On the Benefits of Active Aerodynamics on Energy Recuperation in Hybrid and Fully Electric Vehicles
Abstract
1. Introduction
- In on-throttle scenarios, the internal combustion engine (ICE) can be used as a generator when the driver demand is below the maximum available ICE torque.
- In off-throttle scenarios, the electric machine/s (EMs) can be used to increase the drag torque and provide a one-pedal drive functionality [2].
- In on-brake scenarios, the driver braking force demand is split between the EM(s) and friction brakes.
- The assessment of the effects of active aerodynamics control on the recovery efficiency of regenerative braking.
- The integration of active aerodynamics with an open-loop braking force distribution and brake blending strategy for maximizing energy recovery efficiency by reducing tire slip and drivetrain power losses.
2. Case Study Vehicle, Model Formulations, and Workflow
2.1. Case Study Vehicle
- The proposed active configuration, referred to as Active, with the variable .
- The Passive configuration, which serves as a baseline, in which the rear wing is held at −14 deg. This would be the setting for a vehicle with passive aerodynamic devices because it provides a good trade-off across the operating envelope. The ABS, EBD, and brake blending algorithms are the same as those for Active.
2.2. Vehicle Model Formulation
2.3. Architecture for Time Domain Simulations
- The driver model, which generates the total braking force demand, , which, in the real car equipped with an electro-hydraulic braking system, would be computed from the measured brake pedal position. Depending on the maneuver, the driver model is either a feedforward model demanding a given profile or a feedforward-feedback model, which adjusts the braking force demand to follow a target deceleration profile.
- The feedforward brake controller, containing lookup tables, based on the outputs of the Problem 1 and Problem 2 optimizations in Section 3, which compute (i) the actuation levels of the rear wing, ; (ii) the controllable front and rear braking forces, , caused by the combination of the friction braking and EM actuations; and (iii) the target front and rear half-shaft torque, , i.e., the regenerative braking contributions.
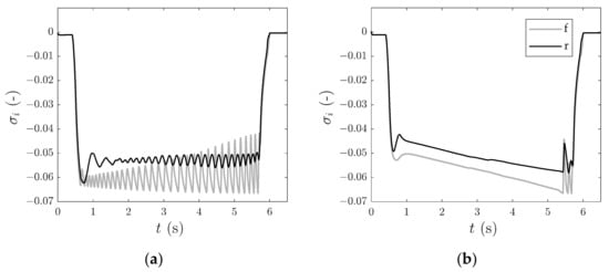
- The EBD, which, in case of the excessive magnitude of the rear slip ratios w.r.t. the front ones in braking, performs a reduction in the magnitude of and thus generates the EBD force demands according to the formulation in [19], which facilitates vehicle stability in braking. Here and in the remainder of this paper, the subscript indicates the left or right wheels, which are considered independent in the EBD regulation algorithm. Nevertheless, in the simulations, given the symmetry of the considered scenarios and the vehicle model assumptions, the response on the two vehicle sides is considered identical.
- The ABS, based on a state-of-the-art formulation for production vehicles [40], which, in the presence of wheel locking tendency on individual corners, computes an appropriate reduction () of and , resulting in updated reference braking forces, . The ABS modulation is actuated solely by the friction brakes, as the EMs are connected to the wheels by transmissions and half-shafts, which prevent sufficiently accurate torque control.
- The brake blending algorithm, which, starting from , outputs the torque demands for the EMs and friction brakes, and , respectively. The function tries to maximize the regenerative torque while accounting for (i) the EM limits; (ii) the battery power limit; (iii) the feedforward contributions ; and (iv) the equivalent regenerative deceleration limit, , related to the functional safety considerations mentioned in Section 1, which—for conciseness—is referred to as the safety limit. While is considered to be constant in the quasi-static optimizations of Section 3, in the more realistic time domain simulations, the magnitude of can decrease during the ABS interventions. More specifically, in the simulations considering its variation, ramps down from its static value of −0.3 g to −0.045 g, and then stays at this value for 1 s or until the brake blending algorithm determines that the braking system can meet the safety requirements with −0.3 g. After this time-out, the regenerative torque ramps back up to the static value within ~0.5 s. For completeness of analysis, some of the simulations in Section 5 neglect the variation of during the ABS interventions, and therefore, they consider −0.3 g (which corresponds to the typical nominal calibration of the algorithm; other values are also considered in the simulations).
