Thermogravimetric Pyrolysis Behavior and Kinetic Study of Two Different Organic-Rich Mudstones via Multiple Kinetic Methods
Abstract
:1. Introduction
2. Materials and Methods
2.1. Materials and Characterization
2.2. Thermogravimetric Measurements
2.3. TG-FTIR Analysis
2.4. Kinetic Methods
2.4.1. Starink Method
2.4.2. Coat-Redfern Method
2.4.3. Peak Deconvolution Analysis by Asym2sig Function
3. Results and Discussion
3.1. Chemical Characterization and Structures of the Two Mudstones
3.2. Analysis of Pyrolysis Process
3.2.1. Thermogravimetric Analysis
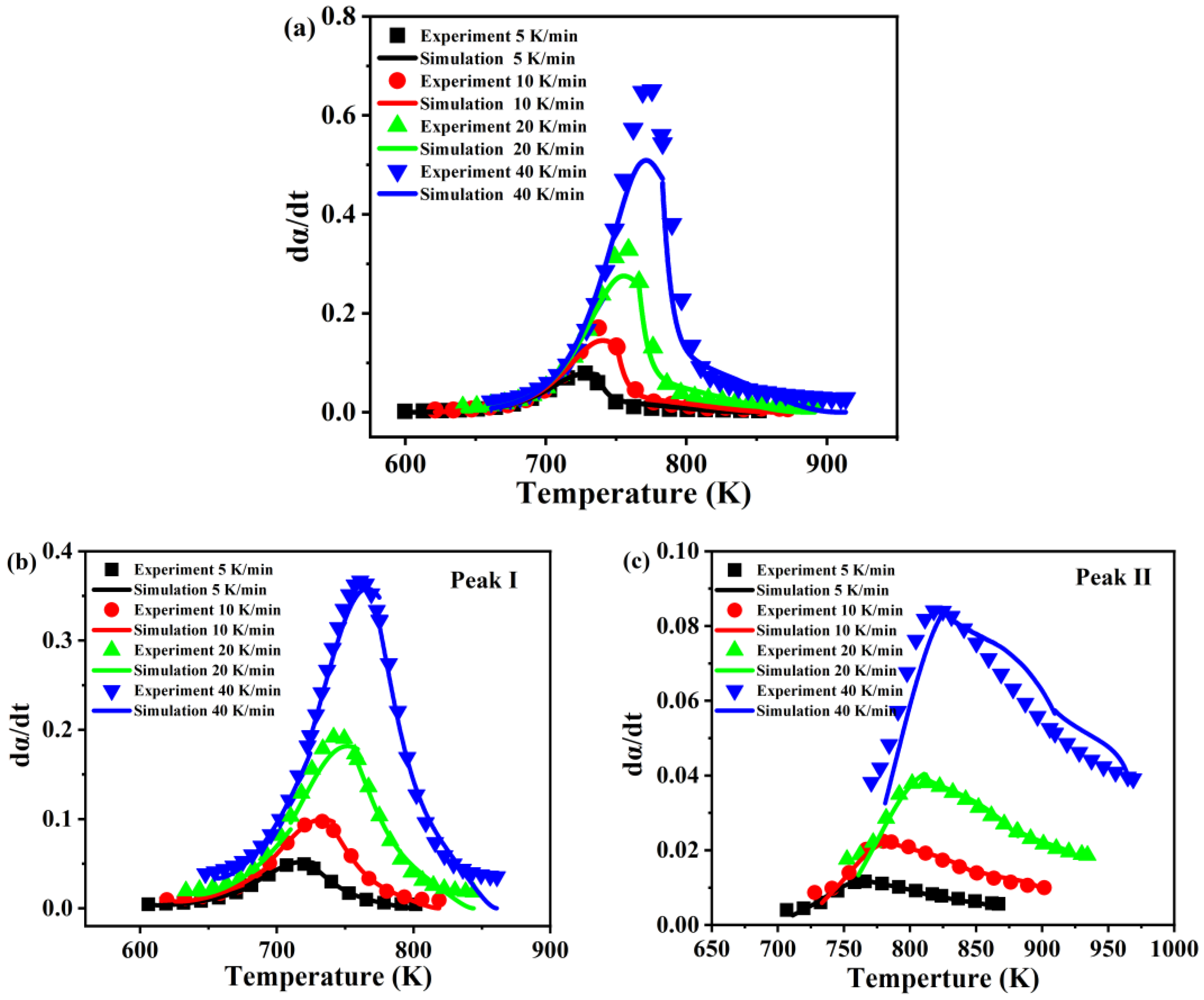
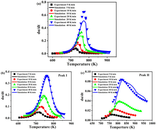
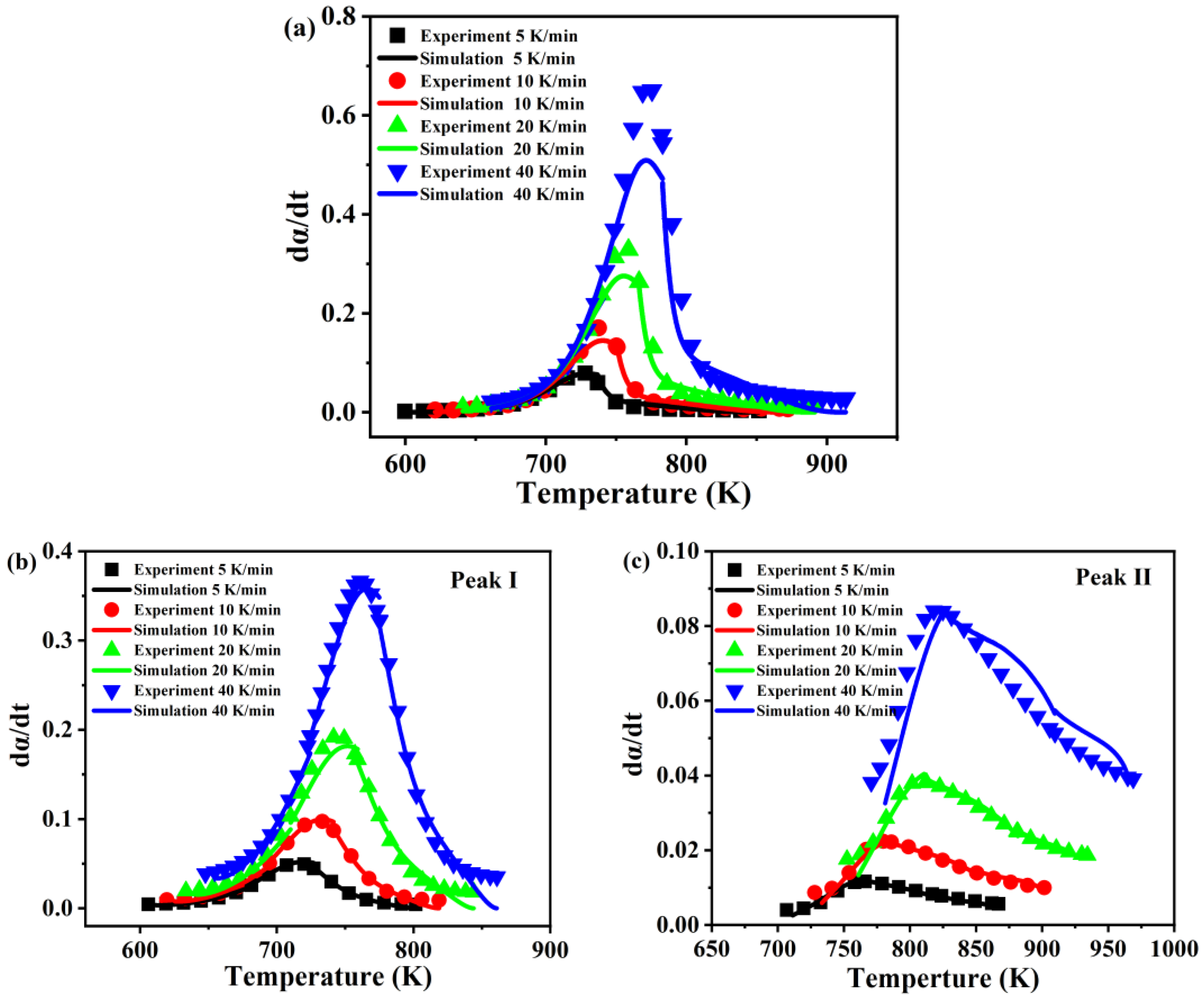
3.2.2. Separation of Overlapping Peaks with Asym2sig Function
3.3. Pyrolysis Kinetic Analysis
3.3.1. Determination of Activation Energies
3.3.2. Evaluation of Reaction Models and Pre-Exponential Factors
3.3.3. Model Reconstruction
3.4. Volatile Products Analysis
3.5. Discussion and Summary
4. Conclusions
Supplementary Materials
Author Contributions
Funding
Data Availability Statement
Conflicts of Interest
References
- Schenk, H.J.; Di Primio, R.; Horsfield, B. The conversion of oil into gas in petroleum reservoirs. Part 1: Comparative kinetic investigation of gas generation from crude oils of lacustrine, marine and fluviodeltaic origin by programmed-temperature closed-system pyrolysis. Org. Geochem. 1997, 26, 467–481. [Google Scholar] [CrossRef]
- Casal, M.D.; Vega, M.F.; Diaz-Faes, E.; Barriocanal, C. The influence of chemical structure on the kinetics of coal pyrolysis. Int. J. Coal Geol. 2018, 195, 415–422. [Google Scholar] [CrossRef]
- Bai, F.; Liu, Y.; Lai, C.; Sun, Y.; Wang, J.; Sun, P.; Xue, L.; Zhao, J.; Guo, M. Thermal Degradations and Processes of Four Kerogens via Thermogravimetric–Fourier-Transform Infrared: Pyrolysis Performances, Products, and Kinetics. Energy Fuels 2020, 34, 2969–2979. [Google Scholar] [CrossRef]
- Horsfield, B.; Douglas, A.G. The influence of minerals on the pyrolysis of kerogens. Geochim. Cosmochim. Acta 1980, 44, 1119–1131. [Google Scholar] [CrossRef]
- Ma, X.; Zheng, J.; Zheng, G.; Xu, W.; Qian, Y.; Xia, Y.; Wang, Z.; Wang, X.; Ye, X. Influence of pyrite on hydrocarbon generation during pyrolysis of type-III kerogen. Fuel 2016, 167, 329–336. [Google Scholar] [CrossRef]
