The Impact of Bend–Twist Coupling on Structural Characteristics and Flutter Limit of Ultra-Long Flexible Wind Turbine Composite Blades
Abstract
1. Introduction
2. Aeroelastic Model
2.1. Polar Grid Blade Element Momentum Model
2.2. Structural Model
3. Composite Wind Turbine Blade
3.1. Layup and Stiffness Properties
3.2. Validation
3.3. Implementation of Bend–Twist Coupling
4. Results and Discussion
4.1. Flutter Analysis of Baseline Blade
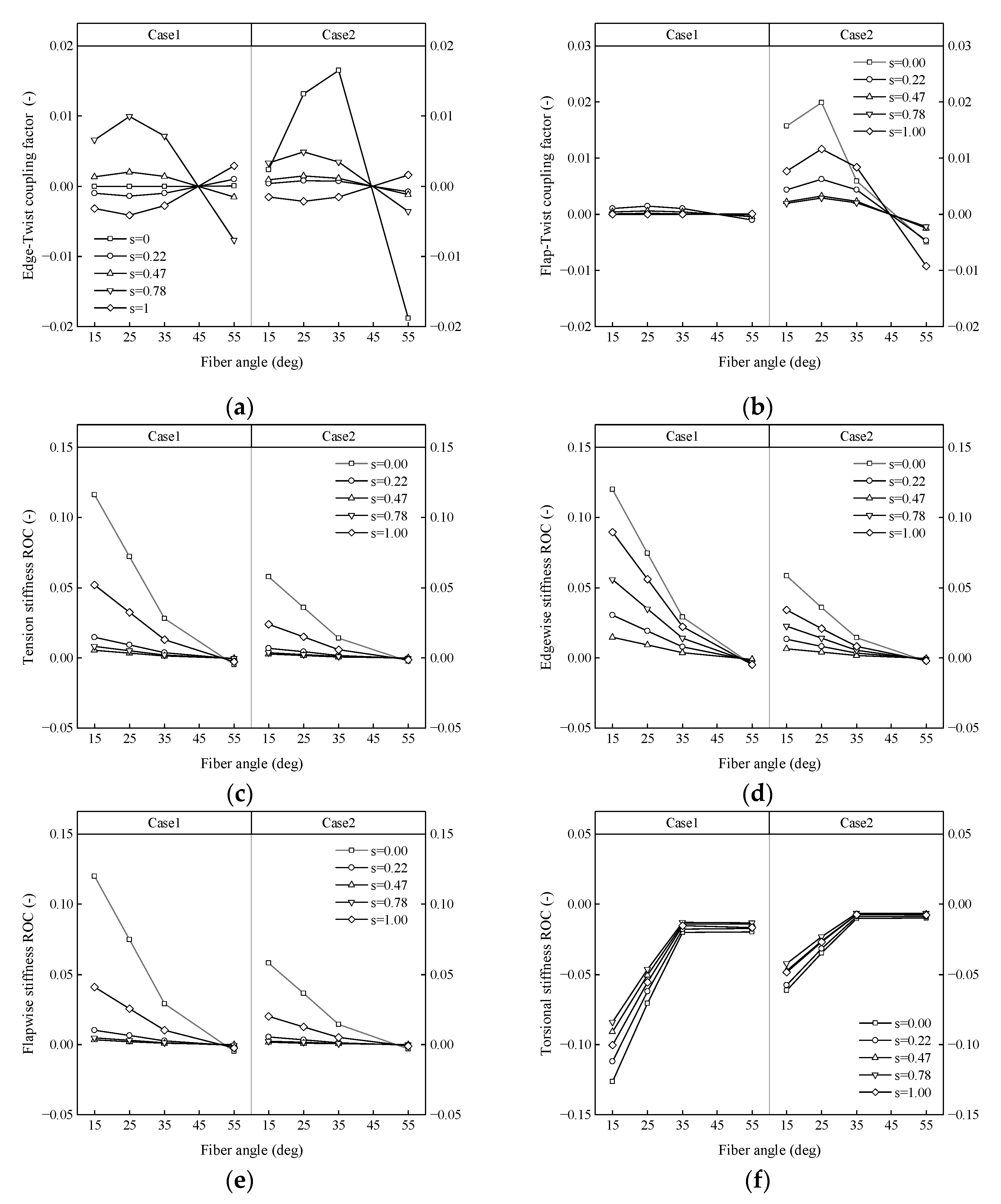
4.2. Effect of Skin Fiber Angle
4.3. Effect of Carbon Fiber Angle of the Spar Cap
5. Conclusions
Author Contributions
Funding
Data Availability Statement
Conflicts of Interest
Abbreviations
| GWEC | Global Wind Energy Council |
| BTC | bend–twist coupling |
| RWT | reference wind turbine |
| BEM | blade element momentum |
| LE | leading edge |
| TE | trailing edge |
| CFRP | carbon fiber reinforced polymer |
| AOA | angle of attack |
| ROC | rate of change |
References
- GWEC. Global Offshore Wind Report 2022; Technical Report; GWEC: Brussels Belgium, 2022. [Google Scholar]
- Reddy, S.; Suresh, R.; Hanamantraygouda, M.B. Use of composite materials and hybrid composites in wind turbine blades. Mater. Today Proc. 2021, 46, 2827–2830. [Google Scholar] [CrossRef]
- Mishnaevsky, J.L.; Branner, K.; Petersen, H.N. Materials for wind turbine blades: An overview. Materials 2017, 10, 1285. [Google Scholar] [CrossRef]
- Bortolotti, P.; Johnson, N.; Abbas, N.J. Land-based wind turbines with flexible rail-transportable blades–Part 1: Conceptual design and aeroservoelastic performance. Wind Energy Sci. 2021, 6, 1277–1290. [Google Scholar] [CrossRef]
- Veers, P.; Dykes, K.; Lantz, E. Grand challenges in the science of wind energy. Science 2019, 366, 1–9. [Google Scholar] [CrossRef] [PubMed]
- Gao, Q.; Cai, X.; Guo, X. Parameter sensitivities analysis for classical flutter speed of a horizontal axis wind turbine blade. J. Cent. South Univ. 2018, 25, 1746–1754. [Google Scholar] [CrossRef]
- Kelley, C.L.; Paquette, J. Investigation of flutter for large; highly flexible wind turbine blades. J. Phys. Conf. Ser. IOP Publ. 2020, 1618, 052078. [Google Scholar] [CrossRef]
- Chetan, M.; Yao, S.; Griffith, D.T. Flutter behavior of highly flexible blades for two-and three-bladed wind turbines. Wind Energy Sci. 2022, 7, 1731–1751. [Google Scholar] [CrossRef]
- Veers, P.; Bir, G.; Lobitz, D. Aeroelastic tailoring in wind-turbine blade applications. In Proceedings of the Windpower ’98, Bakersfield, CA, USA, 27 April–1 May 1998. [Google Scholar]
