Impedance Spectroscopy Analysis of Perovskite Solar Cell Stability
Abstract
1. Introduction
2. Materials and Methods
2.1. Materials
2.2. Device Fabrication
2.3. Characterization
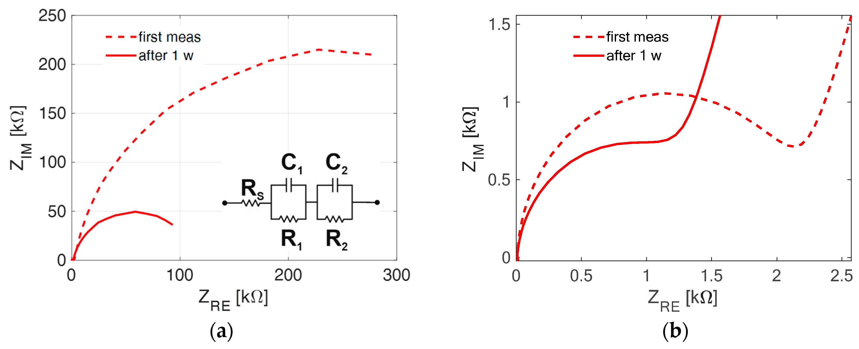
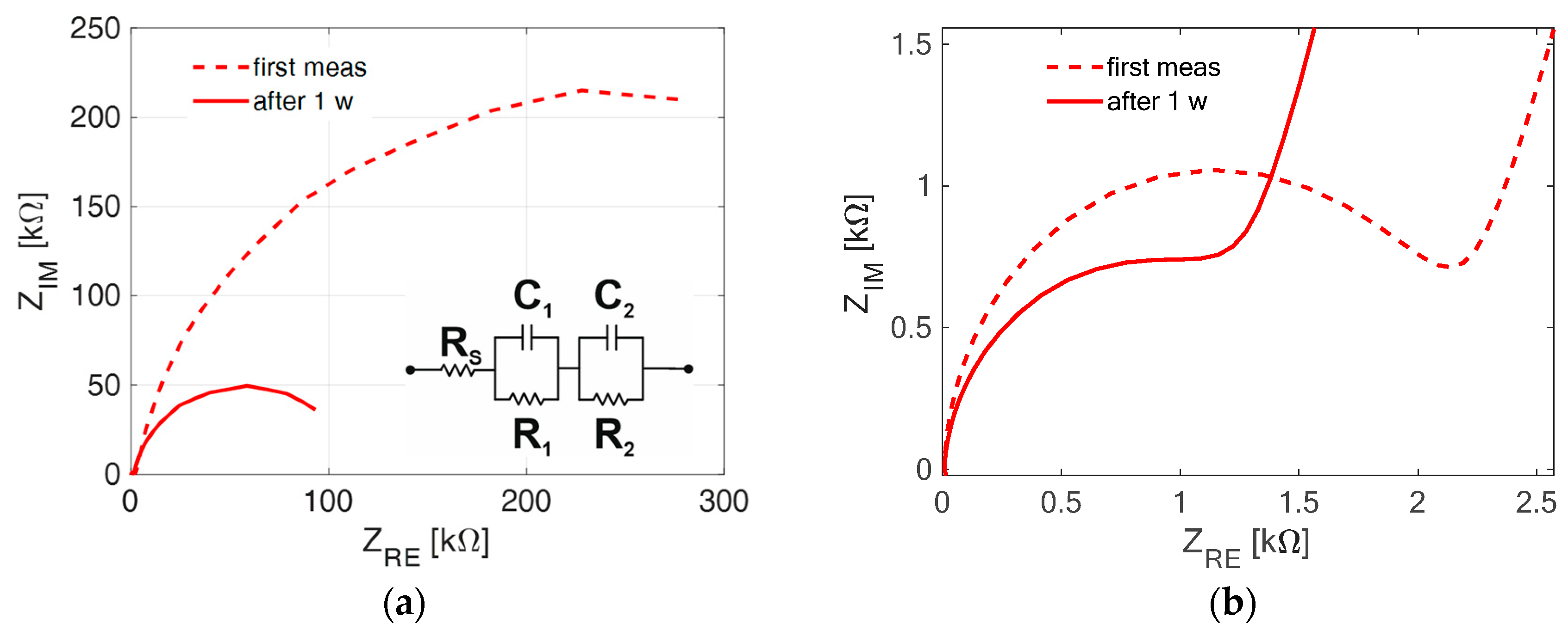
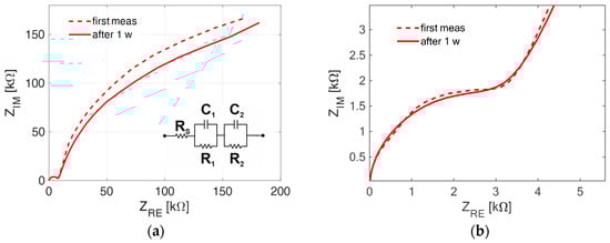
3. Results
4. Conclusions
Author Contributions
Funding
Data Availability Statement
Conflicts of Interest
References
- Green, M.A.; Dunlop, E.D.; Hohl-Ebinger, J.; Yoshita, M.; Kopidakis, N.; Hao, X. Solar cell efficiency tables (Version 58). Prog. Photovolt. Res. Appl. 2021, 29, 657–667. [Google Scholar] [CrossRef]
- De Wolf, S.; Holovsky, J.; Moon, S.J.; Loper, P.; Niesen, B.; Ledinsky, M.; Haug, F.-J.; Yum, J.-H.; Ballif, C. Organometallic halide perovskites: Sharp optical absorption edge and its relation to photovoltaic performance. J. Phys. Chem. Lett. 2014, 5, 1035–1039. [Google Scholar] [CrossRef]
- Noh, J.H.; Im, S.H.; Heo, J.H.; Mandal, T.N.; Seok, S.I. Chemical management for colorful, efficient, and stable inorganic–organic hybrid nanostructured solar cells. Nano Lett. 2013, 13, 1764–1769. [Google Scholar] [CrossRef]
- Dong, Q.; Fang, Y.; Shao, Y.; Mulligan, P.; Qiu, J.; Cao, L.; Huang, J. Electron-hole diffusion lengths > 175 μm in solution-grown CH3NH3PbI3 single crystals. Science 2015, 347, 967–970. [Google Scholar] [CrossRef]
- Chen, Y.; Peng, J.; Su, D.; Chen, X.; Liang, Z. Efficient and balanced charge transport revealed in planar perovskite solar cells. ACS Appl. Mater. Interfaces 2015, 7, 4471–4475. [Google Scholar] [CrossRef]
- Wehrenfennig, C.; Eperon, G.E.; Johnston, M.B.; Snaith, H.J.; Herz, L.M. High charge carrier mobilities and lifetimes in organolead trihalide perovskites. Adv. Mater. 2014, 26, 1584–1589. [Google Scholar] [CrossRef]
- Berhe, T.A.; Su, W.N.; Chen, C.H.; Pan, C.J.; Cheng, J.H.; Chen, H.M.; Tsai, M.-C.; Chen, L.-Y.; Dubale, A.A.; Hwang, B.J. Organometal halide perovskite solar cells: Degradation and stability. Energy Environ. Sci. 2016, 9, 323–356. [Google Scholar] [CrossRef]
- Boyd, C.C.; Cheacharoen, R.; Leijtens, T.; McGehee, M.D. Understanding degradation mechanisms and improving stability of perovskite photovoltaics. Chem. Rev. 2018, 119, 3418–3451. [Google Scholar] [CrossRef]
- Dunfield, S.P.; Bliss, L.; Zhang, F.; Luther, J.M.; Zhu, K.; van Hest, M.F.; Reese, M.O.; Berry, J.J. From defects to degradation: A mechanistic understanding of degradation in perovskite solar cell devices and modules. Adv. Energy Mater. 2020, 10, 1904054. [Google Scholar] [CrossRef]