- Jiang, H.; Song, L.; Cheng, Z.; Chen, J.; Zhang, L.; Zhang, M.; Hu, M.; Li, J.; Li, J. Influence of pyrolysis condition and transition metal salt on the product yield and characterization via Huadian oil shale pyrolysis. J. Anal. Appl. Pyrolysis 2015, 112, 230–236. [Google Scholar] [CrossRef]
- Behar, F.; Roy, S.; Jarvie, D. Artificial maturation of a Type I kerogen in closed system: Mass balance and kinetic modelling. Org. Geochem. 2010, 41, 1235–1247. [Google Scholar] [CrossRef]
- Gong, D.; Wang, Y.; Yuan, M.; Liu, C.; Mi, J.; Lu, S.; Zhao, L. Genetic types and origins of natural gases from eastern Fukang Sub-depression of the Junggar Basin, NW China: Implication for low-mature coal-derived gases. J. Nat. Gas Geosci. 2017, 2, 179–189. [Google Scholar] [CrossRef]
- Gong, D.; Song, Y.; Wei, Y.; Liu, C.; Wu, Y.; Zhang, L.; Cui, H. Geochemical characteristics of Carboniferous coaly source rocks and natural gases in the Southeastern Junggar Basin, NW China: Implications for new hydrocarbon explorations. Int. J. Coal Geol. 2019, 202, 171–189. [Google Scholar] [CrossRef]
- Yang, X.-F.; He, D.-F.; Wang, Q.-C.; Tang, Y. Tectonostratigraphic evolution of the Carboniferous arc-related basin in the East Junggar Basin, northwest China: Insights into its link with the subduction process. Gondwana Res. 2012, 22, 1030–1046. [Google Scholar] [CrossRef]
- Sun, P.A.; Wang, Y.; Leng, K.; Li, H.; Ma, W.; Cao, J. Geochemistry and origin of natural gas in the eastern Junggar Basin, NW China. Mar. Pet. Geol. 2016, 75, 240–251. [Google Scholar] [CrossRef]
- Shao, D.; Zhang, T.; Ko, L.T.; Li, Y.; Yan, J.; Zhang, L.; Luo, H.; Qiao, B. Experimental investigation of oil generation, retention, and expulsion within Type II kerogen-dominated marine shales: Insights from gold-tube nonhydrous pyrolysis of Barnett and Woodford Shales using miniature core plugs. Int. J. Coal Geol. 2020, 217, 103337. [Google Scholar] [CrossRef]
- Pan, L.; Dai, F.; Li, G.; Liu, S. A TGA/DTA-MS investigation to the influence of process conditions on the pyrolysis of Jimsar oil shale. Energy 2015, 86, 749–757. [Google Scholar] [CrossRef]
