Mechanism and Control of Asymmetric Floor Heave in the Gob-Side Coal Roadway under Mining Pressure in Extra-Thick Coal Seams
Abstract
1. Introduction
2. Overview of Geological Engineering
3. Monitoring the Floor Deformation
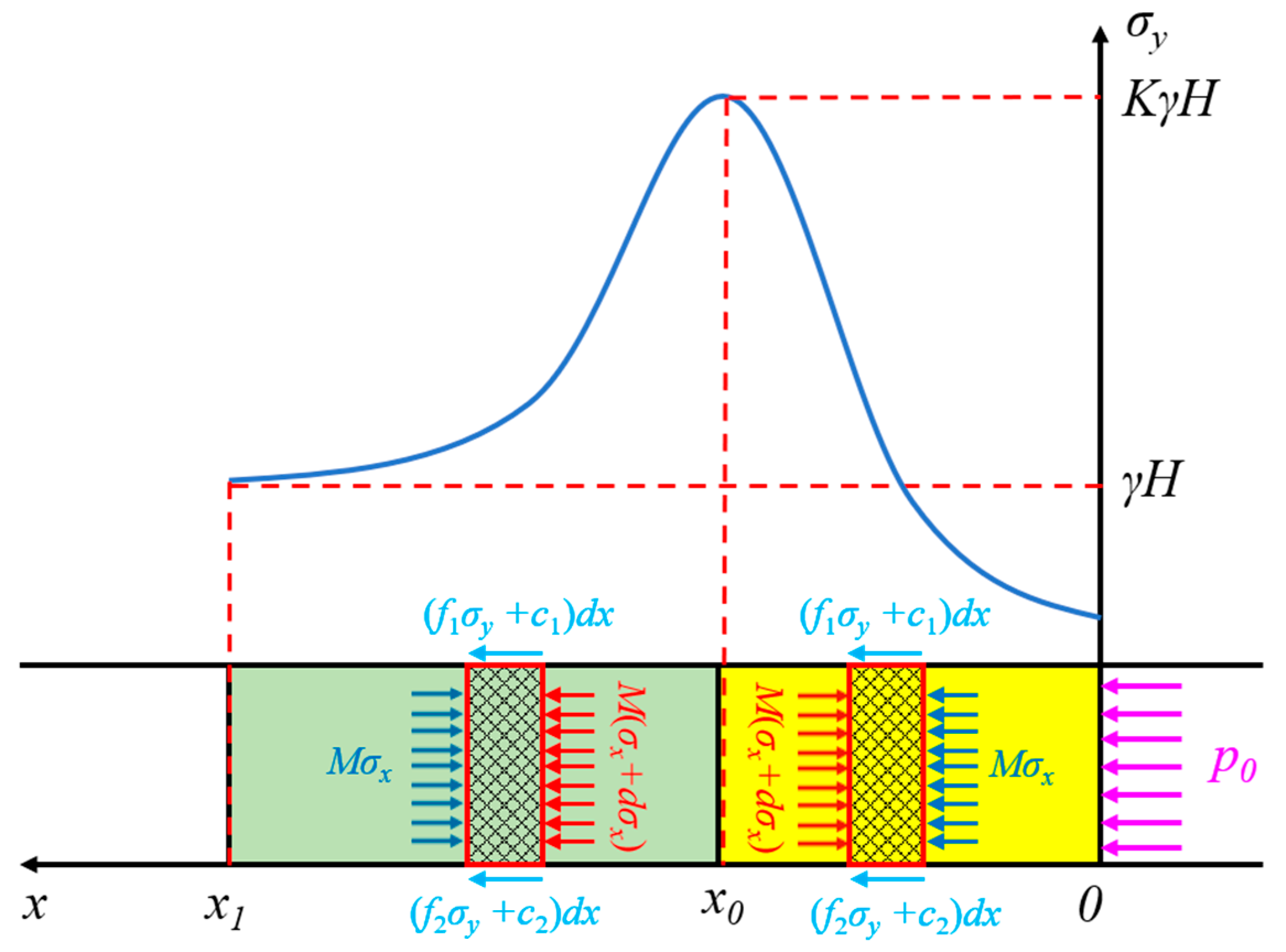
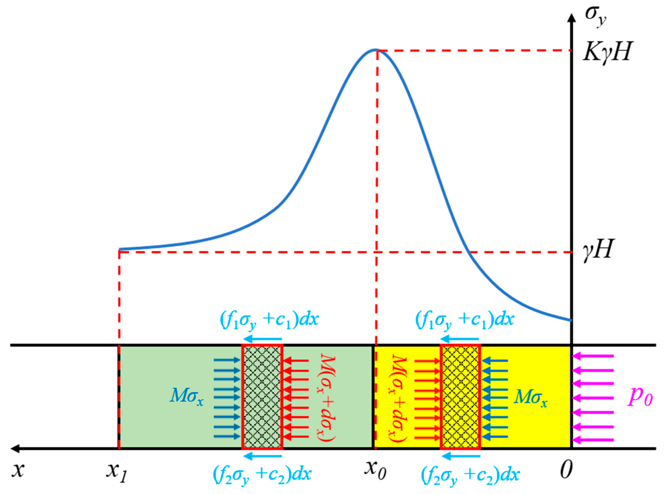
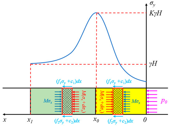
4. Stress Calculation of Surrounding Rock
5. Mechanism and Deformation Law of Roadway Floor Heave
5.1. Stress Distribution of Roadway Surrounding Rock
5.2. Mechanism of Asymmetric Floor Heave
5.3. Distribution Laws of the Plastic Zone in the Roadway
5.4. Displacement Distribution of the Floor
6. Control Measures of Roadway Asymmetric Floor Heave
6.1. Strengthening the Support to the Roof and Coal Wall
6.2. Floor Control Measures
7. Engineering Practice
8. Conclusions
- (1)
- The formulas to calculate the horizontal vertical stress of the roadway caused by the excavation and mining of the upper working face are derived separately. The theoretical curve is basically identical to the numerical simulation curve. The vertical stress coupling curve on both sides during the mining of the upper working face is obtained through a numerical simulation.
- (2)
- The cause of the asymmetric floor heave is the uneven distribution of vertical stress on both sides of the floor. The stress concentration coefficient near the coal pillar of the roadway is 2.6, and the stress concentration coefficient near the solid coal is 1.9. The failure area of the floor near the coal pillar is more than that near the solid coal.
- (3)
- Our numerical simulation shows a symmetrical distribution of the displacement curve of the floor during the roadway excavation, with a max. displacement of 49.5 mm. The displacement curve of the floor during the mining of the upper working face is asymmetrical with a max. displacement of 873 mm at a distance of 1 m from the central axis near the coal pillar. The maximum depth of floor failure is 5.5 m.
- (4)
- According to the cooperative control principle of a roof, two sides and a floor, the asymmetric floor heave joint control scheme of “floor leveling + anchor cable support + concrete hardening” is proposed. The floor deformation monitoring results indicate that the max. floor heave at the measurement point near the coal pillar is 167 mm, and the floor heave is effectively controlled.
Author Contributions
Funding
Data Availability Statement
Conflicts of Interest
References
- Liang, M.F.; Hu, C.J.; Yu, R.; Wang, L.X.; Zhao, B.F.; Xu, Z.Y. Optimization of the process parameters of fully mechanized top-coal caving in thick-seam coal using BP neural networks. Sustainability 2022, 14, 1340. [Google Scholar] [CrossRef]
