, J.N. Thermally enhanced photoinduced electron emission from nitrogen-doped diamond films on silicon substrates. Phys. Rev. B 2014, 90, 121302. [Google Scholar] [CrossRef]
  12. Safronov, A.A.; Vasilieva, O.B.; Dudnik, J.D.; Kuznetsov, V.E.; Shiryaev, V.N.; Subbotin, D.I.; Pavlov, A.V. Investigation of the AC Plasma Torch Working Conditions for the Plasma Chemical Applications. J. Phys. Conf. Ser. 2017, 825, 012013. [Google Scholar] [CrossRef]
  13. Smith, J.R.; Bilbro, G.L.; Nemanich, R.J. Using negative electron affinity diamond emitters to mitigate space charge in vacuum thermionic energy conversion devices. Diam. Relat. Mater. 2006, 15, 2082–2085. [Google Scholar] [CrossRef]
  14. Mohammad, G.; Sung, K.C.; Keunhan, P. Near-field enhanced thermionic energy conversion for renewable energy recycling. J. Quant. Spectrosc. Radiat. Transf. 2017, 198, 59–67. [Google Scholar]
  15. Koeck FA, M.; Garguillo, J.M.; John, R.S.; Tang, Y.J.; Bilbro, G.L.; Robert, J.N. Vacuum Thermionic Energy Conversion Based on Nanocrystalline Diamond Films. Adv. Sci. Technol. 2006, 48, 83–92. [Google Scholar] [CrossRef]
  16. Xiao, G.; Zheng, G.; Qiu, M.; Li, Q.; Li, D.; Ni, M. Thermionic energy conversion for concentrating solar power. Appl. Energy 2017, 208, 1318–1342. [Google Scholar] [CrossRef]
  17. Jules, D.L.; Floyd, E.G. Oxygen as a Beneficial Additive in Cesium Thermionic Energy Converters. J. Appl. Phys. 1967, 38, 892–893. [Google Scholar] [CrossRef]
  18. Dmitry, V.P.; Mohamed, S.E. A review of cesium thermionic converters with developed emitter surfaces. Energy Convers. Manag. 1997, 38, 533–549. [Google Scholar]
  19. Raju; Gorur, G. Gaseous Electronics; CRC Press: Boca Raton, FL, USA, 2005; pp. 19–26. ISBN 978-084-933-763-5. [Google Scholar]
  20. Wiese, W.L.; Smith, M.W.; Glennon, B.M. Atomic Transition Probabilities. NSRDS-NBS 1966, 4, 11–15. [Google Scholar]
  21. Hagelaar GJ, M.; Pitchford, L.C. Solving the Boltzmann equation to obtain electron transport coefficients and rate coefficients for fluid models. Plasma Sources Sci. Technol. 2005, 14, 722–733. [Google Scholar] [CrossRef]
  22. Milloy, H.B.; Watts, R.O. On the Validity of the Two-term Approximation in the Solution of Boltzmann’s Equation for Electron Motion. Aust. J. Phys. 1977, 30, 73–82. [Google Scholar] [CrossRef]
Figure 1. Thermionic emission device.
Figure 1. Thermionic emission device.
Energies 16 06435 g001
Figure 2. Experimental setup for thermionic energy conversion. (a) Thermionic emission device; (b) Electrical diagram; 1. Anode, 2. Cathode, 3. Heating filament, 4. DC power supply, 5. Load resistance, 6. Microammeter.
Figure 2. Experimental setup for thermionic energy conversion. (a) Thermionic emission device; (b) Electrical diagram; 1. Anode, 2. Cathode, 3. Heating filament, 4. DC power supply, 5. Load resistance, 6. Microammeter.
Energies 16 06435 g002
Figure 3. Volt–ampere curves of He TEC obtained by experiment and simulation. The dots correspond to experimental results, and the lines correspond to simulation results. Different colors correspond to different working conditions. Black, blue, cyan, red and green correspond to cathode temperature conditions of 1350K, 1300K, 1250K, 1150K and 1050K respectively.
Figure 3. Volt–ampere curves of He TEC obtained by experiment and simulation. The dots correspond to experimental results, and the lines correspond to simulation results. Different colors correspond to different working conditions. Black, blue, cyan, red and green correspond to cathode temperature conditions of 1350K, 1300K, 1250K, 1150K and 1050K respectively.
Energies 16 06435 g003
Figure 4. Reaction rate distributions between electrodes; (a) Reaction (1) rate distribution between electrodes; (b) Reaction (2) rate distribution between electrodes; (c) Reaction (3) rate distribution between electrodes.
Figure 4. Reaction rate distributions between electrodes; (a) Reaction (1) rate distribution between electrodes; (b) Reaction (2) rate distribution between electrodes; (c) Reaction (3) rate distribution between electrodes.
Energies 16 06435 g004aEnergies 16 06435 g004b
Figure 5. Electron mobility in the plasma field with thermionic emission at various thermionic emission temperatures.
Figure 5. Electron mobility in the plasma field with thermionic emission at various thermionic emission temperatures.
Energies 16 06435 g005
Figure 6. Number density distributions of e, He+ and He* between electrodes.
