Layout Optimization Algorithms for the Offshore Wind Farm with Different Densities Using a Full-Field Wake Model
Abstract
1. Introduction
2. Optimization Methodology
2.1. Wake Model
2.2. Optimization Problem
2.3. Penalty Function
3. Optimization Algorithm
3.1. Population-Based Algorithm
3.2. Single-Point Algorithm
4. Layout Optimization
4.1. Case Settings
4.2. Effect of the Limitation on ncheck
4.3. Comparison of Algorithms on Setting 1
4.4. Expansion of Computational Time
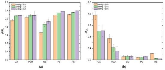
4.5. Different Layout Densities
5. Conclusions
- (1)
- The RS has the best performance in terms of optimization results and computational cost in the most cases, which is up to 14% more than the results of GA but save 95% of time, except the strict constraint. The PS is the second one with about 1% gap of results and a double cost compared to RS, but it can save 60% time than RS under the strict constraint.
- (2)
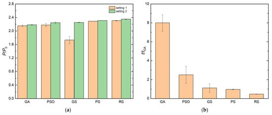
- The combination of PS and RS is a good method to improve the performance of both algorithms under the strict constraint. This hybrid method has a 1–2% improvement in the optimization results and saves 30% computational cost at most;
- (3)
- The application of the penalty function is a feasible method to strengthen the ability of algorithms to deal with complex constraints. With the penalty function, all algorithms can solve the layout optimization problem under the default options, but GS needs more iterations to obtain acceptable results, which has a 30% improvement with 10 times more iterations than the default;
- (4)
- In the RS, the limitation of ncheck can improve the efficiency of RS. Invalid movements waste the cost of computational time. The discrepancy can reach up to three times. Due to the property of the fluctuation, the limitation depends on the specific problem.
Author Contributions
Funding
Data Availability Statement
Conflicts of Interest
Nomenclature
| B | set of available position of wind turbines (dimensionless) |
| Ct | thrust coefficient (dimensionless) |
| D | rotor diameter (m) |
| dmin | minimal distance between wind turbines (m) |
| Δd | exceeding distance in the constraint (m) |
| f | objective function (kW) |
| f′ | augmented objective function (kW) |
| fpenalty | penalty function (kW) |
| I0 | freestream turbulence intensity (dimensionless) |
| k | penalty coefficient (dimensionless) |
| krand | random number (dimensionless) |
| ks | movement coefficient (dimensionless) |
| Lmax | length of the long edge of the wind farm (m) |
| ns | number of violations (dimensionless) |
| ncheck | number of feasibility check (dimensionless) |
| nt | number of turbines in the wind farm (dimensionless) |
| P | power output (kW) |
| P0 | power output of the original layout (kW) |
| r | radial distance from the rotor shaft of the wind turbine to the calculated point (m) |
| rd | wake radius at the calculated point (m) |
| ΔS | distance of a random move (m) |
| t | time (s) |
| tGA | mean computational time of GA under setting 1 (s) |
| u | wake velocity of the calculated point (m/s) |
| u0 | freestream velocity (m/s) |
| x, y | wind turbine position in the wind direction and cross-wind direction, respectively (m) |
| xmax, ymax | upper bounds (m) |
| xmin, ymin | lower bounds (m) |
| z0 | surface roughness height (m) |
| Subscripts | |
| i, j | variables of the points or turbines i and j, respectively |
| m, * | variables after modification and before modification, respectively |
References
- Burton, T.; Jenkins, N.; Sharpe, D.; Bossanyi, E. Wind Energy Handbook, 2nd ed.; John Wiley & Sons: Chichester, UK, 2011. [Google Scholar]
- Liu, J.K.; Gaynor, A.T.; Chen, S.; Kang, Z.; Suresh, K.; Takezawa, A.; Li, L.; Kato, J.; Tang, J.Y.; Wang, C.C.L.; et al. Current and future trends in topology optimization for additive manufacturing. Struct. Multidiscip. Optim. 2018, 57, 2457–2483. [Google Scholar] [CrossRef]
- Sun, D.P.; Liu, H.X.; Guo, R. A probability model for predicting the transport efficiency in vertical pipes considering the particle size distribution. Powder Technol. 2023, 415, 118104. [Google Scholar] [CrossRef]
