Biodiesel Preparation without a Cosolvent in an Opposite-Side Micro-Fixed-Bed Reactor
Abstract
1. Introduction
2. Experimental Section
Materials and Methods
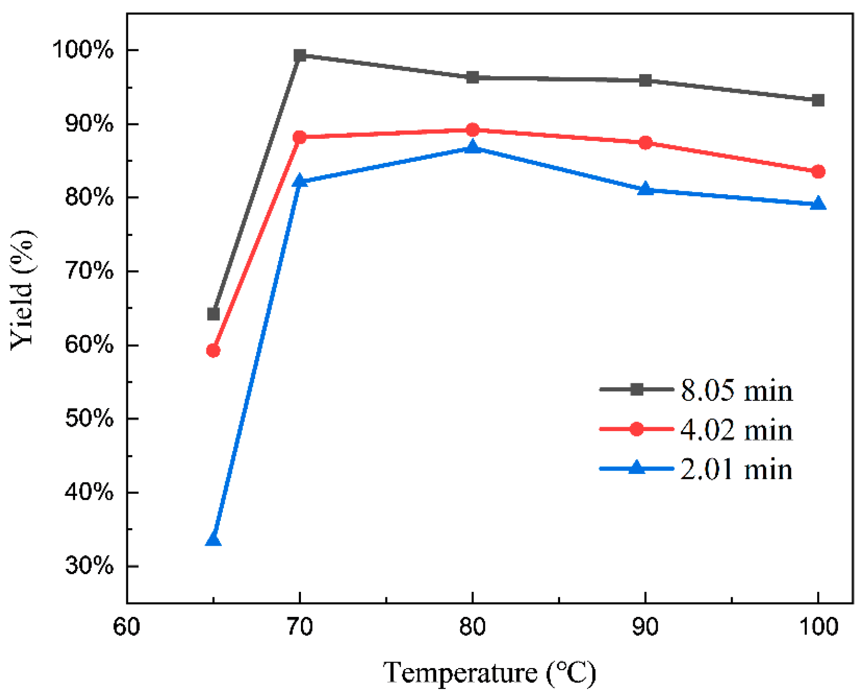
3. Results and Discussion
Transesterification in the OS-MFBR
4. Mixing Study of Soybean Oil and Methanol in the OS-MFBR
4.1. Foundation of the Simulation Model
4.2. Mixing Analysis with Two Reactors
5. Kinetics Model of Transesterification Process in the OS-MFBR
6. Conclusions
Author Contributions
Funding
Data Availability Statement
Conflicts of Interest
References
- Lv, P.M. The Production and Application Technology of Biodiesel; Chemical Industry Press: Beijing, China, 2020; Volume 2, p. 176. [Google Scholar]
- Banerjee, R.; Kumar, S.P.J.; Mehendale, N.; Sevda, S.; Garlapati, V.K. Intervention of microfluidics in biofuel and bioenergy sectors: Technological considerations and future prospects. Renew. Sustain. Energy Rev. 2019, 101, 548–558. [Google Scholar] [CrossRef]
- Akkarawatkhoosith, N.; Kaewchada, A.; Ngamcharussrivichai, C.; Jaree, A. Biodiesel Production Via Interesterification of Palm Oil and Ethyl Acetate Using Ion-Exchange Resin in a Packed-Bed Reactor. BioEnergy Res. 2019, 13, 542–551. [Google Scholar] [CrossRef]
- Haponska, M.; Nurra, C.; Abello, S.; Makkee, M.; Salvado, J.; Torras, C. Membrane reactors for biodiesel production with strontium oxide as a heterogeneous catalyst. Fuel Process. Technol. 2019, 185, 1–7. [Google Scholar] [CrossRef]
- Santiago, L.E.P.; Rebouças, É.G.; Silva, M.G.; Oliveira, K.C.; Jesus, A.A.; Aguiar, E.M.; Oliveira, J.A.; Souza, D.F.S. Influence of Porosity in a Packed-Bed Tubular Reactor on Biodiesel Production from Soybean Oil and Supercritical Ethanol: An Experimental and Phenomenological Investigation. Energy Fuels 2019, 33, 8649–8656. [Google Scholar] [CrossRef]
- Santana, H.S.; Silva, J.L., Jr.; da Silva, A.G.P.; Rodrigues, A.C.; Amaral, R.d.L.; Noriler, D.; Taranto, O.P. Development of a New Micromixer “Elis” for Fluid Mixing and Organic Reactions in Millidevices. Ind. Eng. Chem. Res. 2021, 60, 9216–9230. [Google Scholar] [CrossRef]
- Babak, A.; Ashkan, G.; Ehsan, P.; Binta Hadi, J.; Hamid Rashidi, N. Production of biodiesel from high acidity waste cooking oil using nano GO@MgO catalyst in a microreactor. Renew. Energy 2022, 200, 294–302. [Google Scholar] [CrossRef]
- Gholami, A.; Pourfayaz, F.; Hajinezhad, A.; Mohadesi, M. Biodiesel production from Norouzak (Salvia leriifolia) oil using choline hydroxide catalyst in a microchannel reactor. Renew. Energy 2019, 136, 993–1001. [Google Scholar] [CrossRef]