- Ahn, N.; Kwak, K.; Jang, M.S.; Yoon, H.; Lee, B.Y.; Lee, J.K.; Pikhitsa, P.V.; Byun, J.; Choi, M. Trapped charge-driven degradation of perovskite solar cells. Nat. Commun. 2016, 7, 13422. [Google Scholar] [CrossRef]
- Baiatu, T.; Rainer, W.; Karl-Heinz, H. DC electrical degradation of perovskite-type titanates: III, a model of the mechanism. J. Am. Ceram. Soc. 1990, 73, 1663–1673. [Google Scholar] [CrossRef]
- Khezami, L.; Al Megbel, A.O.; Jemai, A.B.; Rabha, M.B. Theoretical and experimental analysis on effect of porous silicon surface treatment in multicrystalline silicon solar cells. Appl. Surf. Sci. 2015, 353, 106–111. [Google Scholar] [CrossRef]
- Rabha, M.B.; Khezami, L.; Jemai, A.B.; Alhathlool, R.; Ajbar, A. Surface passivation of silicon nanowires based metal nano-particle assisted chemical etching for photovoltaic applications. J. Cryst. Growth 2017, 462, 35–40. [Google Scholar] [CrossRef]
- Mercaldo, L.V.; Bobeico, E.; De Maria, A.; Della Noce, M.; Ferrara, M.; La Ferrara, V.; Lancellotti, L.; Rametta, G.; Sannino, G.V.; Delli Veneri, P.; et al. Monolithic Perovskite/Silicon-Heterojunction Tandem Solar Cells with Nanocrystalline Si/SiOx Tunnel Junction. Energies 2021, 14, 7684. [Google Scholar] [CrossRef]
- Mercaldo, L.V.; Bobeico, E.; Usatii, I.; Della Noce, M.; Lancellotti, L.; Serenelli, L.; Izzi, M.; Tucci, M.; Veneri, P.D. Potentials of mixed-phase doped layers in p-type Si hetero-junction solar cells with ZnO:Al. Sol. Energy Mater. Sol. Cells 2017, 168, 113–121. [Google Scholar] [CrossRef]
- Matacena, I.; Guerriero, P.; Lancellotti, L.; Bobeico, E.; Lisi, N.; Chierchia, R.; Veneri, P.D.; Daliento, S. Forward bias capacitance investigation as a powerful tool to monitor graphene/silicon interfaces. Sol. Energy 2021, 226, 1–8. [Google Scholar] [CrossRef]
- Matacena, I.; Maresca, L.; Riccio, M.; Irace, A.; Breglio, G.; Castellazzi, A.; Daliento, S. SiC/SiO2 interface traps effect on SiC MOSFETs Gate capacitance with biased Drain. In Proceedings of the 2022 IEEE International Symposium on the Physical and Failure Analysis of Integrated Circuits (IPFA), IEEE, Singapore, 18–20 July 2022. [Google Scholar]
- Maresca, L.; Matacena, I.; Riccio, M.; Irace, A.; Breglio, G.; Daliento, S. TCAD model calibration for the SiC/SiO2 interface trap distribution of a planar SiC MOSFET. In Proceedings of the 2020 IEEE Workshop on Wide Bandgap Power Devices and Applications in Asia (WiPDA Asia), IEEE, Suita, Japan, 23–28 September 2020. [Google Scholar]
- Matacena, I.; Maresca, L.; Riccio, M.; Irace, A.; Breglio, G.; Daliento, S. Evaluation of Interface Traps Type, Energy Level and Density of SiC MOSFETs by Means of CV Curves TCAD Simulations. Mater. Sci. Forum 2020, 1004, 608–613. [Google Scholar] [CrossRef]
