Next Article in Journal
Reservoir Characteristics and Development Model of Subaqueous Pyroclastic Rocks in a Continental Lacustrine Basin: A Case Study of the Chaganhua Subsag in the Changling Fault Depression, Songliao Basin
Next Article in Special Issue
Realistic Nudging through ICT Pipelines to Help Improve Energy Self-Consumption for Management in Energy Communities
Previous Article in Journal
Combustion Chemistry of Unsaturated Hydrocarbons Mixed with NOx: A Review with a Focus on Their Interactions
Previous Article in Special Issue
The Role of State in Managing the Wind Energy Projects: Risk Assessment and Justification of the Economic Efficiency
 
 
Font Type:
Arial Georgia Verdana
Font Size:
Aa Aa Aa
Line Spacing:
Column Width:
Background:
Article

Energy Aspects of Flavonoid Extraction from Rowanberry Fruits Using Pulsed Ultrasound-Assisted Extraction

Department of Technology Fundamentals, University of Life Sciences in Lublin, 20-612 Lublin, Poland
*
Author to whom correspondence should be addressed.
Energies 2023, 16(13), 4966; https://doi.org/10.3390/en16134966
Submission received: 1 June 2023 / Revised: 23 June 2023 / Accepted: 25 June 2023 / Published: 26 June 2023

Abstract

The aim of the study was to analyze the influence of the dimensions of extraction cells on the energy aspects and extraction efficiency of flavonoids from rowanberry fruits (S. aucuparia L.). The total flavonoid content was determined using the spectrophotometric method. Response surface methodology (RSM) was used to optimize the variables under investigation. The flavonoid content in the obtained extracts ranged from 0.17 to 0.66 mg QE/g dry matter for cells with a diameter of 3.5 cm, and from 0.19 to 0.7 mg QE/g dry matter for cells with a diameter of 2.5 cm, depending on the other experimental conditions. The energy consumption during extraction in the 3.5 cm diameter cell ranged from 0.451 kJ to 26.120 kJ, while for the 2.5 cm diameter cell, it ranged from 0.637 kJ to 25.677 kJ. The unit energy consumption for the 3.5 cm diameter cell ranged from 1.47 kJ/mg QE/g to 48.92 kJ/mg QE/g. For the 2.5 cm diameter cell, these values ranged from 2.17 kJ/mg QE/g to 40.64 kJ/mg QE/g. Significant effects of the dimensions of the extraction cells on flavonoid yield and unit energy consumption were observed, while there was no impact on electricity consumption. The dimensions of the extraction cells were also found to influence the form of the obtained empirical models.

1. Introduction

Rowanberry fruits (S. aucuparia L.) belong to the Sorbus L. genus and contain various substances such as sugars, organic acids, phenolic acids, flavonoids, anthocyanins, tannins, cyanogenic glycosides, vitamins (C, K, A), and bioelements (potassium, phosphorus, calcium, magnesium, iron, copper, zinc, manganese) [1,2]. Scientific research has shown that due to the presence of biologically active compounds, rowanberry has numerous health-promoting properties (antioxidant, antidiabetic, hepatoprotective, antihyperlipidemic, antiinflammatory, anticancer, antibacterial, vasoprotective, antiviral, antifungal, vasoprotective, neuroprotective, cardioprotective) [3,4].
In recent years, numerous examples of utilizing ultrasonic energy have been applied to enhance various chemical and physical processes. Ultrasound is employed in processes such as filtration [5], defoaming [6], degassing/deaeration [7], depolymerization [8], cutting [9], freezing [9], crystallization [9], thawing [10], drying [11], emulsification [12], and extraction [13].
The advantages of ultrasound technology include accelerated mass and energy transfer, reduced process time, intense mixing, the ability to operate at lower temperatures, reduction in concentration and temperature gradients, elimination of certain intermediate operations, and reduction in the size of process equipment [14]. Despite the promising results, ultrasound technologies are being implemented slowly on an industrial scale. The primary reason for this situation is the low energy efficiency of ultrasound processes [15].
The electrical energy consumed by an ultrasonic processor undergoes several transformations before it is ultimately utilized to intensify a specific processing operation. The first stage of conversion involves the changes of electrical energy into mechanical energy in the form of vibrations by the piezoelectric transducer. These vibrations are then transmitted to the surrounding fluid, resulting in the generation of ultrasonic waves, indicating the conversion of mechanical energy into acoustic energy. The next step is the transformation of acoustic energy into cavitation energy, characterized by the formation of gas or vapor bubbles within the surrounding liquid. This type of energy is primarily responsible for the intensification of physical and chemical processes. The final stage of energy conversion involves its conversion into thermal energy, which in some cases can also have a beneficial effect on the studied process.
The energy conversion efficiency in ultrasound technologies depends on various factors, with the most important being the design of ultrasound devices and process conditions. The two most commonly used ultrasound apparatus designs include an ultrasonic cleaning bath and a probe system. Ultrasonic cleaning baths are inexpensive and generally do not have the ability to adjust the intensity of ultrasound. Probe systems emit ultrasound directly into the processed sample and have the capability to adjust the intensity of ultrasound. These devices also offer more flexible options for adjusting the sample volume to the process conditions. Probe systems are equipped with a control system that allows for the maintenance of a constant amplitude of ultrasonic vibrations, regardless of the physical properties of the processed liquid. This means that the amount of energy transmitted by the ultrasonic processor to the surrounding liquid depends on its physical properties, including the acoustic impedance [16].
The efficiency of many food processing operations largely depends on the form and amount of energy supplied. In ultrasound-assisted extraction, the amount of energy delivered increases with the duration of the processing and the amplitude of ultrasonic vibrations. The influence of these parameters on extraction efficiency has been described and explained in numerous studies [17,18].
Another important parameter in the extraction process is the type and concentration of the solvent. Proper selection of the extraction solvent not only affects the extraction efficiency but also the energy consumption [18,19]. Less known factors that may have significant importance in extraction processes, especially involving ultrasound, are the dimensions and shape of the extraction vessels and the distance between the ultrasonic probe and the vessel’s bottom. Only Kulkarni et al. [20] have studied the effect of the diameter and shape of the extraction vessel on the yield of mangiferin from Mangifera indica leaves. It was observed that as the diameter of the extraction vessel increased, the yield of mangiferin increased up to a certain limit, and then it remained constant. The distance between the extraction probe and the vessel’s bottom was analyzed only by Sun et al. [21], who observed that the extraction yield of β-carotene from citrus peels decreased significantly with an increase in the liquid height. An essential aspect of evaluating any processing operation is its energy analysis. One measure of this analysis is the unit energy consumption (UEC). Measuring the UEC allows for the identification of areas where improvements can be made to reduce energy consumption. This may include the adoption of more efficient technologies, design solutions, process optimization, or changes in energy sources.
Therefore, the aim of this study was to analyze the simultaneous impact of extraction time, amplitude of ultrasonic vibrations, solvent concentration, and dimensions of the extraction vessels on the UEC during the extraction of flavonoids from rowanberry fruits.

2. Materials and Methods

2.1. Raw Material and Regents

Dried fruits of S. accapuria L. were purchased from the Runo (Hajnówka, Poland) company and have an ecological certificate PL-EKO-04 EU Agriculture. The collection of plant material and experiments were conducted in compliance with the relevant guidelines and regulations.
For determining flavonoids, aluminum chloride (206911) and quercetin (PHR1488) (Sigma-Aldrich—Merck, Taufkirchen, Germany) were used.

2.2. Grinding of Raw Material and Sieve Analysis

The raw material was crushed using a Zelmer MM 1200 device and divided into fractions using a horizontal sieve shaker AS400 Control (Retsch; Haan, Germany). The fraction obtained as a result of sieving through sieves with a mesh diameter of 1.0–2.0 mm was selected for further analysis.