- Lobitz, D.; Veers, P.; Laino, D. Performance of twist-coupled blades on variable speed rotors. 2000 ASME Wind Energy Symp. 2000, 62, 404–412. [Google Scholar]
- Lobitz, D.W.; Veers, P.S. Load mitigation with bending/twist-coupled blades on rotors using modern control strategies. Wind Energy 2003, 6, 105–117. [Google Scholar] [CrossRef]
- Bottasso, C.L.; Campagnolo, F.; Croce, A. Optimization-based study of bend–twist coupled rotor blades for passive and integrated passive/active load alleviation. Wind Energy 2013, 16, 1149–1166. [Google Scholar] [CrossRef]
- Bagherpour, T.; Manolas, D.I.; Riziotis, V.A. Modeling of material bend-twist coupling on wind turbine blades. Compos. Struct. 2018, 193, 237–246. [Google Scholar] [CrossRef]
- Meng, H.; Lien, F.S.; Glinka, G. Study on fatigue life of bend-twist coupling wind turbine blade based on anisotropic beam model and stress-based fatigue analysis method. Compos. Struct. 2019, 208, 678–701. [Google Scholar] [CrossRef]
- Chen, J.; Shen, X.; Zhu, X. Study on composite bend-twist coupled wind turbine blade for passive load mitigation. Compos. Struct. 2019, 213, 173–189. [Google Scholar] [CrossRef]
- Yu, W.B. VABS Manual for Users; Purdue University: West Lafayette, IN, USA, 2021. [Google Scholar]
- Lobitz, D.; Paul, V. Aeroelastic behavior of twist-coupled HAWT blades. In Proceedings of the 1998 ASME Wind Energy Symposium, Reno, NV, USA, 12–15 January1998. [Google Scholar]
- Stäblein, A.R.; Morten, H.H.; Verelst, D.R. Modal properties and stability of bend–twist coupled wind turbine blades. Wind Energy Sci. 2017, 2, 343–360. [Google Scholar] [CrossRef]
- Shakya, P.; Sunny, M.R.; Maiti, D.K. A parametric study of flutter behavior of a composite wind turbine blade with bend-twist coupling. Compos. Struct. 2019, 207, 764–775. [Google Scholar] [CrossRef]
- Bir, G.S. User’s Guide to PreComp; National Renewable Energy Laboratory: Golden, CO, USA, 2006. [Google Scholar]
- Jonkman, B.; Mudafort, R.M.; Platt, A. OpenFAST/openfast: OpenFAST v3.1.0; Zenodo [Code]. 2022. Available online: https://zenodo.org/record/6324288#.ZAFU2h9BxPY (accessed on 10 May 2023).
- Larsen, T.J.; Hansen, A.M. How 2 HAWC2; The User’s Manual; DTU Wind Energy: Roskilde, Denmark, 2019. [Google Scholar]
- DNV GL: Bladed User Manual Version 4.9; Garrad Hassan & Partners Ltd.: Bristol, UK, 2018; Available online: https://www.dnv.com/services/wind-turbine-design-software-bladed-3775 (accessed on 10 May 2023).