- Mohadesi, M.; Gouran, A.; Dehghan Dehnavi, A. Biodiesel production using low cost material as high effective catalyst in a microreactor. Energy 2020, 219, 119671. [Google Scholar] [CrossRef]
- Akkarawatkhoosith, N.; Srichai, A.; Kaewchada, A.; Ngamcharussrivichai, C.; Jaree, A. Evaluation on safety and energy requirement of biodiesel production: Conventional system and microreactors. Process Saf. Environ. Prot. 2019, 132, 294–302. [Google Scholar] [CrossRef]
- Chen, C.; Zhao, Y.; Wang, J.; Zhu, P.; Tian, Y.; Xu, M.; Wang, L.; Huang, X. Passive Mixing inside Microdroplets. Micromachines 2018, 9, 160. [Google Scholar] [CrossRef]
- Chueluecha, N.; Kaewchada, A.; Jaree, A. Enhancement of biodiesel synthesis using co-solvent in a packed-microchannel. J. Ind. Eng. Chem. 2017, 51, 162–171. [Google Scholar] [CrossRef]
- Mohadesi, M.; Aghel, B.; Maleki, M.; Ansari, A. Study of the transesterification of waste cooking oil for the production of biodiesel in a microreactor pilot: The effect of acetone as the co-solvent. Fuel 2020, 273, 117736. [Google Scholar] [CrossRef]
- Hassan, A.A.; Alhameedi, H.A.; Smith, J.D. Using ethanol for continuous biodiesel production with trace catalyst and CO2 co-solvent. Fuel Process. Technol. 2020, 203, 106377. [Google Scholar] [CrossRef]
- Saavedra, T.A.; Bueno-Borges, L.B.; Sangaletti-Gerhard, N.; de Alencar, S.M.; Regitano-d’Arce, M.A.B. Optimized conventional and ultrasound-assisted ethyl transesterification of jatropha (Jatropha curcas) and palm (Elaeis guineensis) oil mixtures. Chem. Eng. Commun. 2022, 209, 1482–1495. [Google Scholar] [CrossRef]
- Bockelmann, H.; Barz, D.P.J. Optimised active flow control for micromixers and other fluid applications: Sensitivity- vs. adjoint-based strategies. Comput. Fluids 2015, 106, 93–107. [Google Scholar] [CrossRef]
- Yu, P.; Shi, D.; Wang, R.; Zhu, Z. Study on a pulsatile micromixer with expansion-contraction microchannel. Chem. Eng. 2019, 47, 50–54+61. [Google Scholar] [CrossRef]
- Baydir, E.; Aras, O. Increasing biodiesel production yield in narrow channel tubular reactors. Chem. Eng. Process.-Process Intensif. 2022, 170, 108719. [Google Scholar] [CrossRef]
- Sun, J.; Ju, J.; Ji, L.; Zhang, L.; Xu, N. Synthesis of biodiesel in capillary microreactors. Ind. Eng. Chem. Res. 2008, 47, 1398–1403. [Google Scholar] [CrossRef]
- Sungwornpatansakul, P.; Hiroi, J.; Nigahara, Y.; Jayasinghe, T.K.; Yoshikawa, K. Enhancement of biodiesel production reaction employing the static mixing. Fuel Process. Technol. 2013, 116, 1–8. [Google Scholar] [CrossRef]
- Wen, Z.Z. Research on Reaction Process Intensification of Biodiesel Production; East China University of Science and Technology: Shanghai, China, 2010. [Google Scholar]