2.3. Ultrasound-Assisted Extraction

A mass of 1.5 g of raw material was placed in the extraction vessel and covered with 50 mL of an aqueous solution of 30%, 60%, or 90% ethyl alcohol. The ratio of dried fruit to solvent was 0.03 g/mL. Next, the extraction vessel was placed in a cooling jacket connected to an ultra-thermostat to stabilize the temperature. The extraction vessel was closed with a 19 mm diameter ultrasonic probe on the top. The parameters of the extraction vessels were as follows: flask number 1—diameter 3.5 cm, aspect ratio (d/h = 1.75); flask number 2—diameter 2.5 cm, aspect ratio (d/h = 0.33). The experimental samples were sonicated with a VC750 Sonics processor (Sonics and Materials Inc., Newtown, CT, USA) operating at a frequency of 20 kHz. The sonication was performed at three amplitudes of ultrasound, 12, 24, and 36 µm, corresponding to ultrasound intensities of 1.3, 7.5, and 14 W/cm2 [13,22]. The samples were sonicated in the following processor arrangement: 2 s on, 4 s off. The effective operation times were 5, 10, and 15 min, and the total extraction times were 15 min, 30 min, and 45 min, respectively. The extracts obtained in this way were stored in a refrigerator (2 °C) and collected for further chemical analysis [13,22].

2.4. The Total Flavonoid Content (TFC)

The total flavonoid content was determined according to the methodology described by Aryal et al. [23] with a slight modification introduced by Kobus et al. [22]. In the first place, 1.0 mL of the sample extract was combined with a 2% AlCl3 × 6 H2O solution (in methanol) in a 1:1 ratio. The resulting mixture was then brought up to a 10 mL volume with distilled water before being subjected to 10 min of incubation under dark and room temperature conditions. Following incubation, the absorbance of the mixture was evaluated at 430 nm. The UV 1800 (Shimadzu; Kyoto, Japan) spectrophotometer was used to measure the absorbance. The concentrations of flavonoids were evaluated in relation to a calibration curve prepared with quercetin and reported as mg quercetin equivalent per 1 g of dry matter (mg QE g−1 dry matter). The measurement was performed in three replicates for each sample.

2.5. Box–Behnken Experimental Design and Statistical Analyses

The experiment was performed on the basis of the Box–Behnken experimental design in the Design-Expert v13, Stat-Ease, Minneapolis, MI, USA. A three-level, three-factor BBD plan was used to determine the best combination of S. accapuria L. fruit extraction variables. Extraction time (X1), ultrasound amplitude (X2), and solvent concentration (X3) were the independent variables, while the dependent variables were TFC, energy consumption, and UEC. The experiment comprised a total of 15 combinations, including 3 center points to estimate the pure error, and was carried out in randomized order [24]. The levels of the three factors evaluated in the design are listed in Table 1.
A generalized, second-order polynomial model was used to explain the effect of the independent variables on each response of interest according to the following equation:
Y = β0 + β1X1 + β2X2 + β3X3 + β11X12 + β22X22 + β33X32 + β12X1X2 + β13X1X3 + β23X2X3
where Y is the response variables (TFC, energy consumption, UEC); X1, X2, and X3 are the independent variables; β0 represents the constant; β1,2,3, β11,22,33, and β12,13,23 are the linear, quadratic, and interactive coefficients, respectively. The experimental data were assessed via analysis of variance (ANOVA). The statistical significance of the regression coefficient was checked with an F-test, and p-values less than 0.05 were considered significant. The optimal extraction conditions were determined as a maximum for the yield of flavonoids and a minimum for the UEC [24]. The significance of differences between the evaluated mean values was analyzed with the Tukey test at a significance level of p < 0.05.

3. Results and Discussion

3.1. TFC—Statistical Analysis

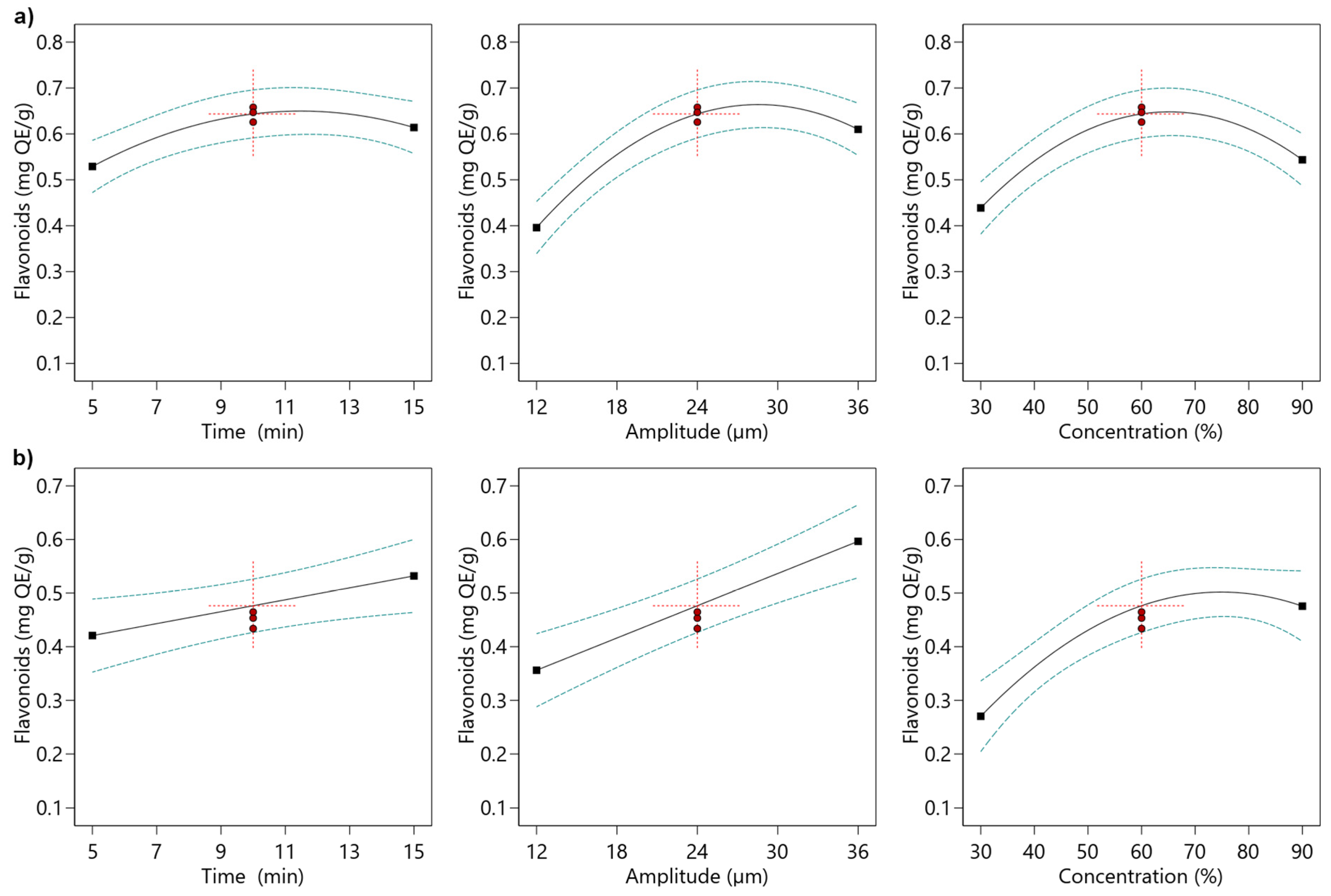
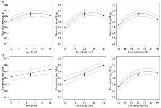
Figure 1 presents the influence of the input variables on TFC for two extraction vessels with diameters of 3.5 cm and 2.5 cm.
The shapes of the curves shown in Figure 1a indicate that for the variables of amplitude, time, and solvent concentration, inflection points were reached, indicating that further increases in these variables would lead to a decrease in the extraction efficiency of the flavonoids. For the vessel with a diameter of 2.5 cm (Figure 1b), an inflection point was only observed for solvent concentration. With increasing amplitude and extraction time, a linear increase in TFC values was observed.
The results of the statistical analysis conducted to confirm the significance of the investigated input variables on TFC content are presented in Table 2 and Table 3.
The analysis of variance showed that for both examined extraction vessels, the linear effects of all variables (time, amplitude, concentration) and the quadratic effects of concentration were statistically significant. In the case of the extraction vessel with a diameter of 3.5 cm, the quadratic effects of time and amplitude were also significant. For the vessel with a diameter of 2.5 cm, there was also a significant interaction effect between amplitude and concentration.
For both vessels, the linear effect of amplitude had the greatest significance, while the linear effect of time had the smallest significance. Comparative analysis revealed statistically significant differences in the extraction efficiency of flavonoids from S. aucuparia L. fruits depending on the shape of the extraction vessels. When using a solvent concentration of 90%, there were always differences in the mean TFC values depending on the used extraction vessels. Significant differences between the mean TFC values were also observed for the following parameters: 10 min of extraction time, 24 µm amplitude, and 60% solvent concentration (maximum TFC value for the 3.5 cm vessel).
Based on the regression analysis, models describing the influence of input variables on TFC were determined.
TFC1 = −1.221 + 0.066X1 + 0.056X2 + 0.022X3 + 0.003X12 − 0.001X22 − 0.0002X32
TFC2 = −0.201 + 0.011X1 − 0.002X2 + 0.012X3 + 0.0002X1X3 − 0.0001X32
Both models are statistically significant (p < 0.0001; p = 0.0002), and the lack of model fit is not statistically significant (p = 0.1252 and p = 0.0550), indicating a proper validation of the model. The high values of the coefficient of determination R2 (0.959 and 0.904) and adjusted R2 (0.928 and 0.850) indicate a strong correlation between the input variables and the content of flavonoids. The low value of CV (8.73% and 13.82%) indicates low deviations between the experimental and predicted values, showing high reliability and precision of the conducted experiment. The adequate precision values were found to be 16.895 and 12.349, indicating an adequate signal and confirming the significance of this model for the extraction process.