- Lancellotti, L.; Lisi, N.; Veneri, P.D.; Bobeico, E.; Matacena, I.; Guerriero, P. Graphene-on-Silicon solar cells with graphite contacts. In Proceedings of the 2019 International Conference on Clean Electrical Power (ICCEP), IEEE, Otranto, Italy, 2–4 July 2019. [Google Scholar]
- Noh MF, M.; Teh, C.H.; Daik, R.; Lim, E.L.; Yap, C.C.; Ibrahim, M.A.; Ludin, N.A.; Yusoff, A.R.B.M.; Jang, J.; Teridi, M.A.M. The architecture of the electron transport layer for a perovskite solar cell. J. Mater. Chem. C 2018, 6, 682–712. [Google Scholar]
- Bai, Y.; Fang, Y.; Deng, Y.; Wang, Q.; Zhao, J.; Zheng, X.; Zhang, Y.; Huang, J. Low temperature solution-processed Sb: SnO2 nanocrystals for efficient planar perovskite solar cells. ChemSusChem 2016, 9, 2686–2691. [Google Scholar] [CrossRef]
- Godinho, K.G.; Walsh, A.; Watson, G.W. Energetic and electronic structure analysis of intrinsic defects in SnO2. J. Phys. Chem. C 2009, 113, 439–448. [Google Scholar] [CrossRef]
- Zuo, L.; Chen, Q.; De Marco, N.; Hsieh, Y.T.; Chen, H.; Sun, P.; Chang, S.-Y.; Zhao, H.; Dong, S.; Yang, Y. Tailoring the interfacial chemical interaction for high-efficiency perovskite solar cells. Nano Lett. 2017, 17, 269–275. [Google Scholar] [CrossRef]
- Zhao, X.; Dong, J.; Wu, D.; Zhou, J.; Feng, J.; Yao, Y.; Xu, C.Y.; Yang, X.; Tang, X.; Song, Q. Efficient and Stable Perovskite Solar Cells Achieved by Using Bifunctional Interfacial Materials to Modify SnO2 and MAPbI3–xClx Simultaneously. ACS Appl. Energy Mater. 2021, 4, 3794–3802. [Google Scholar] [CrossRef]
- Choi, K.; Lee, J.; Kim, H.I.; Park, C.W.; Kim, G.W.; Choi, H.; Park, S.; Park, S.A.; Park, T. Thermally stable, planar hybrid perovskite solar cells with high efficiency. Energy Environ. Sci. 2018, 11, 3238–3247. [Google Scholar] [CrossRef]
- Uddin, A.; Yi, H. Progress and challenges of SnO2 electron transport layer for perovskite solar cells: A critical review. Sol. RRL 2022, 6, 2100983. [Google Scholar] [CrossRef]
- Dai, X.; Koshy, P.; Sorrell, C.C.; Lim, J.; Yun, J.S. Focussed Review of Utilization of Graphene-Based Materials in Electron Transport Layer in Halide Perovskite Solar Cells: Materials-Based Issues. Energies 2020, 13, 6335. [Google Scholar] [CrossRef]
- Sidhik, S.; Panikar, S.S.; Pérez, C.R.; Luke, T.L.; Carriles, R.; Carrera, S.C.; De la Rosa, E. Interfacial engineering of TiO2 by graphene nanoplatelets for high-efficiency hysteresis-free perovskite solar cells. ACS Sustain. Chem. Eng. 2018, 6, 15391–15401. [Google Scholar] [CrossRef]
