A Comprehensive Analysis on the Influence of the Adopted Cumulative Peak Current Distribution in the Assessment of Overhead Lines Lightning Performance
Abstract
1. Introduction
2. Cumulative Statistical Distribution of Peak Currents
3. Simulated Transmission Lines
4. Incidence Models
5. Modeling Guidelines
5.1. Current Waveforms
5.2. Transmission Line
5.3. Tower Modeling
5.4. Grounding System
5.5. Insulation Withstand
6. Results and Discussion
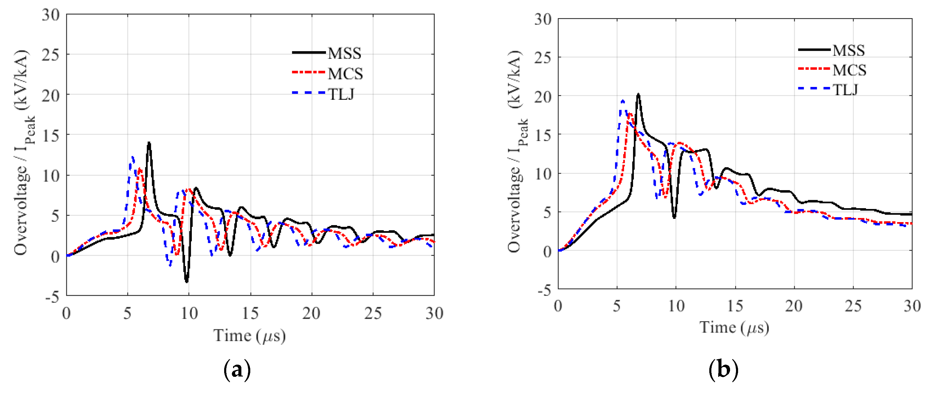
6.1. Typical Overvoltage Waveforms
6.2. Critical Currents
6.3. Backflashover Rate: Influence of the Adopted CCD to Determine
6.4. The Impact of the CCD on the Annual Number of Flashes to the Line (
6.5. Simultaneous Influence of the Adopted Cumulative Current Distribution to Determine and
7. Summary and Conclusions
- (1)
- The estimated values of critical current leading to line flashover from simulations considering the injection of three representative first negative stroke current waveforms assuming measurements performed in Switzerland (MSS), Brazil (MCS) and Japan (TLJ) were reasonably similar, despite the observed differences in the overvoltage waveforms associated with each lightning current. This reinforces the importance of choosing the appropriate CCD to compute the probability of the critical current being exceeded and, ultimately, to estimate the backflashover rate.
- (2)
- Typically, in the calculation of line backflashover outage rate, the CCD is considered only in the computation of the probability of the critical current being exceeded, p(Ip > Icrit). However, the adopted CCD also influences the determination of the annual number of flashes to the line, NTL. Therefore, in accurate analysis of lightning performance of TLs, the CCD should be considered in determining both p(Ip > Icrit) and NTL.
- (3)
- The concept of average attractive radius, widely used to compute the number of flashes to the line, assumes an average peak current value and disregards the statistical nature of this parameter. The use of this concept overestimates the number of annual flashes to the line compared to the approach that considers the influence of the cumulative current distribution. This result held true for all the cumulative current distributions considered in this paper.
- (4)
- Considering the three analyzed TLs, the use of the standard IEEE and CIGRE distributions leads to higher BFRs in comparison with instrumented tower MSS and TLJ distributions. This result holds for the 500 kV TL considering the MCS distribution and assuming tower footing grounding impedances up to around 40 Ω. However, for the 138 kV and 230 kV lines, the MCS distribution leads to higher backflashover rates as the tower footing impedance increases, notably in the case of the 138 kV line. Depending on the TL voltage level and on the tower footing impedance value, the differences between the estimated BFR using instrumented tower or standard distributions can be greater than 50%. This strongly reinforces the importance of using, whenever available, local cumulative peak current distributions obtained from measurements in instrumented towers to obtain more realistic outage rates consistent with the region in which the TL is installed.