3.2. TFC—Discussion

The content of flavonoids in the obtained extracts ranged from 0.17 to 0.66 mg QE/g dry matter for the 3.5 cm vessels and from 0.19 to 0.7 mg QE/g dry matter for the 2.5 cm vessels, depending on the other experimental conditions. The lowest TFC value was obtained under the same extraction parameters for both vessels—10 min of extraction time, 12 µm amplitude, and 30% solvent concentration. For the 3.5 cm vessel, the highest TFC value was obtained for the parameters 10 min of extraction time, 24 µm amplitude, and 60% solvent concentration, while for the 2.5 cm vessel, it was obtained for 10 min of extraction time, 36 µm amplitude, and 90% solvent concentration.
There is no available literature data on TFC values related to quercetin for extracts from S. aucuparia L. fruits. Therefore, we decided to compare our results with those obtained for other plant species belonging to the same family, Rosaceae. The obtained data are consistent with the literature. Jin et al. [25] determined the TFC value in ethanol extracts from Sorbus commixta Hedl. fruits. The ground fruits were soaked for 24 h in ethanol/water mixtures and then subjected to ultrasound in an ultrasonic bath (1 h × 3 times). The TFC value increased with the ethanol concentration and ranged from 3.53 ± 0.23 μg QE/mg of extract for 25% ethanol extract to 8.65 ± 0.5 μg QE/mg of extract for ethanol extract. Kobus et al. [22] obtained TFC values ranging from 0.132 to 0.502 mg QE/g dry matter during UAE of Sorbus intermedia (Ehrh.) Pers fruits in 60% ethanol, depending on the process parameters. Extraction was carried out in continuous and pulsed mode (1 s on, 2 s off) for 5, 10, and 15 min, with amplitudes of 12, 24, and 36 µm. The lowest TFC value was obtained during continuous extraction at the lowest time and amplitude, while the highest values were obtained in pulsed mode at the highest process parameters. Majić et al. [26] determined the TFC value in the bark, exocarp, mesocarp, and seeds of Sorbus domestica L. fruits. The flavonoid content ranged from 6.8 (bark) to 37.0 mg QE/g dry matter (unripe exocarp).