- He, F.L.; Liu, B.Q.; Wang, D.Q.; Chen, D.D.; Wu, Y.H.; Song, L.M.; Ma, X.; Ye, Q.C.; Jiang, Z.S.; Guo, F.F.; et al. Study on stability and control of surrounding rock in the stopping space with fully mechanized top coal caving under goaf. Energies 2022, 15, 8498. [Google Scholar] [CrossRef]
- Wang, D.Q.; He, F.L.; Wu, Y.H.; Xu, X.H.; Zhang, J.L.; Lv, K.; Li, L.; Zhai, W.L.; Song, J.Y. Study on surrounding rock failure mechanism and rational coal pillar width of the gob-side coal roadway under influence of intense dynamic pressure. Energy Sci. Eng. 2023, 1–18. [Google Scholar] [CrossRef]
- Li, Z.X.; Zhang, Y.D.; Ma, Q.; Zheng, Y.; Song, G.Y.; Yan, W.Z.; Zhang, Y.; Hu, L. The floor heave mechanism and control technology of gob-side entry retaining of soft rock floor. Sustainability 2023, 15, 6074. [Google Scholar] [CrossRef]
- Yang, J.; Gao, Y.B.; Liu, S.Q.; Peng, Y.H.; Zhang, H.W. Study on failure mechanism and control techniques of the preparation roadway induced by dynamic mining disturbance. J. Min. Sci. Technol. 2018, 3, 451–460. [Google Scholar]
- Xie, S.R.; Li, H.; Chen, D.D.; Feng, S.H.; Ma, X.; Jiang, Z.S.; Cui, J.Q. New technology of pressure relief control in soft coal roadways with deep, violent mining and large deformation: A key study. Energies 2022, 15, 9208. [Google Scholar] [CrossRef]
- Mo, S.; Tutuk, K.; Saydam, S. Management of floor heave at bulga underground operations—A case study. Int. J. Min. Sci. Technol. 2019, 29, 73–78. [Google Scholar] [CrossRef]
- Mo, S.; Ramandi, H.L.; Oh, J.; Masoumi, H.; Canbulat, I.; Hebblewhite, B.; Saydam, S. A new coal mine floor rating system and its application to assess the potential of floor heave. Int. J. Rock Mech. Min. Sci. 2020, 128, 104241. [Google Scholar] [CrossRef]
- Chen, Y.; Bai, J.B.; Yan, S.; Xu, Y.; Wang, X.Y.; Ma, S. Control mechanism and technique of floor heave with reinforcing solid coal side and floor corner in gob-side coal entry retaining. Int. J. Min. Sci. Technol. 2012, 22, 841–845. [Google Scholar] [CrossRef]
- Indraratna, B.; Nemcik, J.A.; Gale, W.J. Review and interpretation of primary floor failure mechanism at a longwall coal mining face based on numerical analysis. Geotechnique 2000, 50, 547–557. [Google Scholar] [CrossRef]
- Małkowski, P.; Ostrowski, Ł.; Stasica, J. Modeling of Floor Heave in Underground Roadways in Dry and Waterlogged Conditions. Energies 2022, 15, 4340. [Google Scholar] [CrossRef]
- Małkowski, P.; Ostrowski, Ł.; Bednarek, Ł. The effect of selected factors on floor upheaval in roadways—In situ testing. Energies 2020, 13, 5686. [Google Scholar] [CrossRef]