- Tiwari, P.; Deo, M. Compositional and kinetic analysis of oil shale pyrolysis using TGA–MS. Fuel 2012, 94, 333–341. [Google Scholar] [CrossRef]
- Bai, F.; Sun, Y.; Liu, Y.; Li, Q.; Guo, M. Thermal and kinetic characteristics of pyrolysis and combustion of three oil shales. Energy Convers. Manag. 2015, 97, 374–381. [Google Scholar] [CrossRef]
- Bouamoud, R.; Moine, E.C.; Mulongo-Masamba, R.; El Hamidi, A.; Halim, M.; Arsalane, S. Type I kerogen-rich oil shale from the Democratic Republic of the Congo: Mineralogical description and pyrolysis kinetics. Pet. Sci. 2020, 17, 255–267. [Google Scholar] [CrossRef]
- Bai, H.; Mao, N.; Wang, R.; Li, Z.; Zhu, M.; Wang, Q. Kinetic characteristics and reactive behaviors of HSW vitrinite coal pyrolysis: A comprehensive analysis based on TG-MS experiments, kinetics models and ReaxFF MD simulations. Energy Rep. 2021, 7, 1416–1435. [Google Scholar] [CrossRef]
- Wang, M.; Li, Z.; Huang, W.; Yang, J.; Xue, H. Coal pyrolysis characteristics by TG–MS and its late gas generation potential. Fuel 2015, 156, 243–253. [Google Scholar] [CrossRef]
- Yan, J.; Liu, M.; Feng, Z.; Bai, Z.; Shui, H.; Li, Z.; Lei, Z.; Wang, Z.; Ren, S.; Kang, S.; et al. Study on the pyrolysis kinetics of low-medium rank coals with distributed activation energy model. Fuel 2020, 261, 116359. [Google Scholar] [CrossRef]
- Zhang, W.; Zhang, J.; Ding, Y.; He, Q.; Lu, K.; Chen, H. Pyrolysis kinetics and reaction mechanism of expandable polystyrene by multiple kinetics methods. J. Clean. Prod. 2021, 285, 125042. [Google Scholar] [CrossRef]
- Wang, J.; Lian, W.; Li, P.; Zhang, Z.; Yang, J.; Hao, X.; Huang, W.; Guan, G. Simulation of pyrolysis in low rank coal particle by using DAEM kinetics model: Reaction behavior and heat transfer. Fuel 2017, 207, 126–135. [Google Scholar] [CrossRef]
- Venkatesh, M.; Ravi, P.; Tewari, S.P. Isoconversional Kinetic Analysis of Decomposition of Nitroimidazoles: Friedman method vs Flynn–Wall–Ozawa Method. J. Phys. Chem. A 2013, 117, 10162–10169. [Google Scholar] [CrossRef] [PubMed]
- Yan, J.; Jiao, H.; Li, Z.; Lei, Z.; Wang, Z.; Ren, S.; Shui, H.; Kang, S.; Yan, H.; Pan, C. Kinetic analysis and modeling of coal pyrolysis with model-free methods. Fuel 2019, 241, 382–391. [Google Scholar] [CrossRef]