- (5)
- If the TL is not located in a tropical region and local cumulative peak current distributions are not available, the use of the standard IEEE and CIGRE distributions is recommended as they lead to conservative estimates of the backflashover rate.
- (6)
- For higher voltage level TLs, the critical current can often exceed 100 kA. In this case, special care must be taken in the adopted assumptions for TL performance computation, since, of the three instrumented tower distributions considered in this paper, only the MCS and TLJ distributions contain measured values above 100 kA. This reinforces the need for a greater number of measurements on instrumented towers around the world, aiming at reducing the uncertainty at both ends of the cumulative peak current distributions.
Author Contributions
Funding
Data Availability Statement
Conflicts of Interest
References
- Working Group C4.23. CIGRE TB 839: Procedures for Estimating the Lightning Performance of Transmission Lines—New Aspects; CIGRÉ: Paris, France, 2021; ISBN 9782858735440. [Google Scholar]
- Bucolo, M.; Buscarino, A.; Famoso, C.; Fortuna, L. Chaos Addresses Energy in Networks of Electrical Oscillators. IEEE Access 2021, 9, 153258–153265. [Google Scholar] [CrossRef]
- CIGRÉ TB 549; Lightning Parameters for Engineering Applications. CIGRÉ: Paris, France, 2013.
- Std 1243-1997; Transmission and Distribution Committee. Guide for Improving the Lightning Performance of Transmission Lines. IEEE Power Engineering Society: New York, NY, USA, 1997; ISBN 1559379375.
- International Electrotechnical Commission (IEC). IEC 60099—Surge Arresters; IEC: Geneva, Switzerland, 2018. [Google Scholar]
- Datsios, Z.G.; Ioannidis, A.I.; Papadopoulos, T.A.; Tsovilis, T.E. A Stochastic Model for Evaluating the Lightning Performance of a −400 kV HVDC Overhead Line. IEEE Trans. Electromagn. Compat. 2021, 63, 1433–1443. [Google Scholar] [CrossRef]
- Datsios, Z.G.; Mikropoulos, P.N.; Tsovilis, T.E. Effects of Lightning Channel Equivalent Impedance on Lightning Performance of Overhead Transmission Lines. IEEE Trans. Electromagn. Compat. 2019, 61, 623–630. [Google Scholar] [CrossRef]
- Gatta, F.M.; Geri, A.; Lauria, S.; Maccioni, M.; Palone, F. Tower grounding improvement versus line surge arresters: Comparison of remedial measures for high-Bfor subtransmission lines. IEEE Trans. Ind. Appl. 2015, 51, 4952–4960. [Google Scholar] [CrossRef]
- Alemi, M.R.; Sheshyekani, K. Wide-band modeling of tower-footing grounding systems for the evaluation of lightning performance of transmission lines. IEEE Trans. Electromagn. Compat. 2015, 57, 1627–1636. [Google Scholar] [CrossRef]
- Shariatinasab, R.; Gholinezhad, J.; Sheshyekani, K.; Alemi, M.R. The effect of wide band modeling of tower-footing grounding system on the lightning performance of transmission lines: A probabilistic evaluation. Electr. Power Syst. Res. 2016, 141, 1–10. [Google Scholar] [CrossRef]
- Datsios, Z.G.; Mikropoulos, P.N.; Tsovilis, T.E. Estimation of the minimum shielding failure current causing flashover in overhead lines of the hellenic transmission system through ATP-EMTP simulations. Int. Colloq. Light. Power Syst. 2016. [Google Scholar] [CrossRef]
- Mikropoulos, P.N.; Tsovilis, T.E. Estimation of the Shielding Performance of Overhead Transmission Lines: The Effects of Lightning Attachment Model and Lightning Crest Current Distribution. IEEE Trans. Dielectr. Electr. Insul. 2012, 19, 2155–2164. [Google Scholar] [CrossRef]