- Shen, D.; Zhang, W.; Xie, F.; Li, Y.; Abate, A.; Wei, M. Graphene quantum dots decorated TiO2 mesoporous film as an efficient electron transport layer for high-performance perovskite solar cells. J. Power Sources 2018, 402, 320–326. [Google Scholar] [CrossRef]
- Dadashbeik, M.; Fathi, D.; Eskandari, M. Design and simulation of perovskite solar cells based on graphene and TiO2/graphene nanocomposite as electron transport layer. Sol. Energy 2020, 207, 917–924. [Google Scholar] [CrossRef]
- Tavakoli, M.M.; Tavakoli, R.; Yadav, P.; Kong, J. A graphene/ZnO electron transfer layer together with perovskite passivation enables highly efficient and stable perovskite solar cells. J. Mater. Chem. A 2019, 7, 679–686. [Google Scholar] [CrossRef]
- La Ferrara, V.; De Maria, A.; Rametta, G.; Veneri, P.D. The effect of storage cycle on improvement in the photovoltaic parameters of planar triple cation perovskite solar cells. Mater. Adv. 2021, 2, 5396–5405. [Google Scholar] [CrossRef]
- Macdonald, J.R. Impedance spectroscopy. Ann. Biomed. Eng. 1992, 20, 289–305. [Google Scholar] [CrossRef]
- Yadav, P.; Pandey, K.; Bhatt, V.; Kumar, M.; Kim, J. Critical aspects of impedance spectroscopy in silicon solar cell characterization: A review. Renew. Sustain. Energy Rev. 2017, 76, 1562–1578. [Google Scholar] [CrossRef]
- Sacco, A. Electrochemical impedance spectroscopy: Fundamentals and application in dye-sensitized solar cells. Renew. Sustain. Energy Rev. 2017, 79, 814–829. [Google Scholar] [CrossRef]
- Matacena, I.; Lancellotti, L.; Lisi, N.; Delli Veneri, P.; Guerriero, P.; Daliento, S. Impedance spectroscopy for the characterization of the all-carbon graphene-based solar cell. Energies 2020, 13, 1908. [Google Scholar] [CrossRef]
- Mora-Sero, I.; Garcia-Belmonte, G.; Boix, P.P.; Vazquez, M.A.; Bisquert, J. Impedance spectroscopy characterisation of highly efficient silicon solar cells under different light illumination intensities. Energy Environ. Sci. 2009, 2, 678–686. [Google Scholar] [CrossRef]
- Sharma, D.K.; Pareek, K.; Chowdhury, A. Investigation of solar cell degradation using electrochemical impedance spectroscopy. Int. J. Energy Res. 2020, 44, 8730–8739. [Google Scholar] [CrossRef]
- Arredondo, B.; Martín-López, M.B.; Romero, B.; Vergaz, R.; Romero-Gomez, P.; Martorell, J. Monitoring degradation mechanisms in PTB7: PC71BM photovoltaic cells by means of impedance spectroscopy. Sol. Energy Mater. Sol. Cells 2016, 144, 422–428. [Google Scholar] [CrossRef]
- Gupta, S.K.; Pali, L.S.; Garg, A. Impedance spectroscopy on degradation analysis of polymer/fullerene solar cells. Sol. Energy 2019, 178, 133–141. [Google Scholar] [CrossRef]