- Shakya, P.; Sunny, M.R.; Maiti, D.K. Nonlinear flutter analysis of a bend-twist coupled composite wind turbine blade in time domain. Compos. Struct. 2022, 284, 115–216. [Google Scholar] [CrossRef]
- Hayat, K.; Lecea, A.G.M.; Moriones, C. D Flutter performance of bend-twist coupled large-scale wind turbine blades. J. Sound Vib. 2016, 370, 149–162. [Google Scholar] [CrossRef]
- Zhou, X.; Huang, K.; Li, Z. Effects of bend-twist coupling on flutter limits of composite wind turbine blades. Compos. Struct. 2018, 192, 317–326. [Google Scholar] [CrossRef]
- Torregrosa, A.J.; Gil, A.; Quintero, P.; Cremades, A. On the effects of orthotropic materials in flutter protection of wind turbine flexible blades. J. Wind Eng. Ind. Aerodyn. 2022, 227, 105055. [Google Scholar] [CrossRef]
- Gaertner, E.; Rinker, J.; Sethuraman, L. Definition of the IEA Wind 15-Megawatt Offshore Reference Wind Turbine; National Renewable Energy Laboratory: Golden, CO, USA, 2020. [Google Scholar]
- Rinker, J.; Gaertner, E.; Zahle, F. Comparison of loads from HAWC2 and OpenFAST for the IEA Wind 15 MW Reference Wind Turbine. J. Phys. Conf. Ser. 2020, 1618, 052052. [Google Scholar] [CrossRef]
- Fritz, E.K.; Ferreira, C.; Boorsma, K. An efficient blade sweep correction model for blade element momentum theory. Wind Energy 2022, 25, 1977–1994. [Google Scholar] [CrossRef]
- Scott, S.; Greaves, P.; Macquart, T.; Pirrera, A. Comparison of blade optimisation strategies for the IEA 15 MW reference turbine. J. Phys. Conf. Ser. 2022, 2265, 032029. [Google Scholar] [CrossRef]
- Trigaux, F.; Chatelain, P.; Winckelmans, G. Impact of the rotor blades elasticity on the loads and wake of the large IEA 15-MW wind turbine. J. Phys. Conf. Ser. 2023, 2505, 012034. [Google Scholar] [CrossRef]
- Oliveira, M.; Silva, L.; Puraca, R.; Carmo, B. CFD Investigation of the IEA Offshore 15 MW Reference Wind Turbine performance in full scale: A temporal discretization analysis. In Proceedings of the ASME 2023 International Conference 2023, Melbourne, Australia, 11–16 June 2023. [Google Scholar]
- Loubeyres, J.; Pfister, J.-L.; Blondel, F.; Guy, N. Stall flutter instabilities on the IEA-15 reference wind turbine in idling conditions: Code-to-code comparisons and physical analyses. J. Phys. Conf. Ser. 2022, 2265, 032019. [Google Scholar] [CrossRef]
- Tian, S.; Du, H.D.; Tao, F. iVABS(Version 0.7) [Software]. 2022. Available online: https://github.com/wenbinyugroup/ivabs/releases/tag/v0.7 (accessed on 25 April 2023).