- Martinez, J.A.; Castro-Aranda, F. Lightning performance analysis of overhead transmission lines using the EMTP. IEEE Trans. Power Deliv. 2005, 20, 2200–2210. [Google Scholar] [CrossRef]
- Assis, S.C.; Boaventura, W.C.; Paulino, J.O.S. Lightning Performance of Transmission Line: Comparison IEEE Flash and Monte Carlo Method. IEEE Lat. Am. Trans. 2017, 15, 269–274. [Google Scholar] [CrossRef]
- Mikropoulos, P.N.; Tsovilis, T.E. Estimation of lightning incidence to overhead transmission lines. IEEE Trans. Power Deliv. 2010, 25, 1855–1865. [Google Scholar] [CrossRef]
- He, J.; Wang, X.; Yu, Z.; Zeng, R. Statistical analysis on lightning performance of transmission lines in several regions of China. IEEE Trans. Power Deliv. 2015, 30, 1543–1551. [Google Scholar] [CrossRef]
- Berger, K.; Anderson, R.B.; Kroninger, H. Parameters of lightning flashes. Electra 1975, 41, 223–237. [Google Scholar]
- Anderson, J.G. Lightning Performance of Transmission Lines. In Transmission line Reference Book, 345 kV and above; EPRI-Electric Power Research Institute, Ed.; Electric Power Research Institute (EPRI): Palo Alto, CA, USA, 1982; pp. 545–597. [Google Scholar]
- Popolansky, F. Frequency Distribution of Amplitudes of Lightning Currents. Electra 1972, 22, 139–147. [Google Scholar]
- Anderson, R.B.; Eriksson, A.J. Lightning Parameters for Engineering Application. Electra 1980, 69, 65–102. [Google Scholar]
- Conceição, D.; Lopes, I.J.S.; Alipio, R. An Investigation into the Effect of the Probabilistic Distribution of Lightning Current Amplitude on a Transmission Line Backflashover Rate. In Proceedings of the 35th International Conference on Lightning Protection/XVI International Symposium on Lightning Protection, Colombo, Sri Lanka, 20–26 September 2021. [Google Scholar]
- Silveira, F.H.; Almeida, F.S.; Visacro, S. Assessing the influence of peak current distributions of first return strokes on the lightning performance of transmission lines: Instrumented tower distributions versus standard distributions. Electr. Power Syst. Res. 2023, 214, 108822. [Google Scholar] [CrossRef]
- Eriksson, A.J. The Incidence of Lightning Strikes to Power Lines. IEEE Power Eng. Rev. 1987, 66–67. [Google Scholar] [CrossRef]
- Working Group 01 (Lightning)—Study Committee 33 (Overvoltages and Insulation Coordination) CIGRE TB 63: Guide to Procedures for Estimating the Lightning Performance of Transmission Lines. CIGRE Rep. 1991, 63, 1–64.
- Sargent, M.A. The Frequency Distribution of Current Magnitudes of Lightning Strokes to Tall Structures. IEEE Trans. Power Appar. Syst. 1972, 91, 2224–2229. [Google Scholar] [CrossRef]
- Mousa, A.M.; Srivastava, K.D. The Implications of the Electrogeometric Model Regarding Effect of Height of Structure on the Median Amplitudes of Collected Lightning Strokes. IEEE Trans. Power Deliv. 1989, 4, 1450–1460. [Google Scholar] [CrossRef]
- Borghetti, A.; Nucci, C.A.; Paolone, M. Estimation of the Statistical Distributions of Lightning Current Parameters at Ground Level from the Data Recorded by Instrumented Towers. IEEE Trans. Power Deliv. 2004, 19, 1400–1409. [Google Scholar] [CrossRef]
- AIEE Committee Report. A Method of Estimating Lightning Performance of Transmission Lines. Trans. Am. Inst. Electr. Eng. 1950, 69, 1187–1196.