- Sakhno, I.; Liashok, I.; Sakhno, S.; Isaienkov, O. Method for controlling the floor heave in mine roadways of underground coal mines. Min. Miner. Depos. 2022, 16, 1–10. [Google Scholar] [CrossRef]
- Wang, W.J.; Hou, C.J.; Bai, J.B.; Li, X.H. Mechanical deformation analysis and principle of floor heave of roadway driving gob in fully mechanized sub—Level caving face. Rock Soil Mech. 2001, 2001, 319–322. [Google Scholar]
- Jiang, Y.D.; Zhao, Y.X.; Liu, W.G.; Li, Q. Research on floor heave of roadway in deep mining. Chin. J. Rock Mech. Eng. 2004, 2004, 2396–2401. [Google Scholar]
- He, M.C.; Zhang, G.F.; Wang, G.L.; Xu, Y.L.; Wu, C.Z.; Tang, Q.D. Research on mechanism and application to floor heave control of deep gateway. Chin. J. Rock Mech. Eng. 2009, 28, 2593–2598. [Google Scholar]
- Bai, J.B.; Li, W.F.; Wang, X.Y.; Xu, Y.; Huo, L.J. Mechanism of floor heave and control technology of roadway induced by mining. J. Min. Saf. Eng. 2011, 28, 1–5. [Google Scholar]
- Chen, S.Y.; Song, C.S.; Guo, Z.B.; Wang, J.; Wang, Y. Asymmetric deformation mechanical mechanism and control countermeasure for deep roadway affected by mining. J. China Coal Soc. 2016, 41, 246–254. [Google Scholar]
- Jia, H.S.; Wang, L.Y.; Liu, S.W.; Peng, B.; Zhang, W.G.; Fan, K. Mechanism and control strategy of asymmetrical floor heave of coal pillar roadway in fully mechanized caving face. J. China Coal Soc. 2019, 44, 1030–1040. [Google Scholar]
- Yang, R.S.; Zhu, Y.; Li, Y.L.; Li, W.Y. Floor heave mechanism and control measures of layered floor in weakly cemented soft rock roadway. J. Min. Saf. Eng. 2020, 37, 443–450. [Google Scholar]
- Wang, Z.Q.; Wang, P.; Lv, W.Y.; Shi, L.; Su, Z.H.; Wu, C.; Yu, F. Mechanism and control of asymmetric floor heave in gob-side entry. J. Min. Saf. Eng. 2021, 38, 215–226. [Google Scholar]
- Jiang, B.S.; Zhang, Q.; He, Y.N.; Han, L.J. Elastoplastic analysis of cracked surrounding rocks in deep circular openings. Chin. J. Rock Mech. Eng. 2007, 184, 982–986. [Google Scholar]
- Pan, Y.; Wang, Z.Q. Elasto-plastic analysis on surrounding rock of circular chamber based on strain nonlinear softening. Chin. J. Rock Mech. Eng. 2005, 2005, 915–920. [Google Scholar]
- Xu, X.H.; He, F.L.; Li, X.B.; He, W.R. Research on mechanism and control of asymmetric deformation of gob side coal roadway with fully mechanized caving mining. Eng. Failure Anal. 2021, 120, 105097. [Google Scholar] [CrossRef]
- Wang, Z.Q.; Wu, C.; Shi, L.; Su, Z.H.; Wang, P.; Huang, X. Analysis of surrounding rock stress and plastic zone of two-way unequal pressure circular roadway based on complex variable theory. J. China Coal Soc. 2019, 44, 419–429. [Google Scholar]