- Camarena, E.; Anderson, E.; Ruehl, K. NuMAD v3.0 (3.0). Zenodo. 2022. Available online: https://zenodo.org/record/5851606 (accessed on 25 April 2023).
- Madsen, H.A.; Larsen, T.J.; Pirrung, G.R. Implementation of the blade element momentum model on a polar grid and its aeroelastic load impact. Wind Energy Sci. 2020, 5, 1–27. [Google Scholar] [CrossRef]
- Sriti, M. Tip loss factor effects on aerodynamic performances of horizontal axis wind turbine. Energy Procedia 2017, 118, 136–140. [Google Scholar]
- Lobitz, D.W. Aeroelastic stability predictions for a MW-sized blade. Wind Energy 2004, 7, 211–224. [Google Scholar] [CrossRef]
- Hansen, M.H. A Beddoes-Leishman Type Dynamic Stall Model in State-Space and Indicial Formulations; Technical Report; Riso National Laboratory: Roskilde, Denmark, 2004. [Google Scholar]
- Kim, T.; Hansen, A.M.; Branner, K. Development of an anisotropic beam finite element for composite wind turbine blades in multibody system. Renew. Energy 2013, 59, 172–183. [Google Scholar] [CrossRef]
- Garrett, B. IEA Wind 15-MW Release Notes. Available online: https://github.com/IEAWindTask37/IEA-15-240-RWT/blob/master/ReleaseNotes.md (accessed on 25 April 2023).
- Bortolotti, P.; Barter, G.; Gaertner, E. IEA 15 MW Offshore Reference Turbine; with Taped Chord Tip Design. Available online: https://github.com/IEAWindTask37/IEA-15-240-RWT/blob/master/WT_Ontology/IEA-15-240-RWT.yaml (accessed on 25 April 2023).
- Hodges, D.H. Nonlinear Composite Beam Theory; American Institute of Aeronautics and Astronautics: Washington, WA, USA, 2006. [Google Scholar]
- Tian, S.; Liu, X.; Yu, W. PreVABS Manual; Purdue University: West Lafayette, IN, USA, 2018; Available online: https://cdmhu b.org/resources/1597 (accessed on 25 April 2023).