3.3. Energy Consumption—Statistical Analysis

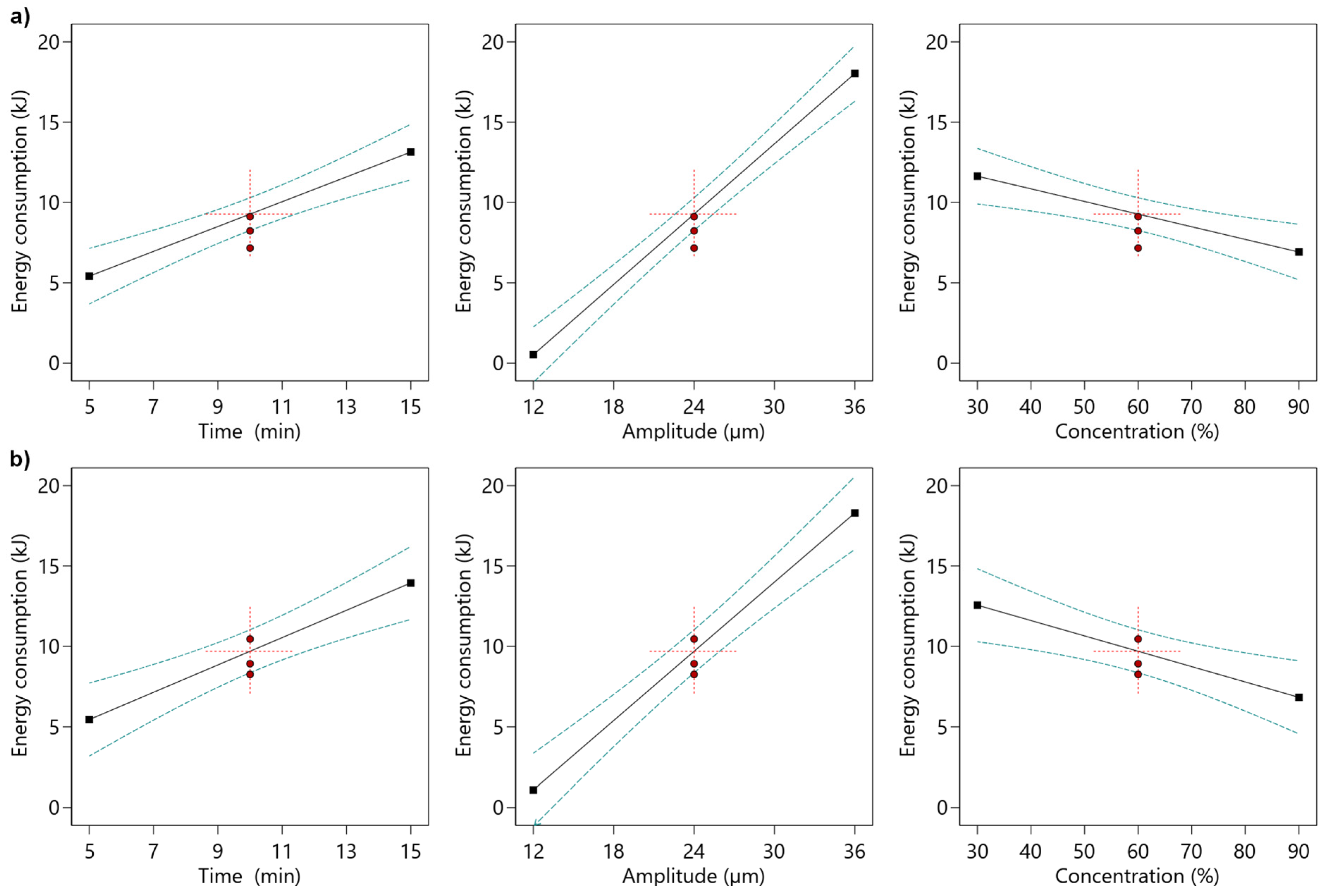
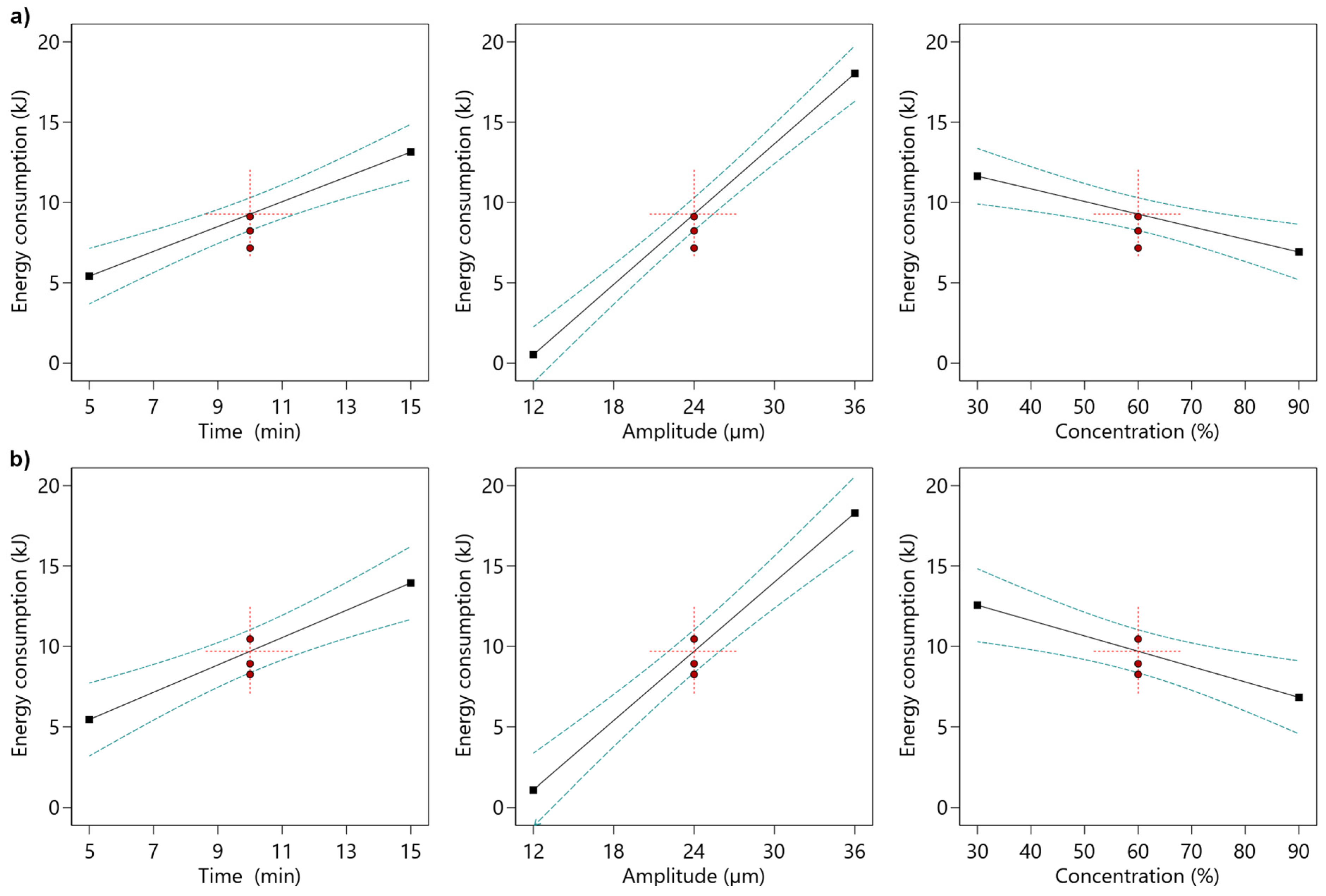
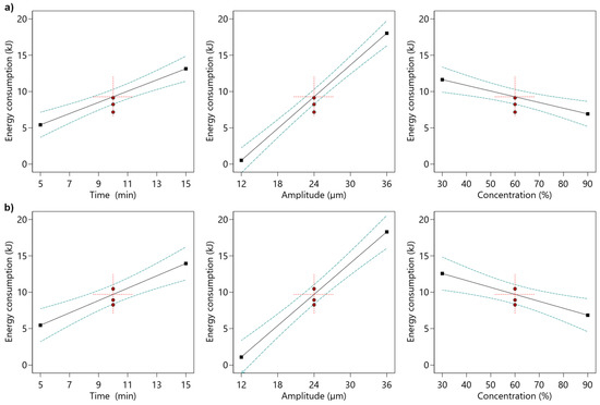
Figure 2 shows the influence of the input variables on the energy consumption for two extraction vessels with diameters of 3.5 cm and 2.5 cm.
The shapes of the curves shown in both figures indicates that energy consumption linearly increases with the increase in the input variables amplitude and time. For both extraction vessels, there is a decrease in energy consumption with increasing solvent concentration.
The results of the statistical analysis conducted to confirm the significance of the influence of the investigated input variables on energy consumption are presented in Table 4 and Table 5.
The analysis of variance confirmed the statistical significance of the linear effects of all variables (time, amplitude, concentration) and the significant interaction between time and amplitude for both examined extraction vessels. The linear effect of amplitude had the greatest significance, while the linear effect of concentration had the smallest significance. The comparative analysis did not show a statistically significant influence of the shape of the vessels on electrical energy consumption.
Based on the regression analysis, models describing the influence of the input variables on energy consumption were determined:
Energy1 = 2.071 − 0.558X1 + 0.175X2 − 0.079X3 − 0.055X1X2
Energy2 = 2.581 − 0.436X1 + 0.181X2 − 0.095X3 + 0.054X1X2
Both models are statistically significant (p < 0.0001), and the lack of model fit is not statistically significant (p = 0.2230 and p = 0.1745) for either model, indicating a proper validation of the models. The high values of R2 (0.963 and 0.940) and adjusted R2 (0.948 and 0.916) indicate a strong correlation between the input variables and energy consumption. The relatively high CV values (19.11% and 23.99%) suggest significant deviations between the experimental and predicted values, indicating average reliability and precision of the conducted experiment. Adequate precision values of 26.425 and 20.497 confirm the adequacy of the signal and the significance of the model for this extraction process.