Figure 6. Number density distributions of e, He+ and He* between electrodes.
Energies 16 06435 g006aEnergies 16 06435 g006b
Figure 7. Number density distributions of e and He+ between electrodes at different cathode temperatures.
Figure 7. Number density distributions of e and He+ between electrodes at different cathode temperatures.
Energies 16 06435 g007aEnergies 16 06435 g007bEnergies 16 06435 g007c
Figure 8. Potential distribution between electrodes.
Figure 8. Potential distribution between electrodes.
Energies 16 06435 g008
Figure 9. Density of resistance between electrodes.
Figure 9. Density of resistance between electrodes.
Energies 16 06435 g009
Figure 10. Output powers of vacuum TEC and plasma TEC at different cathode temperatures and external voltages. Cyan bars are output powers of vacuum TEC. Blue bars are output powers of plasma TEC.
Figure 10. Output powers of vacuum TEC and plasma TEC at different cathode temperatures and external voltages. Cyan bars are output powers of vacuum TEC. Blue bars are output powers of plasma TEC.
Energies 16 06435 g010
Figure 11. Dimensionless contributions of plasma enhancement to TEC output power at different cathode temperatures and external voltages.
Figure 11. Dimensionless contributions of plasma enhancement to TEC output power at different cathode temperatures and external voltages.
Energies 16 06435 g011
Figure 12. Dimensionless contributions of plasma enhancement to TEC output power and dimensionless thermionic emission flux at different cathode temperatures. The red dots are dimensionless contributions of plasma enhancement and arrow is dimensionless thermionic emission flux at different cathode temperatures.
Figure 12. Dimensionless contributions of plasma enhancement to TEC output power and dimensionless thermionic emission flux at different cathode temperatures. The red dots are dimensionless contributions of plasma enhancement and arrow is dimensionless thermionic emission flux at different cathode temperatures.
Energies 16 06435 g012
Figure 13. Dimensionless He+ number of the plasma and dimensionless thermionic emission flux at different cathode temperatures.
Figure 13. Dimensionless He+ number of the plasma and dimensionless thermionic emission flux at different cathode temperatures.
Energies 16 06435 g013
Figure 14. Dimensionless electrical conductance of He plasma TEC and dimensionless thermionic emission at different cathode temperatures.
Figure 14. Dimensionless electrical conductance of He plasma TEC and dimensionless thermionic emission at different cathode temperatures.
Energies 16 06435 g014
Table 1. Effective electron emission area calculations.
Table 1. Effective electron emission area calculations.
T/Kρsim/(Ω × m2)RexpS/m2∆/%
10505.951.81 × 1073.29 × 10−7
11502.083.33 × 1066.25 × 10−71.96
12501.392.22 × 1066.26 × 10−71.96
13000.831.22 × 1066.85 × 10−77.31
13500.528.49 × 1056.16 × 10−73.39
ρsim is the electrical resistivity of plasma TEC in the simulation calculations. Rexp is the resistance of plasma TEC in the experiment. Rexp = Uin/Iout (see Figure 3).
Disclaimer/Publisher’s Note: The statements, opinions and data contained in all publications are solely those of the individual author(s) and contributor(s) and not of MDPI and/or the editor(s). MDPI and/or the editor(s) disclaim responsibility for any injury to people or property resulting from any ideas, methods, instructions or products referred to in the content.

Share and Cite

MDPI and ACS Style

Ji, C.; Gu, F. Influence of Thermionic Emission on He Ionization and Plasma Enhancement in Thermionic Energy Conversion. Energies 2023, 16, 6435. https://doi.org/10.3390/en16186435

AMA Style

Ji C, Gu F. Influence of Thermionic Emission on He Ionization and Plasma Enhancement in Thermionic Energy Conversion. Energies. 2023; 16(18):6435. https://doi.org/10.3390/en16186435

Chicago/Turabian Style

Ji, Cong, and Fan Gu. 2023. "Influence of Thermionic Emission on He Ionization and Plasma Enhancement in Thermionic Energy Conversion" Energies 16, no. 18: 6435. https://doi.org/10.3390/en16186435

APA Style

Ji, C., & Gu, F. (2023). Influence of Thermionic Emission on He Ionization and Plasma Enhancement in Thermionic Energy Conversion. Energies, 16(18), 6435. https://doi.org/10.3390/en16186435

Note that from the first issue of 2016, this journal uses article numbers instead of page numbers. See further details here.

Article Metrics

Back to TopTop