- Yan, J.; Jiang, X.; Han, X.; Liu, J. A TG–FTIR investigation to the catalytic effect of mineral matrix in oil shale on the pyrolysis and combustion of kerogen. Fuel 2013, 104, 307–317. [Google Scholar] [CrossRef]
- Wang, W.; Luo, G.; Zhao, Y.; Tang, Y.; Wang, K.; Li, X.; Xu, Y. Kinetic and thermodynamic analyses of co-pyrolysis of pine wood and polyethylene plastic based on Fraser-Suzuki deconvolution procedure. Fuel 2022, 322, 124200. [Google Scholar] [CrossRef]
- Moine, E.c.; Groune, K.; El Hamidi, A.; Khachani, M.; Halim, M.; Arsalane, S. Multistep process kinetics of the non-isothermal pyrolysis of Moroccan Rif oil shale. Energy 2016, 115, 931–941. [Google Scholar] [CrossRef]
- Bai, F.; Guo, W.; Lü, X.; Liu, Y.; Guo, M.; Li, Q.; Sun, Y. Kinetic study on the pyrolysis behavior of Huadian oil shale via non-isothermal thermogravimetric data. Fuel 2015, 146, 111–118. [Google Scholar] [CrossRef]
- Zhang, J.; Sun, L.; Zhang, J.; Ding, Y.; Chen, W.; Zhong, Y. Kinetic parameters estimation and reaction model modification for thermal degradation of Beizao oil shale based on thermogravimetric analysis coupled with deconvolution procedure. Energy 2021, 229, 120791. [Google Scholar] [CrossRef]
- Zhang, J.; Ding, Y.; Du, W.; Lu, K.; Sun, L. Study on pyrolysis kinetics and reaction mechanism of Beizao oil shale. Fuel 2021, 296, 120696. [Google Scholar] [CrossRef]
- Starink, M.J. The determination of activation energy from linear heating rate experiments: A comparison of the accuracy of isoconversion methods. Thermochim. Acta 2003, 404, 163–176. [Google Scholar] [CrossRef]
- Khawam, A.; Flanagan, D.R. Solid-State Kinetic Models: Basics and Mathematical Fundamentals. J. Phys. Chem. B 2006, 110, 17315–17328. [Google Scholar] [CrossRef] [PubMed]
- Huang, Z.; Liang, T.; Zhan, Z.-W.; Zou, Y.-R.; Li, M.; Peng, P.a. Chemical structure evolution of kerogen during oil generation. Mar. Pet. Geol. 2018, 98, 422–436. [Google Scholar] [CrossRef]
- Sun, Y.; Bai, F.; Liu, B.; Liu, Y.; Guo, M.; Guo, W.; Wang, Q.; Lü, X.; Yang, F.; Yang, Y. Characterization of the oil shale products derived via topochemical reaction method. Fuel 2014, 115, 338–346. [Google Scholar] [CrossRef]