- Vu, T.T. Solutions to prevent face spall and roof falling in fully mechanized longwall at underground mines, Vietnam. Min. Miner. Depos. 2022, 16, 127–134. [Google Scholar] [CrossRef]
- Chang, J.C.; Xie, G.X.; Zhang, X.H. Analysis of rib spalling mechanism of fully-mechanized top-coal caving face with great mining height in extra-thick coal seam. Rock Soil Mech. 2015, 36, 803–808. [Google Scholar]
- Xu, X.H.; He, F.L.; Li, X.B.; Lv, K.; He, C.X.; Li, L. Roadway impact mechanism and optimization design under coal pillar disturbance in large mining height working face. J. Min. Saf. Eng. 2021, 38, 547–555. [Google Scholar]
- Lai, X.P.; Xu, H.C.; Shan, P.F.; Kang, Y.L.; Wang, Z.Y.; Wu, X. Research on mechanism and control of floor heave of mining-influenced roadway in top coal caving working face. Energies 2020, 13, 381. [Google Scholar] [CrossRef]
- Zhou, X.M.; Wang, S.; Li, X.L.; Meng, J.J.; Li, Z.; Zhang, L.H.; Pu, D.D.; Wang, L.K. Research on theory and technology of floor heave control in semicoal rock roadway: Taking longhu coal mine in Qitaihe mining area as an Example. Lithosphere 2022, 2022, 3810988. [Google Scholar] [CrossRef]
- He, F.L.; Xu, X.H.; Qin, B.B.; Li, L.; Lv, K.; Li, X.B. Study on deformation mechanism and control technology of surrounding rock during reuse of gob side entry retaining by roof pre-splitting. Eng. Failure Anal. 2022, 137, 106271. [Google Scholar] [CrossRef]
- Xie, S.R.; Pan, H. Control mechanism and application of double span truss anchor cable in long span coal roadway. J. Min. Sci. Technol. 2018, 3, 148–155. [Google Scholar]
- Zhang, G.C.; He, F.L. Asymmetric failure and control measures of large cross-section entry roof with strong mining disturbance and fully-mechanized caving mining. Chin. J. Rock Mech. Eng. 2016, 35, 806–818. [Google Scholar]
- Chen, D.D.; Guo, F.F.; Li, Z.J.; Ma, X.; Xie, S.R.; Wu, Y.Y.; Wang, Z.Q. Study on the Influence and Control of Stress Direction Deflection and Partial-Stress Boosting of Main Roadways Surrounding Rock and under the Influence of Multi-Seam Mining. Energies 2022, 15, 8257. [Google Scholar] [CrossRef]
- Sun, X.M.; Zhang, Y.; He, M.C.; Yang, J.K. Research of high pre-stress NPR support technology in deep shaft roadway Engineering. J. Min. Sci. Technol. 2023, 8, 50–65. [Google Scholar]
- Xie, S.R.; Wu, Y.Y.; Guo, F.F.; Zou, H.; Chen, D.D.; Zhang, X.; Ma, X.; Liu, R.P.; Wu, C.W. Application of Pre-Splitting and Roof-Cutting Control Technology in Coal Mining: A Review of Technology. Energies 2022, 15, 6489. [Google Scholar] [CrossRef]