3.4. Energy Consumption—Discussion

The energy consumption during extraction in the vessel with a diameter of 3.5 cm ranges from 0.451 kJ to 26.120 kJ. In the case of the vessel with a diameter of 2.5 cm, the values range from 0.637 kJ to 25.677 kJ. The extreme values of energy consumption were obtained under the same extraction parameters for both vessels. The lowest energy consumption was observed with the following extraction parameters: time 10 min, amplitude 12 µm, solvent concentration 90%. The highest energy consumption occurred with the following parameters: time 15 min, amplitude 36 µm, solvent concentration 60%. An ANOVA analysis and Tukey’s test (p < 0.05) showed no statistically significant differences in energy consumption between the extraction vessels when using the same extraction parameters (time, amplitude, concentration).
The impact of the selected extraction parameters on energy consumption has been the subject of numerous studies. Kobus et al. [13] demonstrated that extraction of hawthorn fruits assisted by pulsed ultrasound field can save 20% to 51% of energy. Other authors also reported lower energy consumption with the pulsed mode. Bras et al. [27] found a 45% reduction in energy consumption during the extraction of cinnaropicrin using the pulsed mode compared to the continuous mode. Patience et al. [28] found no significant difference in yield between continuous and pulse modes during the extraction of pectins from orange peels, despite a large difference in power consumption. Pan et al. [29] showed no significant differences in extraction yield and duration related to the ultrasound duty cycle but observed approximately 50% lower electricity consumption with the pulse mode.
The factors influencing energy consumption during ultrasonic-assisted extraction processes are ultrasound amplitude and the type and concentration of the extraction solvent used. The increase in energy consumption with increasing ultrasound amplitude is generally described by second-order polynomial equations. Nonlinear relationships between electrical power output and ultrasound amplitude have been found by Kobus and Kusińska [16] during the sonication of water and alcohol. Similar observations were made by Löning et al. [30] and Mamvura et al. [31], which is consistent with the theoretical equation describing the relationship between power input and amplitude. On the other hand, Mañas et al. [32] obtained a linear relationship between the analyzed variables during an experiment with distilled water at a temperature of 40 °C.
In our experiment, we observed a linear relationship between ultrasound amplitude and energy consumption. This may be due to the limited number of measurement points (only three levels of the amplitude variable) and the mutual interactions of the individual variables, which could have influenced the character of the obtained mathematical model.
The influence of the solvent type on energy consumption during ultrasonic extraction has also been observed in our other experiments. During the extraction of polyphenols from apple pomace, Kobus et al. [19] demonstrated that the lowest energy consumption occurred when using 96% ethyl alcohol as the solvent. The influence of the solvent type on energy consumption by the ultrasonic processor can be explained by the acoustic load of the ultrasonic probe [16]. The ultrasonic processor generates ultrasonic vibrations with a constant amplitude. The amount of energy delivered to the ultrasonic processor operating at a constant amplitude depends on the resistance of the irradiated liquid. The change in the concentration of the extraction solvent leads to a change in its acoustic impedance. Since the acoustic impedance of ethyl alcohol is lower than that of water, an increase in the concentration of alcohol in the solution results in a decrease in the resistance of the extraction solvent and, consequently, a decrease in energy consumption.

3.5. Unit Energy Consumption—Statistical Analysis

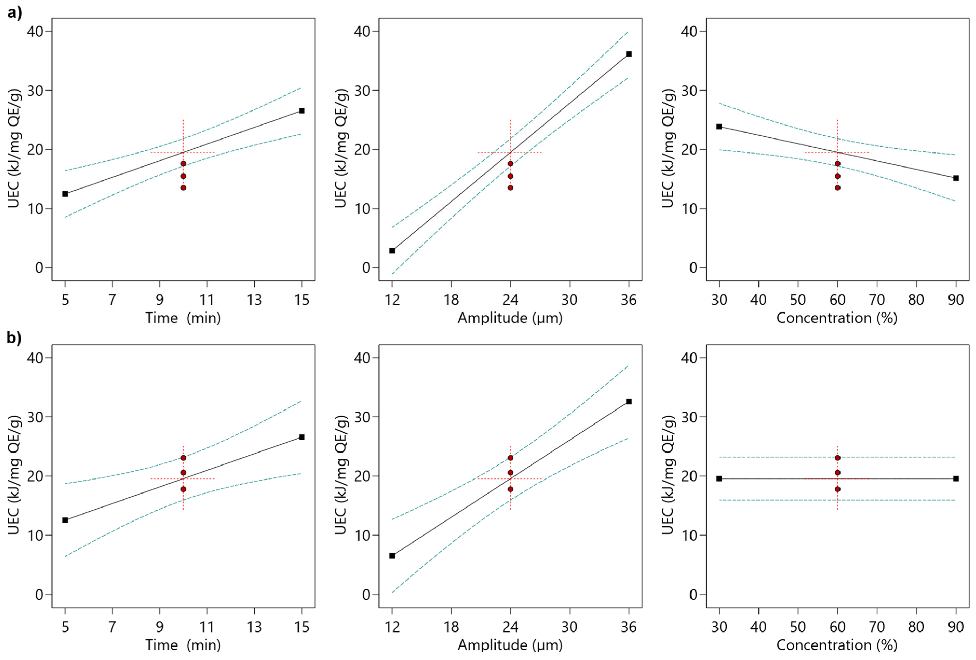
Figure 3 shows the influence of the input variables on UEC for two extraction vessels with diameters of 3.5 cm and 2.5 cm.
The shapes of the curves shown in both figures indicates that UEC increases with increasing values of the input variables amplitude and time. For the cell with a diameter of 3.5 cm, the UEC decreases with increasing solvent concentration. In the case of the 2.5 cm cell, the change in solvent concentration has no effect on the variation in UEC.
The results of the statistical analysis conducted to confirm the significance of the influence of the investigated input variables on UEC are presented in Table 6 and Table 7.
The results of the conducted analysis of variance showed that for extraction in the 3.5 cm cell, the linear effects of all variables (time, amplitude, concentration) as well as the interaction effects of time and amplitude were statistically significant. The linear effect of amplitude had the greatest significance, while the linear effect of concentration had the smallest significance. For extraction in the 2.5 cm cell, the linear effects of time and amplitude were statistically significant. Similar to the 3.5 cm cell, the linear effect of amplitude had the greatest significance. Comparative analysis revealed a statistically significant influence of the cell shape on UEC.
Based on regression analysis, models describing the influence of the input variables on the UEC were determined.
UEC1 = 5.694 − 1.076X1 + 0.351X2 − 0.145X3 + 0.103X1X2
UEC2 = −20.524 + 1.403X1 + 1.087X2
Both models are statistically significant (p < 0.0001; p = 0.0001), and the lack of model fit is not statistically significant (p = 0.1894 and p = 0.1323) for either model, indicating proper validation of the models. In the case of the model for the 3.5 cm cell, the coefficient of determination (R2 = 0.947) and coefficient of variation (CV) are satisfactory (CV = 20.69%), while for the 2.5 cm cell, the coefficient of determination (R2 = 0.778) is low and the coefficient of variation is high (CV = 32.98%), indicating high variability between the experimental and predicted values.