- Bao, J.; Wang, X.; Zheng, Y.; Zhang, F.; Huang, X.; Sun, P. Lightning Performance Evaluation of Transmission Line Based on Data-Driven Lightning Identification, Tracking, and Analysis. IEEE Trans. Electromag-Netic Compat. 2021, 63, 160–171. [Google Scholar] [CrossRef]
- de Castro Assis, S.; do Couto Boaventura, W.; Paulino, J.O.S.; Markiewicz, R.L. Lightning Performance of Transmission Line with and without Surge Arresters: Comparison between a Monte Carlo method and field experience. Electr. Power Syst. Res. 2017, 149, 169–177. [Google Scholar] [CrossRef]
- Koehler, F.; Swingler, J. Simplified Analytical Representation of Lightning Strike Waveshapes. IEEE Trans. Electromagn. Compat. 2016, 58, 153–160. [Google Scholar] [CrossRef]
- de Vasconcelos, J.A.; Teixeira, D.A.; Ribeiro MF, D.O. Optimal Selection and Arrangement of Cables for Compact Overhead Transmission Lines of 138/230 kV. IEEE Lat. Am. Trans. 2017, 15, 1460–1466. [Google Scholar] [CrossRef]
- Paolone, M.; Rachidi-Haeri, F.; Nucci, C.A. IEEE Guide for Improving the Lightning Performance of Electric Power Overhead Distribution Lines; IEEE: New York, NY, USA, 2011; Volume 2010, ISBN 9780738164878. [Google Scholar]
- Shariatinasab, R.; Vahidi, B.; Hosseinian, S.H.; Ametani, A. Probabilistic evaluation of optimal location of surge arresters on EHV and UHV networks due to switching and lightning surges. IEEE Trans. Power Deliv. 2009, 24, 1903–1911. [Google Scholar] [CrossRef]
- Takami, J.; Okabe, S. Observational results of lightning current on transmission towers. IEEE Trans. Power Deliv. 2007, 22, 547–556. [Google Scholar] [CrossRef]
- Silveira, F.H.; Visacro, S. Lightning Parameters of a Tropical Region for Engineering Application: Statistics of 51 Flashes Measured at Morro do Cachimbo and Expressions for Peak Current Distributions. IEEE Trans. Electromagn. Compat. 2019, 62, 1369. [Google Scholar] [CrossRef]
- EMTP User Group. Alternative Transients Program (ATP): Rule Book; Leuven EMTP Center: Leuven, Belgium, 1987. [Google Scholar]
- Dommel, H.W. Electromagnetic Transients Program. Reference Manual (EMTP Theory Book). Portland: Bonneville Power Administration; Bonneville Power Administration: Portland, OR, USA, 1986. [Google Scholar]
- CIGRE SC C4 (Working Group C4.26). Evaluation of lightning shielding analysis methods for EHV and UHV DC and AC transmission lines—Technical Brochure No. 704 2017. Electra 2017, 39–43. [Google Scholar]
- Golde, R.H. The Frequency of Occurrence and the Distribution of Lightning Flashes to Transmission Lines. AIEE Trans. 1945, 64, 902–910. [Google Scholar]
- Wagner, C.F.; Hileman, A.R. A New Approach to Calculation of Lightning Performance of Transmission Lines—II. Trans. Am. Inst. Electr. Eng. 1959, 78, 996–1020. [Google Scholar] [CrossRef]
- Wagner, C.F.; Hileman, A.R. Lightning performance of transmission lines—III. Electr. Eng. 1960, 79, 589–603. [Google Scholar] [CrossRef]
- Wagner, C.F.; Hileman, A.R. A New Approach to the Calculation or the Lightning Perrormance or Transmission Lines III-A Simplified Method: Stroke to Tower. Trans. Am. Inst. Electr. Eng. 1960, 79, 589–603. [Google Scholar] [CrossRef]
- Armstrong, H.R.; Whitehead, E.R. A Lightning Stroke Pathfinder. IEEE Trans. Power Appar. Syst. 1964, 83, 1223–1227. [Google Scholar] [CrossRef]