- Yue, X.F.; Pye, S.; DeCarolis, J.; Li, F.G.N.; Rogan, F.; Gallachóir, B.Ó. A review of approaches to uncertainty assessment in energy system optimization models. Energy Strateg. Rev. 2018, 21, 204–217. [Google Scholar] [CrossRef]
- Mosetti, G.; Poloni, C.; Diviacco, B. Optimization of wind turbine positioning in large windfarms by means of a genetic algorithm. J. Wind Eng. Ind. Aerod. 1994, 51, 105–116. [Google Scholar] [CrossRef]
- Jensen, N.O. A Note on Wind Generator Interaction; Risø National Laboratory: Roskilde, Denmark, 1983. [Google Scholar]
- Katic, I.; Højstrup, J.; Jensen, N.O. A Simple Model for Cluster Efficiency. In Proceedings of the EWEC86, Rome, Italy, 7–9 October 1986. [Google Scholar]
- Beyer, H.G.; Rüger, T.; Schäfer, G.; Waldl, H.P. Optimization of wind farm configurations with variable number of turbines. In Proceedings of the European Union Wind Energy Conference, Göteborg, Sweden, 20–24 May 1996. [Google Scholar]
- Grady, S.A.; Hussaini, M.Y.; Abdullah, M.M. Placement of wind turbines using genetic algorithms. Renew. Energy 2005, 30, 259–270. [Google Scholar] [CrossRef]
- Şişbot, S.; Turgut, Ö.; Tunç, M.; Çamdalı, Ü. Optimal positioning of wind turbines on Gokceada using multi-objective genetic algorithm. Wind Energy 2010, 13, 297–306. [Google Scholar] [CrossRef]
- Kirchner-Bossi, N.; Porté-Agel, F. Realistic Wind Farm Layout Optimization through Genetic Algorithms Using a Gaussian Wake Model. Energies 2018, 11, 3268. [Google Scholar] [CrossRef]
- Shin, J.; Baek, S.; Rhee, Y. Wind Farm Layout Optimization Using a Metamodel and EA/PSO Algorithm in Korea Offshore. Energies 2021, 14, 146. [Google Scholar] [CrossRef]
- Hwang, B.; Kim, H.; Lee, S. Wind farm layout optimization using multidisciplinary model. J. Mech. Sci. Technol. 2018, 32, 2919–2924. [Google Scholar] [CrossRef]
- Farajifijani, R.; Ahmadian, S.; Ebrahimi, S.; Ghotbi, E. Wind Farm Layout Optimization Problem Using Joint Probability Distribution of CVaR Analysis. In Proceedings of the 2019 IEEE 9th Annual Computing and Communication Workshop and Conference (CCWC), Las Vegas, NV, USA, 7–9 January 2019; pp. 7–12. [Google Scholar] [CrossRef]
- Zhang, J.H.; Jiang, Y.W. Joint optimization of the number, type and layout of wind turbines for a new offshore wind farm. J. Renew. Sustain. Energy 2020, 12, 053308. [Google Scholar] [CrossRef]
- Gonzalez-Rodriguez, A.G.; Serrano-González, J.; Burgos-Payán, M.; Riquelme-Santos, J.M. Realistic Optimization of Parallelogram-Shaped Offshore Wind Farms Considering Continuously Distributed Wind Resources. Energies 2021, 14, 2895. [Google Scholar] [CrossRef]
- Wagner, M.; Day, J.; Neumann, F. A fast and effective local search algorithm for optimizing the placement of wind turbines. Renew. Energy 2013, 51, 64–70. [Google Scholar] [CrossRef]
- Feng, J.; Shen, W.Z. Optimization of Wind Farm Layout: A Refinement Method by Random Search. In Proceedings of the 2013 International Conference on Aerodynamics of Offshore Wind Energy Systems and Wakes, Lyngby, Denmark, 17–19 June 2013. [Google Scholar]
- Feng, J.; Shen, W.Z. Solving the wind farm layout optimization problem using random search algorithm. Renew. Energy 2015, 78, 182–192. [Google Scholar] [CrossRef]
- Liang, Z.C.; Liu, H.X. Layout Optimization of a Modular Floating Wind Farm Based on the Full-Field Wake Model. Energies 2022, 15, 809. [Google Scholar] [CrossRef]
- Liang, Z.C.; Liu, H.X. Layout optimization of an offshore floating wind farm deployed with novel multi-turbine platforms with the self-adaptive property. Ocean Eng. 2023, 283, 115098. [Google Scholar] [CrossRef]
- Liu, H.X.; Fu, J.N.; Liang, Z.T.; Liang, Z.C.; Zhang, Y.M.; Xiao, Z. A simple method of fast evaluating full-field wake velocities for arbitrary wind turbine arrays on complex terrains. Renew. Energy 2022, 201, 961–976. [Google Scholar] [CrossRef]
- Brogna, R.; Feng, J.; Sorensen, J.N.; Shen, W.Z.; Porte-Agel, F. A new wake model and comparison of eight algorithms for layout optimization of wind farms in complex terrain. Appl. Energy 2020, 259, 114189. [Google Scholar] [CrossRef]