- Gougazeh, M.; Alsaqoor, S.; Borowski, G.; Alsafasfeh, A.; Hdaib, I. The behavior of Jordanian oil shale during combustion process from the El-Lajjun deposit, Central Jordan. J. Ecol. Eng. 2022, 23, 133–140. [Google Scholar] [CrossRef] [PubMed]
- Zhao, Y.; Liu, L.; Qiu, P.-H.; Xie, X.; Chen, X.-Y.; Lin, D.; Sun, S.-Z. Impacts of chemical fractionation on Zhundong coal’s chemical structure and pyrolysis reactivity. Fuel Process. Technol. 2017, 155, 144–152. [Google Scholar] [CrossRef]
- Zhao, Y.; Xing, C.; Shao, C.; Chen, G.; Sun, S.; Chen, G.; Zhang, L.; Pei, J.; Qiu, P.; Guo, S. Impacts of intrinsic alkali and alkaline earth metals on chemical structure of low-rank coal char: Semi-quantitative results based on FT-IR structure parameters. Fuel 2020, 278, 118229. [Google Scholar] [CrossRef]
- Song, H.; Liu, G.; Zhang, J.; Wu, J. Pyrolysis characteristics and kinetics of low rank coals by TG-FTIR method. Fuel Process. Technol. 2017, 156, 454–460. [Google Scholar] [CrossRef]
- Safaei-Farouji, M.; Jafari, M.; Semnani, A.; Gentzis, T.; Liu, B.; Liu, K.; Shokouhimehr, M.; Ostadhassan, M. TGA and elemental analysis of type II kerogen from the Bakken supported by HRTEM. J. Nat. Gas Sci. Eng. 2022, 103, 104606. [Google Scholar] [CrossRef]
- Šesták, J.; Berggren, G. Study of the kinetics of the mechanism of solid-state reactions at increasing temperatures. Thermochim. Acta 1971, 3, 1–12. [Google Scholar] [CrossRef]
- Málek, J. The kinetic analysis of non-isothermal data. Thermochim. Acta 1992, 200, 257–269. [Google Scholar] [CrossRef]
- Burnham, A.K. Historical Perspective on the Maturation of Modeling Coal and Kerogen Pyrolysis. Energy Fuels. 2021, 35, 10451–10460. [Google Scholar] [CrossRef]
- Wang, Q.; Hua, Z.; Guan, J. Structure of Wangqing oil shale and mechanism of carbon monoxide release during its pyrolysis. Energy Sci. Eng. 2019, 7, 2398–2409. [Google Scholar] [CrossRef]
- van Heek, K.H.; Hodek, W. Structure and pyrolysis behaviour of different coals and relevant model substances. Fuel 1994, 73, 886–896. [Google Scholar] [CrossRef]
- Liang, H.; Xu, F.; Grice, K.; Xu, G.; Holman, A.; Hopper, P.; Fu, D.; Yu, Q.; Liang, J.; Wang, D. Kinetics of oil generation from brackish-lacustrine source rocks in the southern Bohai Sea, East China. Org. Geochem. 2020, 139, 103945. [Google Scholar] [CrossRef]