- Armstrong, H.R.; Whitehead, E.R. Field and Analytical Studies of Transmission Line Shielding. IEEE Trans. Power Appar. Syst. 1968, 87, 270–281. [Google Scholar] [CrossRef]
- Dellera, L.; Garbagnati, E. Lightning stroke simulation by means of the leader progression model. II. Exposure and shielding failure evaluation of overhead lines with assessment of application graphs. IEEE Trans. Power Deliv. 1990, 5, 2023–2029. [Google Scholar] [CrossRef]
- Dellera, L.; Garbagnati, E. Lightning Stroke Simulation by Means of the Leader Progression Model. Part I: Description of the model and evaluation of exposure of free-standing structures. IEEE Trans. Power Deliv. 1990, 5, 2009–2022. [Google Scholar] [CrossRef]
- Rizk, F.A.M. Modeling of Transmission Line Exposure to Direct Lightning Strokes. IEEE Trans. Power Deliv. 1990, 5, 1983–1997. [Google Scholar] [CrossRef]
- Eriksson, A.J. Lightning and Tall Structures. Trans. South African Inst. Electr. Eng. 1978, 69, 238–252. [Google Scholar]
- Eriksson, A.J. An Improved Electrogeometric Model for Transmission Line Shielding Analysis. IEEE Trans. Power Deliv. 1987, 2, 871–886. [Google Scholar] [CrossRef]
- Oliveira, A.J.; Schroeder, M.A.O.; Moura, R.A.R.; de Barros, M.T.C.; Lima, A.C.S. Adjustment of Current Waveform Parameters for First Lightning Strokes. In Proceedings of the International Symposium on Lightning Protection—XIV SIPDA, Natal, Brazil, 2–6 October 2017; pp. 121–126. [Google Scholar]
- de Conti, A.; Visacro, S. Analytical Representation of Single-and Double-Peaked Lightning Current Waveforms. IEEE Trans. Electromagn. Compat. 2007, 49, 448–451. [Google Scholar] [CrossRef]
- Rakov, V.A.; Uman, M.A. Lightning: Physics and Effects, 1st ed.; Cambridge University Press: Cambridge, UK, 2003. [Google Scholar]
- Guilherme, J.S.; Alipio, R. Impact of Subsequent Strokes on Backflashover Rate Revisited: Influence of the Accurate Representation of Tower-foot Grounding. In Proceedings of the 2022 36th International Conference on Lightning Protection (ICLP), Cape Town, South Africa, 2–7 October 2022; pp. 1–6. [Google Scholar]
- Conceição, D.; Lopes, I.J.S.; Alipio, R. An investigation into the impact of tower height variation on transmission line’ s backflashover rate considering different probability distributions. In Proceedings of the 36th International Conference on Lightning Protection—ICLP, Cape Town, South Africa, 2–7 October 2022. [Google Scholar]
- Conceição, D.; Alipio, R.; Chisholm, W.A.; Lopes, I.J.S. Lightning Performance Calculation of Transmission Lines Considering a Detailed Modeling of the Tower Geometries Distribution. In Proceedings of the International Conference on Grounding & Lightning Physics and Effects, Belo Horizonte, Brazil, 2–5 June 2021. [Google Scholar]
- De Conti, A.; Visacro, S.; Soares, A.; Schroeder, M.A.O. Revision, extension, and validation of Jordan’s formula to calculate the surge impedance of vertical conductors. IEEE Trans. Electromagn. Compat. 2006, 48, 530–536. [Google Scholar] [CrossRef]
- Vasconcellos, F.; Alípio, R.; Moreira, F. Evaluation of the Impact of Including the Frequency-Dependent Behavior of Grounding Systems on the Lightning Performance of Transmission Lines and on Grounding Systems Design. J. Control. Autom. Electr. Syst. 2022, 33, 531–540. [Google Scholar] [CrossRef]
- Martinez-Velasco, J.A. (Ed.) Power System Transients—Parameter Determination; CRC Press: Boca Raton, FL, USA, 2018. [Google Scholar]