- Lu, M.M.; Ke, S.T.; Wu, H.X. A novel forecasting method of flutter critical wind speed for the 15 MW wind turbine blade based on aeroelastic wind tunnel test. J. Wind Eng. Ind. Aerodyn. 2022, 230, 105195. [Google Scholar] [CrossRef]
- Bak, C.; Zahle, F.; Bitsche, R. The DTU 10-MW Reference Wind Turbine; DTU Wind Energy: Roskilde, Denmark, 2013. [Google Scholar]
- Holierhoek, J.G. Aeroelastic Stability Models: Handbook of Wind Energy Aerodynamics; Springer: Cham, Switzerland, 2020; pp. 1–44. [Google Scholar]













| Parameters | Values |
|---|---|
| Rated power | 15 MW |
| Blade number | 3 |
| Blade length | 117 m |
| Rated rotor speed | 7.56 rpm |
| Hub height | 150 m |
| Rated wind speed | 10.59 m/s |
| Blade prebend | 4 m |
| Blade mass | 65 t |
| Material | Density (kg/m3) | E1 (MPa) | E2 (MPa) | E3 (MPa) | G1 (MPa) | G2 (MPa) | G3 (MPa) | υ12 | υ23 | υ13 |
|---|---|---|---|---|---|---|---|---|---|---|
| Gelcoat | 1235 | 3440 | 3440 | 3440 | 1323 | 1323 | 1323 | 0.3 | 0.3 | 0.3 |
| Glass_uni | 1940 | 44,600 | 17,000 | 16,700 | 3270 | 3480 | 3500 | 0.262 | 0.35 | 0.264 |
| Carbon UD | 1220 | 114,500 | 8390 | 8390 | 5990 | 5990 | 5990 | 0.27 | 0.27 | 0.27 |
| Foam | 130 | 129.2 | 129.2 | 129.2 | 48.95 | 48.95 | 48.95 | 0.32 | 0.32 | 0.32 |
| Mode | Frequency | |||
|---|---|---|---|---|
| Present Study | Reference Model | Rinker [29] | Lu [46] | |
| First-order flapwise | 0.512 | 0.504 | 0.521 | 0.555 |
| First-order edgewise | 0.692 | 0.691 | 0.619 | 0.642 |
| Second-order flapwise | 1.509 | 1.476 | 1.559 | 1.598 |
| Second-order edgewise | 2.120 | 2.134 | 1.933 | 1.925 |
| Third-order flapwise | 2.992 | 2.929 | 3.078 | 3.016 |
| Third-order edgewise | 4.278 | 4.291 | 4.156 | - |
| First-order torsion | 4.314 | 4.371 | 4.475 | 3.911 |
| Cases | Symmetric/ Asymmetric | Subcases | Triax Glass Fiber Angle Orientation [+θ1/02/−θ2] | Region of Changing Fiber Angle Orientation | |
|---|---|---|---|---|---|
| θ1 | θ2 | ||||
| 1 | Symmetric | 1 | 15 | 45 | Full blade |
| 2 | 25 | 45 | |||
| 3 | 35 | 45 | |||
| 4 | 55 | 45 | |||
| 2 | Asymmetric | 1 | 15 | 45 | Suction side |
| 2 | 25 | 45 | |||
| 3 | 35 | 45 | |||
| 4 | 55 | 45 | |||
Disclaimer/Publisher’s Note: The statements, opinions and data contained in all publications are solely those of the individual author(s) and contributor(s) and not of MDPI and/or the editor(s). MDPI and/or the editor(s) disclaim responsibility for any injury to people or property resulting from any ideas, methods, instructions or products referred to in the content. |
© 2023 by the authors. Licensee MDPI, Basel, Switzerland. This article is an open access article distributed under the terms and conditions of the Creative Commons Attribution (CC BY) license (https://creativecommons.org/licenses/by/4.0/).
Share and Cite
Li, B.; Tian, D.; Wu, X.; Meng, H.; Su, Y. The Impact of Bend–Twist Coupling on Structural Characteristics and Flutter Limit of Ultra-Long Flexible Wind Turbine Composite Blades. Energies 2023, 16, 5829. https://doi.org/10.3390/en16155829
Li B, Tian D, Wu X, Meng H, Su Y. The Impact of Bend–Twist Coupling on Structural Characteristics and Flutter Limit of Ultra-Long Flexible Wind Turbine Composite Blades. Energies. 2023; 16(15):5829. https://doi.org/10.3390/en16155829
Chicago/Turabian StyleLi, Bei, De Tian, Xiaoxuan Wu, Huiwen Meng, and Yi Su. 2023. "The Impact of Bend–Twist Coupling on Structural Characteristics and Flutter Limit of Ultra-Long Flexible Wind Turbine Composite Blades" Energies 16, no. 15: 5829. https://doi.org/10.3390/en16155829
APA StyleLi, B., Tian, D., Wu, X., Meng, H., & Su, Y. (2023). The Impact of Bend–Twist Coupling on Structural Characteristics and Flutter Limit of Ultra-Long Flexible Wind Turbine Composite Blades. Energies, 16(15), 5829. https://doi.org/10.3390/en16155829