2.4. Workflow Overview
3. Optimization Problems
3.1. Problem 1
3.2. Problem 2
4. Optimization Results
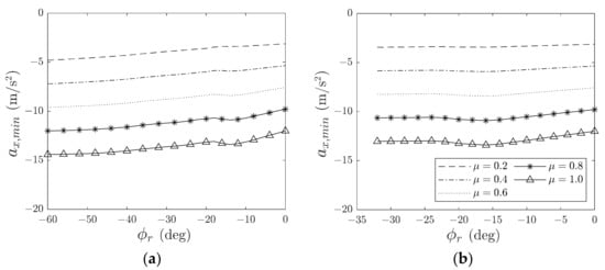
4.1. Problem 1 Results
4.2. Problem 2 Results
5. Time Domain Results
- The braking distance from the start of the brake pedal input application until the target speed is reached;
- The total energy recovered in the battery system during the same period;
- The peak deceleration during the maneuver.
6. Conclusions
- The specific rear wing provides a higher deceleration envelope in the maximum drag mode than in the maximum downforce mode. Thus, if the safety limit decreases during ABS activation, for deceleration conditions in which the ABS is engaged only for the Passive case, the Active configuration significantly outperforms the passive one, e.g., with a regenerated energy increase by up to 37%, occurring concurrently with a 2% braking distance reduction.
- When braking at the same deceleration and from the same speed, the Active configuration reduces the longitudinal tire slip power losses because the tires have to provide less longitudinal force in comparison with the Passive case. For example, in a braking test from 300 km/h at a deceleration close to the maximum envelope of the Passive vehicle, this effect results in a 0.4% energy recovery increase, concurrently with a 0.2% braking distance reduction.
- Treating the vehicle body and wings as independent aerodynamic devices that do not interact.
- The lack of consideration of the pitch dynamics in the simulations and the assumption that their influence on the aerodynamic ground effect is negligible.
- The lack of consideration of three-dimensional effects, such as vorticity and induced drag, since the considered aerodynamic coefficients are for two-dimensional airfoils.
Author Contributions
Funding
Data Availability Statement
Conflicts of Interest
Abbreviations
| List of Symbols | |
| longitudinal acceleration | |
| battery power related limit on the equivalent deceleration from regeneration | |
| EM limit on the equivalent deceleration from regeneration | |
| safety-related limit on the equivalent deceleration from regeneration | |
| equivalent deceleration from regeneration on front axle | |
| equivalent deceleration from regeneration on both axles | |
| maximum deceleration | |
| ratio of the friction brake force contribution to the total braking force | |
| front-to-total braking force distribution | |
| aerodynamic drag coefficient | |
| body drag coefficient | |
| wing drag coefficient | |
| lift coefficient for a given axle | |
| vertical tire stiffness | |
| body lift coefficient | |
| wing lift coefficient | |
| , , | longitudinal tire force coefficients |
| , , | effective wheel radius coefficients |
| , | tire rolling resistance coefficients |
| limit on the controllable equivalent half-shaft force | |
| longitudinal tire force | |
| aerodynamic drag force | |
| total braking force demand | |
| axle braking force | |
| axle braking force from the feedforward maps | |
| rear wheel braking force from the EBD | |
| wheel braking force from the ABS | |
| nominal vertical tire load | |
| aerodynamic lift force on a given axle | |
| vertical load | |
| gravitational acceleration | |
| center of gravity height | |
| EM-to-wheel gear ratio | |