3.6. Unit Energy Consumption—Discussion

The UEC for the 3.5 cm cell ranged from 1.47 kJ/mg QE/g to 48.92 kJ/mg QE/g. For the 2.5 cm cell, these values changed from 2.17 kJ/mg QE/g to 40.64 kJ/mg QE/g. A statistically significant influence of the cell dimensions on UEC was observed. The amount of energy transmitted by the ultrasound process directly affects the extraction efficiency of bioactive substances. On the one hand, it contributes to an increased extraction yield, but on the other hand, it significantly increases the consumption of electrical energy. UEC is the result of these two processes. Since the extraction efficiency of flavonoids depended on the dimensions of the extraction reactors, this fact also translated into differences in the UEC.
Direct data on the UEC during the extraction of flavonoids from rowanberry fruits are lacking in the available literature. Therefore, in the discussion, we refer to data obtained during the extraction of other bioactive substances. Kobus et al. [13,24] demonstrated that for UAE of polyphenols from leaves and inflorescences of hemp, the UEC ranged from 0.38 to 2.63 kJ∙mg−1 GAE∙g−1, and for polyphenol extraction from hawthorn fruits, it ranged from 0.26 to 3.21 kJ∙mg−1 GAE∙g−1. The extraction of anthocyanins resulted in UEC values ranging from 32.56 to 208.76 kJ∙mg−1 Cy3-GE∙g−1 dry matter. Carciochi et al. [33] required 146 kJ to extract 1 g of caffeine from guarana fruits, while Koturevic et al. [34] required 2000 kJ. The differences in UEC values are due to the use of different experimental conditions. Kobus et al. [13] demonstrated that for the pulsed mode, the UEC accounted for about 40% to 68% of the UEC for the continuous mode. Furthermore, it was also shown that an increase in amplitude during the extraction of polyphenols from 12 to 36 µm resulted in a 983% increase in UEC, and an increase in the time led to a 259% increase in the UEC. The differences were smaller for anthocyanin extraction, with increases of 350% for amplitude and 216% for time. Similar observations were made during the extraction of hemp leaves and inflorescences, where UEC increased with increasing time and ultrasound intensity [24]. Another significant parameter affecting the UEC is the type of solvent. Kobus et al. [16] demonstrated that the use of 60% ethanol compared to water and 96% ethanol allows the lowest unit energy input.

3.7. Optimization of the Processing Parameters

A numerical method was applied to compute the maximum value of TFC and the minimum value of UEC. The optimal conditions for each response are listed in Table 8 for the extraction cell of 3.5 cm and in Table 9 for the extraction cell of 2.5 cm diameter.
The highest TFC value determined based on the developed models was 0.670 mg QE/g dry matter for the extraction cell with a diameter of 3.5 cm and 0.702 mg QE/g dry matter for the extraction cell with a diameter of 2.5 cm. The optimal extraction conditions in terms of time, ultrasound amplitude, and solvent concentration were higher for the 2.5 cm cell. The largest differences were observed in solvent concentration.
The optimal UEC value determined based on the developed models was 0.703 kJ/mg QE/g for the 3.5 cm cell and 1.7 kJ/mg QE/g for the 2.5 cm cell. Both extraction cells required similar values of amplitude and extraction time to achieve the lowest UEC. The largest differences in the optimal conditions generating the lowest UEC were observed in the solvent concentration, with values of 75.69% for the extraction cell with a diameter of 3.5 cm and values of 60% for the extraction cell with a diameter of 2.5 cm.

4. Conclusions

The study examined the effect of process variables such as extraction time, ultrasound amplitude, and solvent concentration on the efficiency of flavonoid extraction from rowanberry fruits, depending on the dimensions of the extraction vessels.
The TFC in the obtained extracts ranged from 0.17 to 0.7 mg QE/g dry matter, energy consumption during extraction ranged from 0.451 kJ to 26.120 kJ, and UEC ranged from 1.47 kJ/mg QE/g to 48.92 kJ/mg QE/g, depending on the vessels and other experimental conditions.
It was found that the size of the extraction cells has a significant impact on flavonoid yield and UEC, but no significant effect on electrical energy consumption.
The concentration of ethyl alcohol was found to have a significant influence on extraction efficiency and energy consumption for both examined extraction cells. However, statistically significant effects of solvent concentration on UEC were observed only for the 3.5 cm extraction cell. It was also shown that the amplitude and time of extraction have a significant effect on TFC, energy consumption, and UEC.
Statistical analysis showed high coefficients of determination (R2) ranging from 0.904 to 0.963 for five out of six of the developed models, indicating a good fit for the experimental data. However, the model describing changes in UEC for the 2.5 cm cell achieved a significantly lower coefficient of determination (R2 = 0.778), suggesting the influence of other factors on the extraction process that were not considered in the current study.
These findings provide valuable insights into the optimization of processing parameters for flavonoid extraction from rowanberry fruits, emphasizing the importance of extraction cell dimensions and solvent concentration in achieving high extraction efficiency and minimizing energy consumption.

Author Contributions

Conceptualization, Z.K. and M.K.; methodology, Z.K.; software, Z.K.; validation, Z.K. and M.K.; formal analysis, Z.K. and M.K.; investigation, Z.K. and M.K.; resources, Z.K. and M.K.; data curation, Z.K. and M.K.; writing—original draft preparation, Z.K. and M.K.; writing—review and editing, Z.K. and M.K.; visualization, Z.K. and M.K.; supervision, Z.K.; project administration, Z.K. and M.K.; funding acquisition, Z.K. All authors have read and agreed to the published version of the manuscript.

Funding

This research received no external funding.

Data Availability Statement

Data sharing not applicable.

Conflicts of Interest

The authors declare no conflict of interest.