- Li, D.Y. Continuous Production of Biodiesel in a Micro-Channel Reactor; Dalian University of Technology: Liaoning, China, 2013. [Google Scholar]
- Santana, H.S.; Silva Junior, J.L.; Taranto, O.P. Numerical simulations of biodiesel synthesis in microchannels with circular obstructions. Chem. Eng. Process. 2015, 98, 137–146. [Google Scholar] [CrossRef]
- Santana, H.S.; Tortola, D.S.; Silva, J.L.; Taranto, O.P. Biodiesel synthesis in micromixer with static elements. Energy Convers. Manag. 2017, 141, 28–39. [Google Scholar] [CrossRef]
- Santana, H.S.; Silva, J.L.; Tortola, D.S.; Taranto, O.P. Transesterification of sunflower oil in microchannels with circular obstructions. Chin. J. Chem. Eng. 2018, 26, 852–863. [Google Scholar] [CrossRef]
- Laziz, A.M.; KuShaari, K.; Chin, J.; Denecke, J. Quantitative analysis of hydrodynamic effect on transesterification process in T-junction microchannel reactor system. Chem. Eng. Process.-Process Intensif. 2019, 140, 91–99. [Google Scholar] [CrossRef]
- Abdulla Yusuf, H.; Hossain, S.M.Z.; Aloraibi, S.; Alzaabi, N.J.; Alfayhani, M.A.; Almedfaie, H.J. Fabrication of novel microreactors in-house and their performance analysis via continuous production of biodiesel. Chem. Eng. Process.-Process Intensif. 2022, 172, 108792. [Google Scholar] [CrossRef]
- Gao, L.; Teng, G.; Lv, J.; Xiao, G. Biodiesel Synthesis Catalyzed by the KF/Ca-Mg-Al Hydrotalcite Base Catalyst. Energy Fuels 2010, 24, 646–651. [Google Scholar] [CrossRef]
- Gao, L.J.; Xu, W.; Xiao, G.M. Esterification of Oleic Acid with Methanol Catalyzed by P-Toluene Sulphonic Acid/MCM-41. Adv. Mater. Res. 2013, 634–638, 869–872. [Google Scholar] [CrossRef]
- Aghel, B.; Rahimi, M.; Sepahvand, A.; Alitabar, M.; Ghasempour, H.R. Using a wire coil insert for biodiesel production enhancement in a microreactor. Energy Convers. Manag. 2014, 84, 541–549. [Google Scholar] [CrossRef]
- Bouaid, A.; Martinez, M.; Aracil, J. A comparative study of the production of ethyl esters from vegetable oils as a biodiesel fuel optimization by factorial design. Chem. Eng. J. 2007, 134, 93–99. [Google Scholar] [CrossRef]
- Chueluecha, N.; Kaewchada, A.; Jaree, A. Biodiesel synthesis using heterogeneous catalyst in a packed-microchannel. Energy Convers. Manag. 2017, 141, 145–154. [Google Scholar] [CrossRef]
- Gojun, M.; Ljubić, A.; Bačić, M.; Jurinjak Tušek, A.; Šalić, A.; Zelić, B. Model-to-model: Comparison of mathematical process models of lipase catalysed biodiesel production in a microreactor. Comput. Chem. Eng. 2020, 145, 17200. [Google Scholar] [CrossRef]