| cost function | |
| equivalent mass moment of inertia of the rotating components of the axle | |
| wheelbase | |
| semi-wheelbase | |
| vehicle mass | |
| selected gear number | |
| minimum battery power, i.e., maximum battery power in regeneration | |
| electrical power consumed or regenerated by the considered EM | |
| reference value of the total electrical power to be consumed or regenerated by the EMs | |
| total electrical power consumed or regenerated by the EMs | |
| power loss of the considered EM | |
| peak power of each EM | |
| combined electrical power recuperation of all EMs | |
| coefficient for the computation of the loaded and effective radius | |
| loaded wheel radius | |
| averaged value of loaded wheel radius | |
| unloaded wheel radius | |
| , , | cost function weights |
| frontal area of the vehicle | |
| longitudinal tire force offset | |
| , | front and rear track widths |
| friction brake torque | |
| controllable half-shaft torque | |
| half-shaft output torque | |
| minimum half-shaft output torque | |
| transmission torque loss | |
| EM torque | |
| maximum EM torque | |
| minimum EM torque | |
| rolling resistance torque | |
| vector of optimization variables | |
| vehicle speed | |
| reduction on wheel braking force from the ABS | |
| increase in regenerative power of Active over Passive | |
| tire–road friction correction factor | |
| air density | |
| bound on the slip ratio difference | |
| longitudinal tire slip | |
| wing angle of attack | |
| angular motor speed | |
| angular wheel speed | |
| List of Abbreviations | |
| ABS | antilock braking system |
| EBD | electronic braking force distribution |
| EM | electric machine |
| ESP | electronic stability program |
| FEV | fully electric vehicle |
| FTTI | fault tolerant time interval |
| HEV | hybrid electric vehicle |
| ICE | internal combustion engine |
References
- Regulation (EU) 2019/631 of the European Parliament and of the Council of 17 April 2019 Setting CO2 Emission Performance Standards for New Passenger Cars and for New Light Commercial Vehicles, and Repealing Regulations (EC) No 443/2009 and (EU) No 510/2011; European Union: Brussels, Belgium, 2019; Volume L 111, pp. 13–53.
- Van Boekel, J.; Besselink, I.; Nijmeijer, H. Design and realization of a One-Pedal-Driving algorithm for the TU/e Lupo EL. World Electr. Veh. J. 2015, 7, 226–237. [Google Scholar] [CrossRef]
- Bosch Mobility Ltd. Integrated Power Brake. Available online: https://www.bosch-mobility.com/en/solutions/driving-safety/integrated-power-brake/ (accessed on 1 June 2023).
- Oleksowicz, S.A.; Burnham, K.J.; Barber, P.; Toth-Antal, B.; Waite, G.; Hardwick, G.; Harrington, C.; Chapman, J. Investigation of regenerative and Anti-lock Braking interaction. Int. J. Automot. Technol. 2013, 14, 641–650. [Google Scholar] [CrossRef]
- Vacca, F.; Capilli, G.; Sorniotti, A.; Cavallino, C.; Fracchia, M.; Remondin, T.; Bottiglione, F. A novel hybridized automated manual transmission for high performance cars. In Proceedings of the 2018 IEEE 15th International Workshop on Advanced Motion Control (AMC), Tokyo, Japan, 9–11 March 2018; pp. 517–522. [Google Scholar] [CrossRef]
- Li, L.; Li, X.; Wang, X.; Liu, Y.; Song, J.; Ran, X. Transient switching control strategy from regenerative braking to anti-lock braking with a semi-brake-by-wire system. Veh. Syst. Dyn. 2016, 54, 231–257. [Google Scholar] [CrossRef]