- Chang, Z.; Chu, M.; Zhang, C.; Bai, S.; Lin, H.; Ma, L. Influence of inherent mineral matrix on the product yield and characterization from Huadian oil shale pyrolysis. J. Anal. Appl. Pyrolysis 2018, 130, 269–276. [Google Scholar] [CrossRef]
- Katti, D.R.; Thapa, K.B.; Katti, K.S. Modeling molecular interactions of sodium montmorillonite clay with 3D kerogen models. Fuel. 2017, 199, 641–652. [Google Scholar] [CrossRef]
- Faisal, H.M.N.; Katti, K.S.; Katti, D.R. An insight into quartz mineral interactions with kerogen in Green River oil shale. Int. J. Coal Geol. 2021, 238, 103729. [Google Scholar] [CrossRef]
- Lei, H.; Shi, Y.; Guan, P.; Fang, X. Catalysis of aluminosilicate clay minerals to the formation of the transitional zone gas. Sci. China Ser. D Earth Sci. 1997, 40, 130–136. [Google Scholar] [CrossRef]







| Model | Symbol | ||
|---|---|---|---|
| |||
| First-order | F1 | ||
| Second-order | F2 | ||
| N-order | Fn | ||
| |||
| Avrami-Erofeev | A1/2 | ||
| Avrami-Erofeev | A2/3 | ||
| Avrami-Erofeev | An | ||
| Power law | P2 | ||
| |||
| 1-D diffusion | D1 | ||
| 2-D diffusion | D2 | ||
| 3-D diffusion | D-ZLT3 | ||
| |||
| Contracting area | R2 |
| Sample | Rock-Eval Analysis | Carbon and Sulfur Analysis (wt.%) | ||||||
|---|---|---|---|---|---|---|---|---|
| S1 | S2 | S3 | Tmax | HI | OI | TOC | S | |
| MP | 2.05 | 88.74 | 0.39 | 445 | 886.47 | 3.81 | 10.24 | 0.35 |
| UC | 5.67 | 106.07 | 1.14 | 433 | 447.24 | 4.81 | 23.72 | 0.56 |
| Sample | Mineralogical Compositions (wt.%) | ||||
|---|---|---|---|---|---|
| Quartz | Plagioclase | Anatase | Calcite | Total Clay Minerals | |
| MP | 34.60 | 17.84 | \ | 14.18 | 33.69 |
| UC | 46.51 | 2.82 | 0.66 | \ | 50.00 |
| Water Loss Stage | Organic Matter Pyrolysis Stage | Carbonate Decomposition Stage | Residue (%) | ||||||
|---|---|---|---|---|---|---|---|---|---|
| Sample | Heating Rate (K min−1) | Reaction Interval (K) | Mass Loss (%) | Reaction Interval (K) | Mass Loss (%) | Tp (K) | Reaction Interval (K) | Mass Loss, wt.% | |
| MP | 5 | 300–362 | 1.19 | 600–852 | 11.09 | 725 | 861–975 | 4.07 | 81.17 |