References

  1. Berna, E.; Kampuse, S. The marmalades of sweet rowanberries as an example of a functional food. In Proceedings of the 7th International Congress of Food Technologists, Biotechnologists and Nutritionists, Opatija, Croatia, 20–23 September 2011; pp. 112–120. [Google Scholar]
  2. Aslantas, R.; Pirlak, L.; Güleryüz, M. The nutritional value of wild fruits from the North eastern Anatolia region of Turkey. Asian J. Chem. 2007, 19, 3072–3078. [Google Scholar]
  3. Sarv, V.; Venskutonis, P.R.; Bhat, R. The Sorbus spp.—Underutilised Plants for Foods and Nutraceuticals: Review on Polyphenolic Phytochemicals and Antioxidant Potential. Antioxidants 2020, 9, 813. [Google Scholar] [CrossRef]
  4. Takó, M.; Kerekes, E.B.; Zambrano, C.; Kotogán, A.; Papp, T.; Krisch, J.; Vágvölgyi, C. Plant Phenolics and Phenolic-Enriched Extracts as Antimicrobial Agents against Food-Contaminating Microorganisms. Antioxidants 2020, 9, 165. [Google Scholar] [CrossRef] [PubMed]
  5. Kyllönen, H.; Pirkonen, P.; Nyström, M.; Nuortila-Jokinen, J.; Grönroos, A. Experimental aspects of ultrasonically enhanced cross-flow membrane filtration of industrial wastewater. Ultrason. Sonochem. 2006, 13, 295–302. [Google Scholar] [CrossRef] [PubMed]
  6. Morey, M.; Deshpande, N.; Barigou, M. Foam Destabilization by Mechanical and Ultrasonic Vibrations. J. Colloid Interface Sci. 1999, 219, 90–98. [Google Scholar] [CrossRef] [PubMed]
  7. Matsuura, K.; Hirotsune, M.; Nunokawa, Y.; Satoh, M.; Honda, K. Acceleration of cell growth and ester formation by ultrasonic wave irradiation. J. Ferment. Bioeng. 1994, 77, 36–40. [Google Scholar] [CrossRef]
  8. Jambrak, A.R.; Herceg, Z.; Šubarić, D.; Babić, J.; Brnčić, M.; Brnčić, S.R.; Bosiljkov, T.; Čvek, D.; Tripalo, B.; Gelo, J. Ultrasound effect on physical properties of corn starch. Carbohydr. Polym. 2010, 79, 91–100. [Google Scholar] [CrossRef]
  9. Schneider, Y.; Zahn, S.; Rohm, H. Power requirements of the high-frequency generator in ultrasonic cutting of foods. J. Food Eng. 2008, 86, 61–67. [Google Scholar] [CrossRef]
  10. Li, B.; Sun, D.W. Novel methods for rapid freezing and thawing of foods—A review. J. Food Eng. 2002, 54, 175–182. [Google Scholar] [CrossRef]
  11. García-Pérez, J.V.; Cárcel, J.A.; Riera, E.; Mulet, A. Influence of the Applied Acoustic Energy on the Drying of Carrots and Lemon Peel. Drying Technol. 2009, 27, 281–287. [Google Scholar] [CrossRef]
  12. Jafari, S.M.; He, Y.; Bhandari, B. Production of sub-micron emulsions by ultrasound and microfluidization techniques. J. Food Eng. 2007, 82, 478–488. [Google Scholar] [CrossRef]
  13. Kobus, Z.; Krzywicka, M.; Pecyna, A.; Buczaj, A. Process Efficiency and Energy Consumption during the Ultrasound-Assisted Extraction of Bioactive Substances from Hawthorn Berries. Energies 2021, 14, 7638. [Google Scholar] [CrossRef]
  14. Chemat, F.; Huma, Z.; Khan, M.K. Applications of ultrasound in food technology: Processing, preservation and extraction. Ultrason. Sonochem. 2011, 18, 813–835. [Google Scholar] [CrossRef] [PubMed]
  15. Moholkar, V.S.; Sivasankar, T.; Choudhury, B.J.; Roy, K. Mechanistic issues of energy efficiency of an ultrasonic process: Role of free and dissolved gas. In Energy Aspects of Acoustic Cavitation and Sonochemistry; Elsevier: Amsterdam, The Netherlands, 2022; pp. 193–219. [Google Scholar] [CrossRef]
  16. Kobus, Z.; Kusińska, E. Influence of physical properties of liquid on acoustic power of ultrasonic processor. TEKA Kom. Mot. Energ. Roln. 2008, 8a, 71–78. [Google Scholar]
  17. McHardy, C.; Kammegne, T.D.; Jänich, I. Energy-efficient ultrasound-assisted extraction of food proteins from the microalga C. vulgaris at elevated static pressure. IFSET 2021, 73, 102797. [Google Scholar] [CrossRef]
  18. Pradal, D.; Vauchel, P.; Decossin, S.; Dhulster, P.; Dimitrov, K. Kinetics of ultrasound-assisted extraction of antioxidant polyphenols from food by-products: Extraction and energy consumption optimization. Ultrason. Sonochem. 2016, 32, 137–146. [Google Scholar] [CrossRef]
  19. Kobus, Z.; Wilczyński, K.; Nadulski, R.; Rydzak, L.; Guz, T. Effect of Solvent Polarity on the Efficiency of Ultrasound-Assisted Extraction of Polyphenols from Apple Pomace. In Proceedings of the Farm Machinery and Processes Management in Sustainable Agriculture, IX International Scientific Symposium, Lublin, Poland, 22–24 November 2017; Department of Machinery Exploitation and Management of Production Processes, University of Life Sciences in Lublin: Lublin, Poland, 2017. [Google Scholar] [CrossRef]
  20. Kulkarni, V.M.; Rathod, V.K. Mapping of an ultrasonic bath for ultrasound assisted extraction of mangiferin from Mangifera indica leaves. Ultrason. Sonochem. 2014, 21, 606–611. [Google Scholar] [CrossRef]
  21. Sun, Y.; Liu, D.; Chen, J.; Ye, X.; Yu, D. Effects of different factors of ultrasound treatment on the extraction yield of the all-trans-β-carotene from citrus peels. Ultrason. Sonochem. 2011, 18, 243–249. [Google Scholar] [CrossRef]
  22. Kobus, Z.; Krzywicka, M.; Starek-Wójcicka, A.; Sagan, A. Effect of the duty cycle of the ultrasonic processor on the efficiency of extraction of phenolic compounds from Sorbus intermedia . Sci. Rep. 2022, 12, 8311. [Google Scholar] [CrossRef]
  23. Aryal, S.; Baniya, M.K.; Danekhu, K.; Kunwar, P.; Gurung, R.; Koirala, N. Total Phenolic Content, Flavonoid Content and Antioxidant Potential of Wild Vegetables from Western Nepal. Plants 2019, 8, 96. [Google Scholar] [CrossRef]
  24. Kobus, Z.; Pecyna, A.; Buczaj, A.; Krzywicka, M.; Przywara, A.; Nadulski, R. Optimization of the Ultrasound-Assisted Extraction of Bioactive Compounds from Cannabis sativa L. Leaves and Inflorescences Using Response Surface Methodology. Appl. Sci. 2022, 12, 6747. [Google Scholar] [CrossRef]
  25. Jin, S.; Kim, K.C.; Kim, J.S.; Jang, K.I.; Hyun, T.K. Anti-Melanoma Activities and Phytochemical Compositions of Sorbus commixta Fruit Extracts. Plants 2020, 9, 1076. [Google Scholar] [CrossRef] [PubMed]
  26. Majić, B.; Šola, I.; Likic, S.; Cindrić, I.; Rusak, G. Characterisation of Sorbus domestica L. Bark, Fruits and Seeds: Nutrient Composition and Antioxidant Activity. Food Technol. Biotech. 2015, 53, 463–471. [Google Scholar] [CrossRef]
  27. Brás, T.; Paulino, A.F.; Neves, L.A.; Crespo, J.G.; Duarte, M.F. Ultrasound assisted extraction of cynaropicrin from Cynara cardunculus leaves: Optimization using the response surface methodology and the effect of pulse mode. Ind. Crops Prod. 2020, 150, 112395. [Google Scholar] [CrossRef]
  28. Patience, N.; Schieppati, D.; Boffito, D. Continuous and pulsed ultrasound pectin extraction from navel orange peels. Ultrason. Sonochem. 2021, 73, 105480. [Google Scholar] [CrossRef]
  29. Pan, Z.; Qu, W.; Ma, H.; Atungulu, G.G.; McHugh, T.H. Continuous and pulsed ultrasound-assisted extractions of antioxidants from pomegranate peel. Ultrason. Sonochem. 2011, 18, 1249–1257. [Google Scholar] [CrossRef]
  30. Löning, J.M.; Horst, C.; Hoffmann, U. Investigations on the energy conversion in sonochemical processes. Ultrason. Sonochem 2002, 9, 169–179. [Google Scholar] [CrossRef]
  31. Mamvura, T.A.; Iyuke, S.E.; Paterson, A.E. Energy changes during use of high-power ultrasound on food grade surfaces. S. Afr. J. Chem. Eng. 2018, 25, 62–73. [Google Scholar] [CrossRef]
  32. Mantas, P.; Pagan, R.; Raso, J. Predicting Lethal Effect of Ultrasonic Waves under Pressure Treatments on Listeria monocytogenes ATCC 15313 by Power Measurements. J. Food Sci. 2000, 65, 663–667. [Google Scholar] [CrossRef]