- de Castro, R.; Araújo, R.E.; Tanelli, M.; Savaresi, S.M.; Freitas, D. Torque blending and wheel slip control in EVs with in-wheel motors. Veh. Syst. Dyn. 2012, 50, 71–94. [Google Scholar] [CrossRef]
- Satzger, C.; de Castro, R.; Knoblach, A.; Brembeck, J. Design and validation of an MPC-based torque blending and wheel slip control strategy. In Proceedings of the 2016 IEEE Intelligent Vehicles Symposium (IV), Gotenburg, Sweden, 19–22 June 2016. [Google Scholar] [CrossRef]
- Salari, A.H.; Mirzaeinejad, H.; Mahani, M.F. A new control algorithm of regenerative braking management for energy efficiency and safety enhancement of electric vehicles. Energy Convers. Manag. 2023, 276, 116564. [Google Scholar] [CrossRef]
- Deligianni, S.P.; Quddus, M.; Morris, A.; Anvuur, A.; Reed, S. Analyzing and Modeling Drivers’ Deceleration Behavior from Normal Driving. Transp. Res. Rec. J. Transp. Res. Board 2017, 2663, 134–141. [Google Scholar] [CrossRef]
- Fujimoto, H.; Harada, S. Model-Based Range Extension Control System for Electric Vehicles With Front and Rear Driving–Braking Force Distributions. IEEE Trans. Ind. Electron. 2015, 62, 3245–3254. [Google Scholar] [CrossRef]
- Torinsson, J.; Jonasson, M.; Yang, D.; Jacobson, B. Energy reduction by power loss minimisation through wheel torque allocation in electric vehicles: A simulation-based approach. Veh. Syst. Dyn. 2020, 60, 1488–1511. [Google Scholar] [CrossRef]
- De Filippis, G.; Lenzo, B.; Sorniotti, A.; Gruber, P.; De Nijs, W. Energy-Efficient Torque-Vectoring Control of Electric Vehicles With Multiple Drivetrains. IEEE Trans. Veh. Technol. 2018, 67, 4702–4715. [Google Scholar] [CrossRef]
- Kobayashi, T.; Katsuyama, E.; Sugiura, H.; Ono, E.; Yamamoto, M. Efficient direct yaw moment control: Tyre slip power loss minimisation for four-independent wheel drive vehicle. Veh. Syst. Dyn. 2017, 56, 719–733. [Google Scholar] [CrossRef]
- Paul, D.; Velenis, E.; Cao, D.; Dobo, T. Optimal µ-Estimation-Based Regenerative Braking Strategy for an AWD HEV. IEEE Trans. Transp. Electrif. 2017, 3, 249–258. [Google Scholar] [CrossRef]
- Biao, J.; Xiangwen, Z.; Yangxiong, W.; Wenchao, H. Regenerative Braking Control Strategy of Electric Vehicles Based on Braking Stability Requirements. Int. J. Automot. Technol. 2021, 22, 465–473. [Google Scholar] [CrossRef]
- Sun, H.; Wang, H.; Zhao, X. Line Braking Torque Allocation Scheme for Minimal Braking Loss of Four-Wheel-Drive Electric Vehicles. IEEE Trans. Veh. Technol. 2018, 68, 180–192. [Google Scholar] [CrossRef]
- Fling, R.; Fenton, R. A describing-function approach to antiskid design. IEEE Trans. Veh. Technol. 1981, 30, 134–144. [Google Scholar] [CrossRef]
- Buschmann, G.; Ebner, H.-T.; Kuhn, W. Electronic Brake Force Distribution Control—A Sophisticated Addition to ABS. In SAE Technical Paper Series; SAE International: Warrendale, PA, USA, 1992. [Google Scholar] [CrossRef]
- Tavernini, D.; Velenis, E.; Longo, S. Feedback brake distribution control for minimum pitch. Veh. Syst. Dyn. 2017, 55, 902–923. [Google Scholar] [CrossRef]
- McLaren Automotive Ltd. The McLaren F1—Press Kit 1992. May 2016. Available online: https://cars.mclaren.press/en-gb/releases/375 (accessed on 1 June 2023).