| 10 | 300–381 | 1.14 | 621–872 | 12.71 | 739 | 873–1004 | 4.12 | 81.32 | |
| 20 | 300–399 | 1.05 | 641–889 | 11.66 | 756 | 890–1041 | 4.23 | 81.56 | |
| 40 | 300–411 | 1.39 | 661–910 | 11.82 | 773 | 912–1072 | 4.18 | 81.29 | |
| UC | 5 | 300–421 | 4.30 | 606–867 | 13.87 | 715 | \ | \ | 78.56 |
| 10 | 300–437 | 4.21 | 620–902 | 14.15 | 729 | \ | \ | 77.44 | |
| 20 | 300–455 | 3.75 | 633–934 | 14.41 | 745 | \ | \ | 78.31 | |
| 40 | 300–474 | 4.30 | 648–969 | 13.87 | 761 | \ | \ | 78.55 | |
| Heating Rate | Stage | y0 | xc | A | w1 | w2 | w3 | RSS | R2 |
|---|---|---|---|---|---|---|---|---|---|
| 5 K/min | I | 3.90 × 10−3 | 718.79 | 0.13 | 13.04 | 20.08 | 13.45 | 2.99 × 10−4 | 0.99 |
| II | 764.59 | 0.01 | 41.54 | 8.39 | 42.75 | ||||
| 10 K/min | I | 8.41 × 10−3 | 730.95 | 0.19 | 26.16 | 19.43 | 13.14 | 7.16 × 10−4 | 0.99 |
| II | 789.22 | 0.02 | 60.17 | 7.40 | 33.64 | ||||
| 20 K/min | I | 1.71 × 10−3 | 746.12 | 0.36 | 28.04 | 19.64 | 14.59 | 2.03 × 10−3 | 0.99 |
| II | 820.87 | 0.03 | 76.69 | 7.80 | 27.62 | ||||
| 40 K/min | I | 3.38 × 10−2 | 762.41 | 0.62 | 33.64 | 20.37 | 13.81 | 4.46 × 10−3 | 0.99 |
| II | 826.35 | 0.08 | 60.77 | 9.46 | 42.97 |
| Sample | Conversion | Activation Energy | Reaction Model |
|---|---|---|---|
| MP | 0.05–0.75 | 186.99 | A5/6 |
| 0.75–0.95 | 208.32 | F3 | |
| UC (Peak I) | 0.05–0.2 | 180.27 | A2/3 |
| 0.2–0.7 | 187.80 | A4/5 | |
| 0.7–0.95 | 185.72 | F2 | |
| UC (Peak II) | 0.05–0.34 | 150.73 | A1.5 |
| 0.34–0.78 | 144.69 | F2 | |
| 0.78–0.95 | 132.53 | A3/4 |
| Sample | C | m | n | p |
|---|---|---|---|---|
| MP | ||||
| α∈(0–0.75) | 3.75 | 0.15 | 0.91 | −0.13 |
| α∈(0.75–1) | 48.67 | −0.36 | 2.96 | −0.11 |
| UC (Peak I) | ||||
| α∈(0–0.2) | 1.06 | 0.01 | 0.70 | −0.45 |
| α∈(0.2–0.7) | 1.91 | 0.17 | 1.04 | −0.37 |
| α∈(0.7–1) | 3.89 | 0.01 | 1.80 | −0.02 |
| UC (Peak II) | ||||
| α∈(0–0.34) | 2.21 | −0.30 | 2.69 | 0.52 |
| α∈(0.34–0.78) | 0.49 | −2.22 | 2.10 | 1.52 |
| α∈(0.78–1) | 0.04 | −3.69 | 0.07 | −0.29 |
| Relative Peak Areas or Ratio | MP | UC |
|---|---|---|
| 3090 cm−1 | 0.08 | 0.30 |
| 3015 cm−1 | 0.37 | 1.06 |
| 2962 cm−1 | 1.03 | 0.81 |
| 2929 cm−1 | 2.19 | 1.32 |
| Branched degree | 0.47 | 0.61 |
| Methanogenicity | 0.14 | 0.40 |
| Aromaticity | 0.03 | 0.11 |