- Katayama, N.; Osawa, S.; Matsumoto, S.; Nakano, T.; Sugiyama, M. Degradation and fault diagnosis of photovoltaic cells using impedance spectroscopy. Sol. Energy Mater. Sol. Cells 2019, 194, 130–136. [Google Scholar] [CrossRef]
- Osorio, E.; Sánchez, J.G.; Acquaroli, L.N.; Pacio, M.; Ferré-Borrull, J.; Pallarès, J.; Marsal, L.F. Degradation analysis of encapsulated and nonencapsulated TiO2/PTB7: PC70BM/V2O5 solar cells under ambient conditions via impedance spectroscopy. ACS Omega 2017, 2, 3091–3097. [Google Scholar] [CrossRef]
- Pascoe, A.R.; Duffy, N.W.; Scully, A.D.; Huang, F.; Cheng, Y.-B. Insights into Planar CH3NH3PbI3 Perovskite Solar Cells Using Impedance Spectroscopy. J. Phys. Chem. C 2015, 119, 4444–4453. [Google Scholar] [CrossRef]
- Pockett, A.; Eperon, G.E.; Peltola, T.; Snaith, H.J.; Walker, A.; Peter, L.M.; Cameron, P.J. Characterization of Planar Lead Halide Perovskite Solar Cells by Impedance Spectroscopy, Open-Circuit Photovoltage Decay, and Intensity-Modulated Photovoltage/Photocurrent Spectroscopy. J. Phys. Chem. C 2015, 119, 3456–3465. [Google Scholar] [CrossRef]
- Guerrero, A.; Garcia-Belmonte, G.; Mora-Sero, I.; Bisquert, J.; Kang, Y.S.; Jacobsson, T.J.; Correa-Baena, J.-P.; Hagfeldt, A. Properties of Contact and Bulk Impedances in Hybrid Lead Halide Perovskite Solar Cells Including Inductive Loop Elements. J. Phys. Chem. C 2016, 120, 8023–8032. [Google Scholar] [CrossRef]
- Todinova, A.; Idígoras, J.; Salado, M.; Kazim, S.; Anta, J.A. Universal Features of Electron Dynamics in Solar Cells with TiO2 Contact: From Dye Solar Cells to Perovskite Solar Cells. J. Phys. Chem. Lett. 2015, 6, 3923–3930. [Google Scholar] [CrossRef]
- Bisquert, J.; Bertoluzzi, L.; Mora-Sero, I.; Garcia-Belmonte, G. Theory of Impedance and Capacitance Spectroscopy of Solar Cells with Dielectric Relaxation, Drift-Diffusion Transport, and Recombination. J. Phys. Chem. C 2014, 118, 18983–18991. [Google Scholar] [CrossRef]
- Pitarch-Tena, D.; Ngo, T.T.; Vallés-Pelarda, M.; Pauporté, T.; Mora-Seró, I. Impedance spectroscopy measurements in perovskite solar cells: Device stability and noise reduction. ACS Energy Lett. 2018, 3, 1044–1048. [Google Scholar] [CrossRef]
- Fabregat-Santiago, F.; Garcia-Belmonte, G.; Mora-Seró, I.; Bisquert, J. Characterization of Nanostructured Hybrid and Organic Solar Cells by Impedance Spectroscopy. Phys. Chem. Chem. Phys. 2011, 13, 9083–9118. [Google Scholar] [CrossRef]