- Savkoor, A.R.; Chou, C.T. Application of Aerodynamic Actuators to Improve Vehicle Handling. Veh. Syst. Dyn. 1999, 32, 345–374. [Google Scholar] [CrossRef]
- Diba, F.; Barari, A.; Esmailzadeh, E. Handling and safety enhancement of race cars using active aerodynamic systems. Veh. Syst. Dyn. 2014, 52, 1171–1190. [Google Scholar] [CrossRef]
- Shahein, A.H.; Ata, A.A.; Haraz, E.H.; El-Souhily, B.M. Vibration suppression of terrains irregularities using active aero-dynamic surface for half-car model sport vehicles. J. Vib. Control 2020, 26, 2148–2162. [Google Scholar] [CrossRef]
- Ahangarnejad, A.H.; Melzi, S. Numerical analysis of the influence of an actively controlled spoiler on the handling of a sports car. J. Vib. Control 2018, 24, 5437–5448. [Google Scholar] [CrossRef]
- Ahangarnejad, A.H.; Melzi, S.; Ahmadian, M. Integrated Vehicle Dynamics System through Coordinating Active Aerodynamics Control, Active Rear Steering, Torque Vectoring and Hydraulically Interconnected Suspension. Int. J. Automot. Technol. 2019, 20, 903–915. [Google Scholar] [CrossRef]
- Pinheiro, H.D.C.; Carello, M. Design and Validation of a High-Level Controller for Automotive Active Systems. SAE Int. J. Veh. Dyn. Stab. NVH 2022, 7, 83–98. [Google Scholar] [CrossRef]
- Haggag, S.; Marzbali, M. Longitudinal Dynamics of a Vehicle Equipped with an Active Rear Spoiler. SAE Int. J. Passeng. Veh. Syst. 2022, 15, 183–194. [Google Scholar] [CrossRef]
- Kurec, K.; Remer, M.; Piechna, J. The influence of different aerodynamic setups on enhancing a sports car\textquotesingles braking. Int. J. Mech. Sci. 2019, 164, 105140. [Google Scholar] [CrossRef]
- Broniszewski, J.; Piechna, J. A fully coupled analysis of unsteady aerodynamics impact on vehicle dynamics during braking. Eng. Appl. Comput. Fluid Mech. 2019, 13, 623–641. [Google Scholar] [CrossRef]
- Ferraris, A.; De Cupis, D.; Pinheiro, H.D.C.; Messana, A.; Sisca, L.; Airale, A.G.; Carello, M. Integrated Design and Control of Active Aerodynamic Features for High Performance Electric Vehicles. In SAE Technical Paper Series; SAE International: Warrendale, PA, USA, 2021. [Google Scholar] [CrossRef]
- Broeren, A.; Bragg, M. Effect of Airfoil Geometry on Performance with Simulated Intercycle Ice Accretions. J. Aircr. 2005, 42, 121–130. [Google Scholar] [CrossRef]
- Katz, J.J. Race-Car Aerodynamics. In AccessScience; McGraw Hill: Chicago, IL, USA, 2015. [Google Scholar] [CrossRef]
- Piechna, J. A Review of Active Aerodynamic Systems for Road Vehicles. Energies 2021, 14, 7887. [Google Scholar] [CrossRef]
- Devanuri, J.K. Numerical Investigation of Aerodynamic Braking for a Ground Vehicle. J. Inst. Eng. Ser. C 2017, 99, 329–337. [Google Scholar] [CrossRef]
- Sheldahl, E.R.; Klimas, P.C. Aerodynamic Characteristics of Seven Symmetrical Airfoil Sections through 180-Degree Angle of Attack for Use in Aerodynamic Analysis of Vertical Axis Wind Turbines; U.S. Department of Energy Office of Scientific and Technical Information: Oak Ridge, TN, USA, 1981. [CrossRef]
- Vacca, F.; De Pinto, S.; Karci, A.E.H.; Gruber, P.; Viotto, F.; Cavallino, C.; Rossi, J.; Sorniotti, A. On the Energy Efficiency of Dual Clutch Transmissions and Automated Manual Transmissions. Energies 2017, 10, 1562. [Google Scholar] [CrossRef]
- Pacejka, H. Tire and Vehicle Dynamics, 3rd ed.; Elsevier: Oxford, UK, 2012. [Google Scholar]
- Tavernini, D.; Vacca, F.; Metzler, M.; Savitski, D.; Ivanov, V.; Gruber, P.; Hartavi, A.E.; Dhaens, M.; Sorniotti, A. An Explicit Nonlinear Model Predictive ABS Controller for Electro-Hydraulic Braking Systems. IEEE Trans. Ind. Electron. 2019, 67, 3990–4001. [Google Scholar] [CrossRef]