- Ishii, M.; Zuber, N. Drag coefficient and relative velocity in bubbly, droplet or particulate flows. AIChE J. 1979, 25, 843–855. [Google Scholar] [CrossRef]
- Ait Mouheb, N.; Malsch, D.; Montillet, A.; Solliec, C.; Henkel, T. Numerical and experimental investigations of mixing in T-shaped and cross-shaped micromixers. Chem. Eng. Sci. 2012, 68, 278–289. [Google Scholar] [CrossRef]
- Legrand, J.; Morancais, P.; Carnelle, G. Liquid-liquid dispersion in an smx-sulzer static mixer. Chem. Eng. Res. Des. Trans. Inst. Chem. Eng. 2001, 79, 949–956. [Google Scholar] [CrossRef]
- Alam, A.; Afzal, A.; Kim, K.-Y. Mixing performance of a planar micromixer with circular obstructions in a curved microchannel. Chem. Eng. Res. Des. Trans. Inst. Chem. Eng. 2014, 92, 423–434. [Google Scholar] [CrossRef]










| Molecular Weight (g mol−1) | Density (kg m−3) | Dynamic Viscosity (kg (m·s)−1) | Interfacial Tension (mN m−1) | |
|---|---|---|---|---|
| Soybean oil | 750 | 909.15 | 0.06910 | 0.015 |
| Methanol | 32 | 781.80 | 0.00058 |
| Methanol/Soybean Oil Molar Ratio | Soybean Oil Vol. Flow Rate (mL h−1) | Methanol Vol. Flow Rate (mL h−1) | Reactor Length (mm) |
|---|---|---|---|
| 6:1 | 6 | 1.68 | 329 |
| 10:1 | 6 | 2.76 | 374 |
| 12:1 | 6 | 3.36 | 400 |
| 15:1 | 6 | 4.20 | 436 |
| 24:1 | 6 | 6.72 | 544 |
Disclaimer/Publisher’s Note: The statements, opinions and data contained in all publications are solely those of the individual author(s) and contributor(s) and not of MDPI and/or the editor(s). MDPI and/or the editor(s) disclaim responsibility for any injury to people or property resulting from any ideas, methods, instructions or products referred to in the content. |
© 2023 by the authors. Licensee MDPI, Basel, Switzerland. This article is an open access article distributed under the terms and conditions of the Creative Commons Attribution (CC BY) license (https://creativecommons.org/licenses/by/4.0/).
Share and Cite
Yue, Q.; Gao, L.; Xiao, G.; Xu, W. Biodiesel Preparation without a Cosolvent in an Opposite-Side Micro-Fixed-Bed Reactor. Energies 2023, 16, 4798. https://doi.org/10.3390/en16124798
Yue Q, Gao L, Xiao G, Xu W. Biodiesel Preparation without a Cosolvent in an Opposite-Side Micro-Fixed-Bed Reactor. Energies. 2023; 16(12):4798. https://doi.org/10.3390/en16124798
Chicago/Turabian StyleYue, Qianqian, Lijing Gao, Guomin Xiao, and Wei Xu. 2023. "Biodiesel Preparation without a Cosolvent in an Opposite-Side Micro-Fixed-Bed Reactor" Energies 16, no. 12: 4798. https://doi.org/10.3390/en16124798
APA StyleYue, Q., Gao, L., Xiao, G., & Xu, W. (2023). Biodiesel Preparation without a Cosolvent in an Opposite-Side Micro-Fixed-Bed Reactor. Energies, 16(12), 4798. https://doi.org/10.3390/en16124798