- Alípio, R.; Visacro, S. Impulse Efficiency of Grounding Electrodes: Effect of Frequency-Dependent Soil Parameters. IEEE Trans. Power Deliv. 2014, 29, 716–723. [Google Scholar] [CrossRef]
- Visacro, S.; Silveira, F.H. Lightning Performance of Transmission Lines: Requirements of Tower-Footing Electrodes Consisting of Long Counterpoise Wires. IEEE Trans. Power Deliv. 2016, 31, 1524–1532. [Google Scholar] [CrossRef]
- Chisholm, W.A. New Challenges in Lightning Impulse and Insulators. IEEE Electr. Insul. Mag. 2010, 26, 14–25. [Google Scholar] [CrossRef]
















| Distributions | ||
|---|---|---|
| Berger (MSS) | 0.6102 | 30 |
| Morro do Cachimbo Station (MCS) | 0.47 | 43.3 |
| Takami and Okabe (TLJ) | 0.644 | 29.3 |
| CIGRE ( CIGRE ( | 1.33 | 61 |
| 0.605 | 33.3 | |
| IEEE | ||
| Phase | Shield Wire (3/8” EHS) | ||||
|---|---|---|---|---|---|
| Conductors per Phase | Radius (cm) | Radius (cm) | |||
| 138 kV | 1 | 1.467 | 0.0718 | 0.457 | 3.81 |
| 230 kV | 1 | 1.467 | 0.0718 | 0.457 | 3.81 |
| 500 kV | 4 | 1.465 | 0.0711 | 0.457 | 3.81 |
| Distributions | Ip1 | Ip2 | Td30 | S30 (kA/μs) | T50 | Sm (kA/μs) |
|---|---|---|---|---|---|---|
| MSS | 27.8 | 31.0 | 3.8 | 7.2 | 75 | 24.4 |
| (27.7) | (31.1) | (3.8) | (7.2) | (75) | (24.3) | |
| 0.36% | 0.32% | 0% | 0% | 0% | 0.4% | |
| MCS | 37.9 | 43.3 | 4.2 | - | 50 | - |
| (37.6) | (43.3) | (4.2) | (56.2) | |||
| 0.79% | 0% | 0% | 11% | |||
| TLJ | 27.6 | 29.6 | 3.2 | 8.5 | 38.6 | 19 |
| (27.7) | (29.3) | (3.2) | (8.8) | (36.5) | (18.9) | |
| 0.36% | 1% | 0% | 3% | 5.7% | 0.5% |
Disclaimer/Publisher’s Note: The statements, opinions and data contained in all publications are solely those of the individual author(s) and contributor(s) and not of MDPI and/or the editor(s). MDPI and/or the editor(s) disclaim responsibility for any injury to people or property resulting from any ideas, methods, instructions or products referred to in the content. |
© 2023 by the authors. Licensee MDPI, Basel, Switzerland. This article is an open access article distributed under the terms and conditions of the Creative Commons Attribution (CC BY) license (https://creativecommons.org/licenses/by/4.0/).
Share and Cite
Conceição, D.; Alipio, R.; Lopes, I.J.S.; Chisholm, W. A Comprehensive Analysis on the Influence of the Adopted Cumulative Peak Current Distribution in the Assessment of Overhead Lines Lightning Performance. Energies 2023, 16, 5836. https://doi.org/10.3390/en16155836
Conceição D, Alipio R, Lopes IJS, Chisholm W. A Comprehensive Analysis on the Influence of the Adopted Cumulative Peak Current Distribution in the Assessment of Overhead Lines Lightning Performance. Energies. 2023; 16(15):5836. https://doi.org/10.3390/en16155836
Chicago/Turabian StyleConceição, Daiane, Rafael Alipio, Ivan J. S. Lopes, and William Chisholm. 2023. "A Comprehensive Analysis on the Influence of the Adopted Cumulative Peak Current Distribution in the Assessment of Overhead Lines Lightning Performance" Energies 16, no. 15: 5836. https://doi.org/10.3390/en16155836
APA StyleConceição, D., Alipio, R., Lopes, I. J. S., & Chisholm, W. (2023). A Comprehensive Analysis on the Influence of the Adopted Cumulative Peak Current Distribution in the Assessment of Overhead Lines Lightning Performance. Energies, 16(15), 5836. https://doi.org/10.3390/en16155836