- Mercaldo, L.V.; Bobeico, E.; De Maria, A.; Della Noce, M.; Ferrara, M.; Lancellotti, L.; Romano, A.; Sannino, G.V.; Nasti, G.; Delli Veneri, P.; et al. Procedure Based on External Quantum Efficiency for Reliable Characterization of Perovskite Solar Cells. Energy Technol. 2022, 10, 2200748. [Google Scholar] [CrossRef]
- Matacena, I. Equivalent circuit extraction procedure from Nyquist plots for graphene-silicon solar cells. In Proceedings of the 2019 15th Conference on Ph.D. Research in Microelectronics and Electronics (PRIME), IEEE, Lausanne, Switzerland, 15–18 July 2019. [Google Scholar]




| Modified Device | Reference Device | |
|---|---|---|
| first measurement | ||
| τLF_ [s] | 2.51 | 8 |
| τHF_ [s] | 1·10−3 | 4·10−4 |
| after 1 week | ||
| τLF_ [s] | 2.50 | 1 |
| τHF_ [s] | 0.9·10−3 | 1.6·10−4 |
Disclaimer/Publisher’s Note: The statements, opinions and data contained in all publications are solely those of the individual author(s) and contributor(s) and not of MDPI and/or the editor(s). MDPI and/or the editor(s) disclaim responsibility for any injury to people or property resulting from any ideas, methods, instructions or products referred to in the content. |
© 2023 by the authors. Licensee MDPI, Basel, Switzerland. This article is an open access article distributed under the terms and conditions of the Creative Commons Attribution (CC BY) license (https://creativecommons.org/licenses/by/4.0/).
Share and Cite
Matacena, I.; Guerriero, P.; Lancellotti, L.; Alfano, B.; De Maria, A.; La Ferrara, V.; Mercaldo, L.V.; Miglietta, M.L.; Polichetti, T.; Rametta, G.; et al. Impedance Spectroscopy Analysis of Perovskite Solar Cell Stability. Energies 2023, 16, 4951. https://doi.org/10.3390/en16134951
Matacena I, Guerriero P, Lancellotti L, Alfano B, De Maria A, La Ferrara V, Mercaldo LV, Miglietta ML, Polichetti T, Rametta G, et al. Impedance Spectroscopy Analysis of Perovskite Solar Cell Stability. Energies. 2023; 16(13):4951. https://doi.org/10.3390/en16134951
Chicago/Turabian StyleMatacena, Ilaria, Pierluigi Guerriero, Laura Lancellotti, Brigida Alfano, Antonella De Maria, Vera La Ferrara, Lucia V. Mercaldo, Maria Lucia Miglietta, Tiziana Polichetti, Gabriella Rametta, and et al. 2023. "Impedance Spectroscopy Analysis of Perovskite Solar Cell Stability" Energies 16, no. 13: 4951. https://doi.org/10.3390/en16134951
APA StyleMatacena, I., Guerriero, P., Lancellotti, L., Alfano, B., De Maria, A., La Ferrara, V., Mercaldo, L. V., Miglietta, M. L., Polichetti, T., Rametta, G., Sannino, G. V., Delli Veneri, P., & Daliento, S. (2023). Impedance Spectroscopy Analysis of Perovskite Solar Cell Stability. Energies, 16(13), 4951. https://doi.org/10.3390/en16134951