- Vignati, M.; Sabbioni, E. Force-based braking control algorithm for vehicles with electric motors. Veh. Syst. Dyn. 2019, 58, 1348–1366. [Google Scholar] [CrossRef]



















| Parameter Name | Symbol | Value |
|---|---|---|
| Vehicle mass | 1650 kg | |
| Wheelbase | 2.69 m | |
| Front semi-wheelbase | 1.48 m | |
| Front track width | 1.68 m | |
| Rear track width | 1.61 m | |
| Unloaded front wheel radius | 0.343 m | |
| Unloaded rear wheel radius | 0.364 m | |
| Centre of gravity height | 0.44 m | |
| Peak power of each EM | 77 kW | |
| Peak motoring torque of each EM | 300 Nm | |
| Peak regenerative torque of each EM | −300 Nm |
| Test No. | Driver Deceleration Demand | Regeneration Safety Limit | Friction Correction Factor | Aerodyn. Config. | Braking Distance (m) | Total Recuperated Energy (Wh) | Peak Deceleration (m/s2) |
|---|---|---|---|---|---|---|---|
| 1 | Max. | 0.3 g—constant | 1.00 | Passive | 235.9 | 205.1 | 16.9 |
| Active | 227.4 | 197.7 | 17.8 | ||||
| 2 | Max. | 0.3 g—variable | 1.00 | Passive | 235.8 | 148.4 | 16.9 |
| Active | 227.3 | 140.5 | 17.8 | ||||
| 3 | Dem. < Passive | 0.3 g—constant | 1.00 | Passive | 233.5 | 202.0 | 16.4 |
| Active | 232.9 | 202.9 | 16.8 | ||||
| 4 | Passive < Dem. < Active | 0.3 g—constant | 1.00 | Passive | 233.5 | 206.4 | 16.9 |
| Active | 228.1 | 199.3 | 17.3 | ||||
| 5 | Passive < Dem. < Active | 0.3 g—variable | 1.00 | Passive | 233.5 | 144.7 | 16.9 |
| Active | 228.1 | 199.3 | 17.3 | ||||
| 6 | Dem. < Passive | 0.1 g—constant | 1.00 | Passive | 233.7 | 83.8 | 16.4 |
| Active | 232.7 | 84.4 | 16.8 | ||||
| 7 | Dem. < Passive | 0.5 g—constant | 1.00 | Passive | 235.2 | 223.2 | 16.3 |
| Active | 234.6 | 223.7 | 16.7 | ||||
| 8 | Dem. < Passive | 0.3 g—constant | 0.75 | Passive | 314.7 | 274.8 | 12.5 |
| Active | 314.1 | 276.8 | 12.9 | ||||
| 9 | Dem. < Passive | 0.3 g—constant | 0.50 | Passive | 453.4 | 401.1 | 8.9 |
| Active | 453.2 | 404.2 | 9.2 |
Disclaimer/Publisher’s Note: The statements, opinions and data contained in all publications are solely those of the individual author(s) and contributor(s) and not of MDPI and/or the editor(s). MDPI and/or the editor(s) disclaim responsibility for any injury to people or property resulting from any ideas, methods, instructions or products referred to in the content. |
© 2023 by the authors. Licensee MDPI, Basel, Switzerland. This article is an open access article distributed under the terms and conditions of the Creative Commons Attribution (CC BY) license (https://creativecommons.org/licenses/by/4.0/).
Share and Cite
Georgiev, P.; De Filippis, G.; Gruber, P.; Sorniotti, A. On the Benefits of Active Aerodynamics on Energy Recuperation in Hybrid and Fully Electric Vehicles. Energies 2023, 16, 5843. https://doi.org/10.3390/en16155843
Georgiev P, De Filippis G, Gruber P, Sorniotti A. On the Benefits of Active Aerodynamics on Energy Recuperation in Hybrid and Fully Electric Vehicles. Energies. 2023; 16(15):5843. https://doi.org/10.3390/en16155843
Chicago/Turabian StyleGeorgiev, Petar, Giovanni De Filippis, Patrick Gruber, and Aldo Sorniotti. 2023. "On the Benefits of Active Aerodynamics on Energy Recuperation in Hybrid and Fully Electric Vehicles" Energies 16, no. 15: 5843. https://doi.org/10.3390/en16155843
APA StyleGeorgiev, P., De Filippis, G., Gruber, P., & Sorniotti, A. (2023). On the Benefits of Active Aerodynamics on Energy Recuperation in Hybrid and Fully Electric Vehicles. Energies, 16(15), 5843. https://doi.org/10.3390/en16155843