- Croonenbroeck, C.; Hennecke, D. A comparison of optimizers in a unified standard for optimization on wind farm layout optimization. Energy 2021, 216, 119244. [Google Scholar] [CrossRef]
- Cazzaro, D.; Pisinger, D. Variable neighborhood search for large offshore wind farm layout optimization. Comput. Oper. Res. 2022, 138, 105588. [Google Scholar] [CrossRef]
- Tian, L.L.; Zhu, W.J.; Shen, W.Z.; Song, Y.L.; Zhao, N. Prediction of multi-wake problems using an improved Jensen wake model. Renew. Energy 2017, 102, 457–469. [Google Scholar] [CrossRef]
- Tao, S.Y.; Xu, Q.S.; Feijoo, A.; Zheng, G.; Zhou, J.M. Nonuniform wind farm layout optimization: A state-of-the-art review. Energy 2020, 209, 118339. [Google Scholar] [CrossRef]
- Ugray, Z.; Lasdon, L.; Plummer, J.; Glover, F.; Kelly, J.; Marti, R. Scatter search and local NLP solvers: A multistart framework for global optimization. Inf. J. Comput. 2007, 19, 328–340. [Google Scholar] [CrossRef]
- Hooke, R.; Jeeves, T.A. “Direct Search” Solution of Numerical and Statistical Problems. J. ACM 1961, 8, 212–229. [Google Scholar] [CrossRef]
- Barthelmie, R.J.; Frandsen, S.T.; Rathmann, O.; Hansen, K.; Politis, E.S.; Prospathopoulos, J.; Schepers, J.G.; Rados, K.; Cabezón, D.; Schlez, W.; et al. Flow and Wakes in Large Wind Farms: Final Report for UpWind WP8; Risø-R-1765(EN); Risø National Laboratory for Sustainable Energy, Technical University of Denmark: Roskilde, Denmark, 2011. [Google Scholar]
- Gharaati, M.; Xiao, S.; Wei, N.J.; Martínez-Tossas, L.A.; Dabiri, J.O.; Yang, D. Large-eddy simulation of helical- and straight-bladed vertical-axis wind turbines in boundary layer turbulence. J. Renew. Sustain. Energy 2022, 14, 053301. [Google Scholar] [CrossRef]
- Mishnaevsky, L.; Hasager, C.B.; Bak, C.; Tilg, A.-M.; Bech, J.I.; Doagou Rad, S.; Fæster, S. Leading edge erosion of wind turbine blades: Understanding, prevention and protection. Renew. Energy 2021, 169, 953–969. [Google Scholar] [CrossRef]
- Carraro, M.; De Vanna, F.; Zweiri, F.; Benini, E.; Heidari, A.; Hadavinia, H. CFD Modeling of Wind Turbine Blades with Eroded Leading Edge. Fluids 2022, 7, 302. [Google Scholar] [CrossRef]











| Algorithm | Population/Swarm Size | MaxIteration | MaxStallIteration |
|---|---|---|---|
| GA | 200 | 16,000 | 50 |
| PSO | 100 | 32,000 | 20 |
| Algorithm | MaxFunctionEvaluation | MaxIteration |
|---|---|---|
| GS | 3000 | 1000 |
| PS | 320,000 | 16,000 |
| Parameter | Value |
|---|---|
| Inflow velocity u0 [m/s] | 8 |
| Freestream turbulence intensity I0 | 0.07 |
| Surface roughness height z0 [m] | 0.003 |
| Thrust coefficient Ct | 0.806 |
| Setting | dmin | Iteration and Population/Particle |
|---|---|---|
| 1 | 4D | default |
| 2 | 4D | 10 times default |
| 3 | 2D | default |
| 4 | 6D | default |
Disclaimer/Publisher’s Note: The statements, opinions and data contained in all publications are solely those of the individual author(s) and contributor(s) and not of MDPI and/or the editor(s). MDPI and/or the editor(s) disclaim responsibility for any injury to people or property resulting from any ideas, methods, instructions or products referred to in the content. |
© 2023 by the authors. Licensee MDPI, Basel, Switzerland. This article is an open access article distributed under the terms and conditions of the Creative Commons Attribution (CC BY) license (https://creativecommons.org/licenses/by/4.0/).
Share and Cite
Liang, Z.; Liu, H. Layout Optimization Algorithms for the Offshore Wind Farm with Different Densities Using a Full-Field Wake Model. Energies 2023, 16, 5916. https://doi.org/10.3390/en16165916
Liang Z, Liu H. Layout Optimization Algorithms for the Offshore Wind Farm with Different Densities Using a Full-Field Wake Model. Energies. 2023; 16(16):5916. https://doi.org/10.3390/en16165916
Chicago/Turabian StyleLiang, Zhichang, and Haixiao Liu. 2023. "Layout Optimization Algorithms for the Offshore Wind Farm with Different Densities Using a Full-Field Wake Model" Energies 16, no. 16: 5916. https://doi.org/10.3390/en16165916
APA StyleLiang, Z., & Liu, H. (2023). Layout Optimization Algorithms for the Offshore Wind Farm with Different Densities Using a Full-Field Wake Model. Energies, 16(16), 5916. https://doi.org/10.3390/en16165916