- Zhao, Y.Q.; He, F.L.; Xie, F.X.; Wu, J.K.; Liu, B.Q. Study on comprehensive evaluation of surrounding rock stability grade and repair control technology of gob side entry retaining. J. Min. Sci. Technol. 2017, 2, 550–558. [Google Scholar]




















| Lithology | K (GPa) | G (GPa) | (kg/m3) | C (MPa) | (deg.) | (MPa) |
|---|---|---|---|---|---|---|
| Fine sandstone | 8.91 | 6.23 | 2500 | 2.8 | 32 | 1.67 |
| Medium-coarse sandstone | 12.58 | 7.75 | 2656 | 3.3 | 38 | 2.14 |
| Siltstone | 3.15 | 1.52 | 2587 | 1.58 | 33 | 1.52 |
| Coal | 2.56 | 0.51 | 1336 | 0.45 | 20 | 0.49 |
| Carbonaceous mudstone | 2.87 | 0.83 | 2615 | 0.77 | 25 | 1.16 |
| Medium-fine sandstone | 13.27 | 7.85 | 2630 | 2.9 | 38 | 2.89 |
| Mudstone | 12.15 | 7.23 | 2660 | 3.1 | 37 | 2.65 |
Disclaimer/Publisher’s Note: The statements, opinions and data contained in all publications are solely those of the individual author(s) and contributor(s) and not of MDPI and/or the editor(s). MDPI and/or the editor(s) disclaim responsibility for any injury to people or property resulting from any ideas, methods, instructions or products referred to in the content. |
© 2023 by the authors. Licensee MDPI, Basel, Switzerland. This article is an open access article distributed under the terms and conditions of the Creative Commons Attribution (CC BY) license (https://creativecommons.org/licenses/by/4.0/).
Share and Cite
Wang, D.; Zheng, Y.; He, F.; Song, J.; Zhang, J.; Wu, Y.; Jia, P.; Wang, X.; Liu, B.; Wang, F.; et al. Mechanism and Control of Asymmetric Floor Heave in the Gob-Side Coal Roadway under Mining Pressure in Extra-Thick Coal Seams. Energies 2023, 16, 4948. https://doi.org/10.3390/en16134948
Wang D, Zheng Y, He F, Song J, Zhang J, Wu Y, Jia P, Wang X, Liu B, Wang F, et al. Mechanism and Control of Asymmetric Floor Heave in the Gob-Side Coal Roadway under Mining Pressure in Extra-Thick Coal Seams. Energies. 2023; 16(13):4948. https://doi.org/10.3390/en16134948
Chicago/Turabian StyleWang, Deqiu, Yun Zheng, Fulian He, Jiayu Song, Jianlong Zhang, Yanhao Wu, Pengpeng Jia, Xiaohui Wang, Baoping Liu, Feifei Wang, and et al. 2023. "Mechanism and Control of Asymmetric Floor Heave in the Gob-Side Coal Roadway under Mining Pressure in Extra-Thick Coal Seams" Energies 16, no. 13: 4948. https://doi.org/10.3390/en16134948
APA StyleWang, D., Zheng, Y., He, F., Song, J., Zhang, J., Wu, Y., Jia, P., Wang, X., Liu, B., Wang, F., Zhang, Y., & Tao, K. (2023). Mechanism and Control of Asymmetric Floor Heave in the Gob-Side Coal Roadway under Mining Pressure in Extra-Thick Coal Seams. Energies, 16(13), 4948. https://doi.org/10.3390/en16134948