| MP | UC | |
|---|---|---|
| Deposition environment | Semi-deep lacustrine | Lacustrine |
| Organic matter type and structure | Type I, relatively more aliphatics than UC | Type II, relatively more aromatics and oxygenated organics than MP |
| Mineral composition | Quartz, calcite, clay minerals, more plagioclase than UC | Plagioclase, more quartz, more clay minerals than MP |
| E (kJ/mol) | 191.74 | Peak I: 185.65 Peak II: 144.04 |
| Pyrolysis volatiles in organic matter pyrolysis stage | CH4, aromatics, relatively more C2+ alphatics than UC | C2+ alphatics, CO, CO2, relatively more CH4 and aromatics than MP |
Disclaimer/Publisher’s Note: The statements, opinions and data contained in all publications are solely those of the individual author(s) and contributor(s) and not of MDPI and/or the editor(s). MDPI and/or the editor(s) disclaim responsibility for any injury to people or property resulting from any ideas, methods, instructions or products referred to in the content. |
© 2023 by the authors. Licensee MDPI, Basel, Switzerland. This article is an open access article distributed under the terms and conditions of the Creative Commons Attribution (CC BY) license (https://creativecommons.org/licenses/by/4.0/).
Share and Cite
Li, Y.; Zhou, S.; Li, J.; Sun, Z.; Pang, W. Thermogravimetric Pyrolysis Behavior and Kinetic Study of Two Different Organic-Rich Mudstones via Multiple Kinetic Methods. Energies 2023, 16, 6372. https://doi.org/10.3390/en16176372
Li Y, Zhou S, Li J, Sun Z, Pang W. Thermogravimetric Pyrolysis Behavior and Kinetic Study of Two Different Organic-Rich Mudstones via Multiple Kinetic Methods. Energies. 2023; 16(17):6372. https://doi.org/10.3390/en16176372
Chicago/Turabian StyleLi, Yaoyu, Shixin Zhou, Jing Li, Zexiang Sun, and Wenjun Pang. 2023. "Thermogravimetric Pyrolysis Behavior and Kinetic Study of Two Different Organic-Rich Mudstones via Multiple Kinetic Methods" Energies 16, no. 17: 6372. https://doi.org/10.3390/en16176372
APA StyleLi, Y., Zhou, S., Li, J., Sun, Z., & Pang, W. (2023). Thermogravimetric Pyrolysis Behavior and Kinetic Study of Two Different Organic-Rich Mudstones via Multiple Kinetic Methods. Energies, 16(17), 6372. https://doi.org/10.3390/en16176372