  33. Carciochi, R.A.; Dieu, V.; Vauchel, P.; Pradal, D.; Dimitrov, K. Reduction of environmental impacts of caffeine extraction from guarana by using ultrasound assistance. Food Bioprod. Process. 2021, 127, 266–275. [Google Scholar] [CrossRef]
  34. Koturevic, B.; Adnadjevic, B.; Jovanovic, J. The kinetics of the extraction of caffeine from guarana seed under the action of ultrasonic field with simultaneous cooling. Green Process. Synth. 2019, 9, 26–36. [Google Scholar] [CrossRef]
Figure 1. Dependency of TFC on time, amplitude, and solvent concentration for extracts obtained in vessels with diameters of (a) 3.5 cm and (b) 2.5 cm.
Figure 1. Dependency of TFC on time, amplitude, and solvent concentration for extracts obtained in vessels with diameters of (a) 3.5 cm and (b) 2.5 cm.
Energies 16 04966 g001
Figure 2. Dependency of energy consumption on time, amplitude, and solvent concentration for extracts obtained in extraction vessels with diameters of (a) 3.5 cm and (b) 2.5 cm.
Figure 2. Dependency of energy consumption on time, amplitude, and solvent concentration for extracts obtained in extraction vessels with diameters of (a) 3.5 cm and (b) 2.5 cm.
Energies 16 04966 g002
Figure 3. The relationship between UEC and time, amplitude, and solvent concentration for extracts obtained in cells with diameters (a) 3.5 cm and (b) 2.5 cm.
Figure 3. The relationship between UEC and time, amplitude, and solvent concentration for extracts obtained in cells with diameters (a) 3.5 cm and (b) 2.5 cm.
Energies 16 04966 g003
Table 1. The Box–Behnken response surface design.
Table 1. The Box–Behnken response surface design.
RunX1X2X3
1.51260
2.52430
3.52490
4.53660
5.101230
6.101290
7.102460
8.102460
9.102460
10.103630
11.103690
12.151260
13.152430
14.152490
15.153660
Table 2. The influence of the independent variables on TFC for the extraction vessel with a diameter of 3.5 cm.
Table 2. The influence of the independent variables on TFC for the extraction vessel with a diameter of 3.5 cm.
SourceSum of SquaresDFMean SquareF-Valuep-ValueCoefficient
Model0.285360.047530.93<0.0001 significant
X10.014410.01449.40.01550.066116
X20.091610.091659.6<0.00010.055785
X30.02210.02214.320.00540.022069
X120.019210.019212.460.0077−0.002881
X220.07310.07347.490.0001−0.000976
X320.085810.085855.8<0.0001−0.000169
Residual0.012380.0015
Lack of Fit0.011860.0027.310.1252 not significant
Pure Error0.000520.0003
Total0.297614
R2 = 0.959, adj. R2 = 0.928, CV = 8.73, adequate precision 16.895.
Table 3. The influence of the independent variables on TFC for the extraction vessel with a diameter of 2.5 cm.
Table 3. The influence of the independent variables on TFC for the extraction vessel with a diameter of 2.5 cm.
SourceSum of SquaresDFMean SquareF-Valuep-ValueCoefficient
Model0.286250.057216.90.0002 significant
X10.024810.02487.310.02420.011126
X20.115710.115734.160.0002−0.002204
X30.084310.084324.890.00080.012325
X2 X30.021510.02156.350.03270.000204
X320.0410.0411.80.0074−0.000115
Residual0.030590.0034
Lack of Fit0.0370.004317.550.055 not significant
Pure Error0.000520.0002
Total0.316614
R2 = 0.904, adj. R2 = 0.850, CV = 13.82, adequate precision 12.349.
Table 4. Influence of the independent variables on the energy consumption in the extraction vessel with a diameter of 3.5 cm.
Table 4. Influence of the independent variables on the energy consumption in the extraction vessel with a diameter of 3.5 cm.
SourceSum of SquaresDFMean SquareF-Valuep-ValueCoefficient
Model821420565.28<0.0001 significant
X1119111937.940.0001−0.557812
X26131613194.92<0.00010.175182
X344.6144.614.170.0037−0.078683
X1 X244.2144.214.060.00380.055425
Residual31.5103.15
Lack of Fit29.583.693.840.2230 not significant
Pure Error1.9220.96
Total85314
R2 = 0.963, adj. R2 = 0.948, CV =19.11, adequate precision 26.425.
Table 5. Influence of the independent variables on the energy consumption in the extraction vessel with a diameter of 2.5 cm.
Table 5. Influence of the independent variables on the energy consumption in the extraction vessel with a diameter of 2.5 cm.
SourceSum of SquaresDFMean SquareF-Valuep-ValueCoefficient
Model843.094210.7738.95<0.0001 significant
X1144.191144.1926.650.0004−0.436125
X2592.021592.02109.42<0.00010.181375
X365.59165.5912.120.0059−0.095446
X1 X241.29141.297.630.020.05355
Residual54.11105.41
Lack of Fit51.5786.455.090.1745 not significant
Pure Error2.5321.27
Total897.214
R2 = 0.940, adj. R2 = 0.916, CV =23.99, adequate precision 20.497.
Table 6. The influence of the independent variables on UEC for the 3.5 cm extraction cell.
Table 6. The influence of the independent variables on UEC for the 3.5 cm extraction cell.
SourceSum of SquaresDFMean SquareF-Valuep-ValueCoefficient
Model2916.954729.2444.76<0.0001 significant
X1396.641396.6424.350.0006−1.07587
X22214.512214.5135.93<0.00010.35142
X3151.541151.549.30.0123−0.145076
X1 X2154.271154.279.470.01170.103505
Residual162.911016.29
Lack of Fit154.58819.324.640.1894 not significant
Pure Error8.3324.16
Total3079.8614
R2 = 0.947, adj. R2 = 0.926, CV = 20.69, adequate precision 21.833.
Table 7. The influence of the independent variables on UEC for the 2.5 cm extraction cell.
Table 7. The influence of the independent variables on UEC for the 2.5 cm extraction cell.
SourceSum of SquaresDFMean SquareF-Valuep-ValueCoefficient
Model1752.412876.2121.040.0001 significant
X1393.441393.449.450.00961.40257
X21358.9711358.9732.63<0.00011.08612
Residual499.721241.64
Lack of Fit485.731048.576.950.1323 not significant
Pure Error13.9926.99
Total2252.1314
R2 = 0.778, adj. R2 = 0.741, CV = 32.98, adequate precision 13.892.
Table 8. Predicted values of response variables at optimum conditions for extraction cell of 3.5 cm diameter.
Table 8. Predicted values of response variables at optimum conditions for extraction cell of 3.5 cm diameter.
Optimized ConditionExtraction VariablesResponseYield of Extraction
X1X2X3Predicted
Flavonoids10.9528.8763.19Flavonoids0.670
UEC5.1613.0375.69UEC0.703
Table 9. Predicted values of response variables at optimum conditions for extraction cell of 2.5 cm diameter.
Table 9. Predicted values of response variables at optimum conditions for extraction cell of 2.5 cm diameter.
Optimized ConditionExtraction VariablesResponse Yield of Extraction
X1X2X3Predicted
Flavonoids213.5935.9177.44Flavonoids0.702
UEC25.7413.0460UEC1.70
Disclaimer/Publisher’s Note: The statements, opinions and data contained in all publications are solely those of the individual author(s) and contributor(s) and not of MDPI and/or the editor(s). MDPI and/or the editor(s) disclaim responsibility for any injury to people or property resulting from any ideas, methods, instructions or products referred to in the content.

Share and Cite

MDPI and ACS Style

Kobus, Z.; Krzywicka, M. Energy Aspects of Flavonoid Extraction from Rowanberry Fruits Using Pulsed Ultrasound-Assisted Extraction. Energies 2023, 16, 4966. https://doi.org/10.3390/en16134966

AMA Style

Kobus Z, Krzywicka M. Energy Aspects of Flavonoid Extraction from Rowanberry Fruits Using Pulsed Ultrasound-Assisted Extraction. Energies. 2023; 16(13):4966. https://doi.org/10.3390/en16134966

Chicago/Turabian Style

Kobus, Zbigniew, and Monika Krzywicka. 2023. "Energy Aspects of Flavonoid Extraction from Rowanberry Fruits Using Pulsed Ultrasound-Assisted Extraction" Energies 16, no. 13: 4966. https://doi.org/10.3390/en16134966

APA Style

Kobus, Z., & Krzywicka, M. (2023). Energy Aspects of Flavonoid Extraction from Rowanberry Fruits Using Pulsed Ultrasound-Assisted Extraction. Energies, 16(13), 4966. https://doi.org/10.3390/en16134966

Note that from the first issue of 2016, this journal uses article numbers instead of page numbers. See further details here.

Article Metrics

Back to TopTop