Experimental Study on the Thermal Performance of Flat Loop Heat Pipe Applied in Data Center Cooling
Abstract
1. Introduction
2. Experimental Set-Up
2.1. FLHPs Prototype
2.2. Experimental Device
2.2.1. Air Cooling Experiment
2.2.2. Water Cooling Experiment
2.3. Uncertainty of the Measurement
- (1)
- Measurement uncertainty of temperature T
- (2)
- Measurement uncertainty of cooling water flow Qw
- (3)
- Measurement uncertainty of DC power output power P
3. Results and Discussion
3.1. Effect of Tilt Angles on the Thermal Performance
3.1.1. Operating Characteristics
3.1.2. Evaporator Temperature and Thermal Resistance
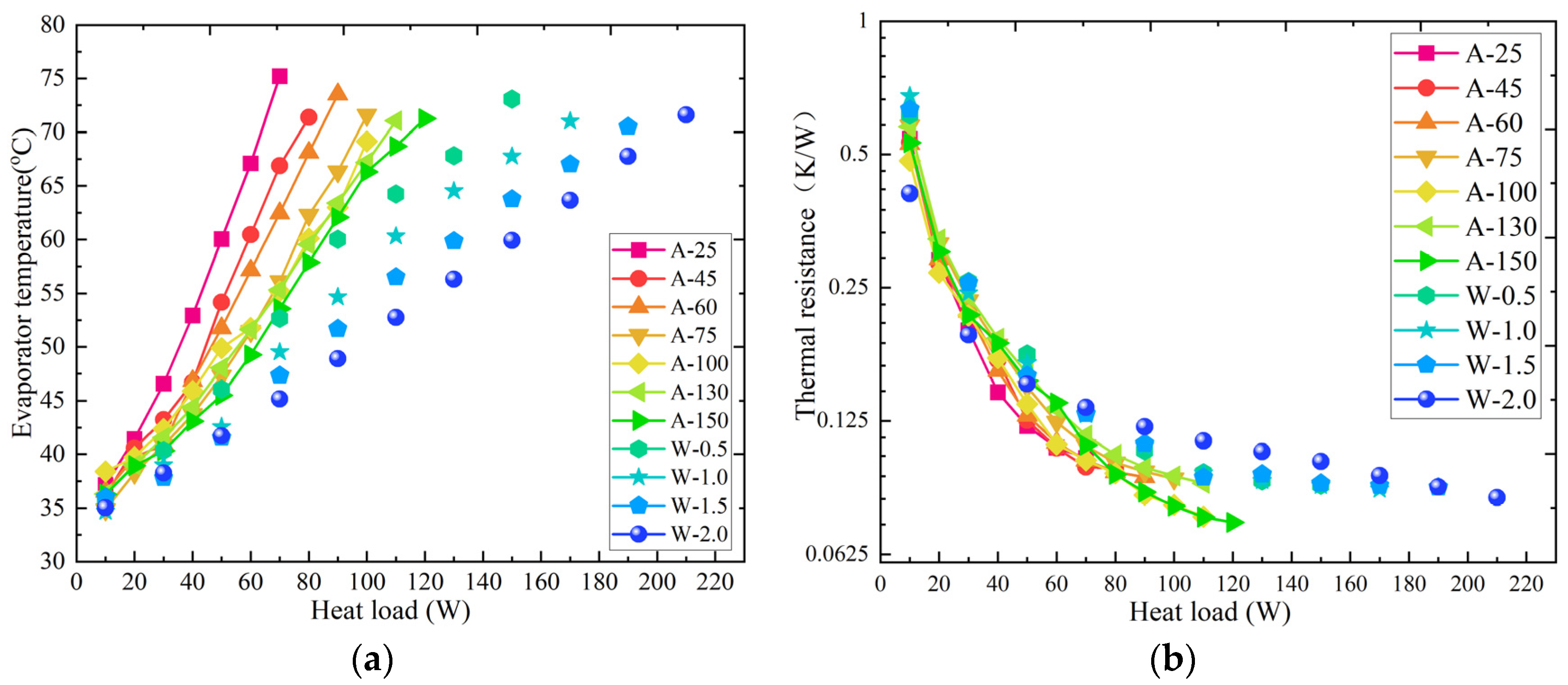
3.2. Effect of the Cooling Condition on the Thermal Performance
3.2.1. Effect of the Cooling Heat Transfer Coefficient
3.2.2. Differences between Air-Cooling and Water-Cooling
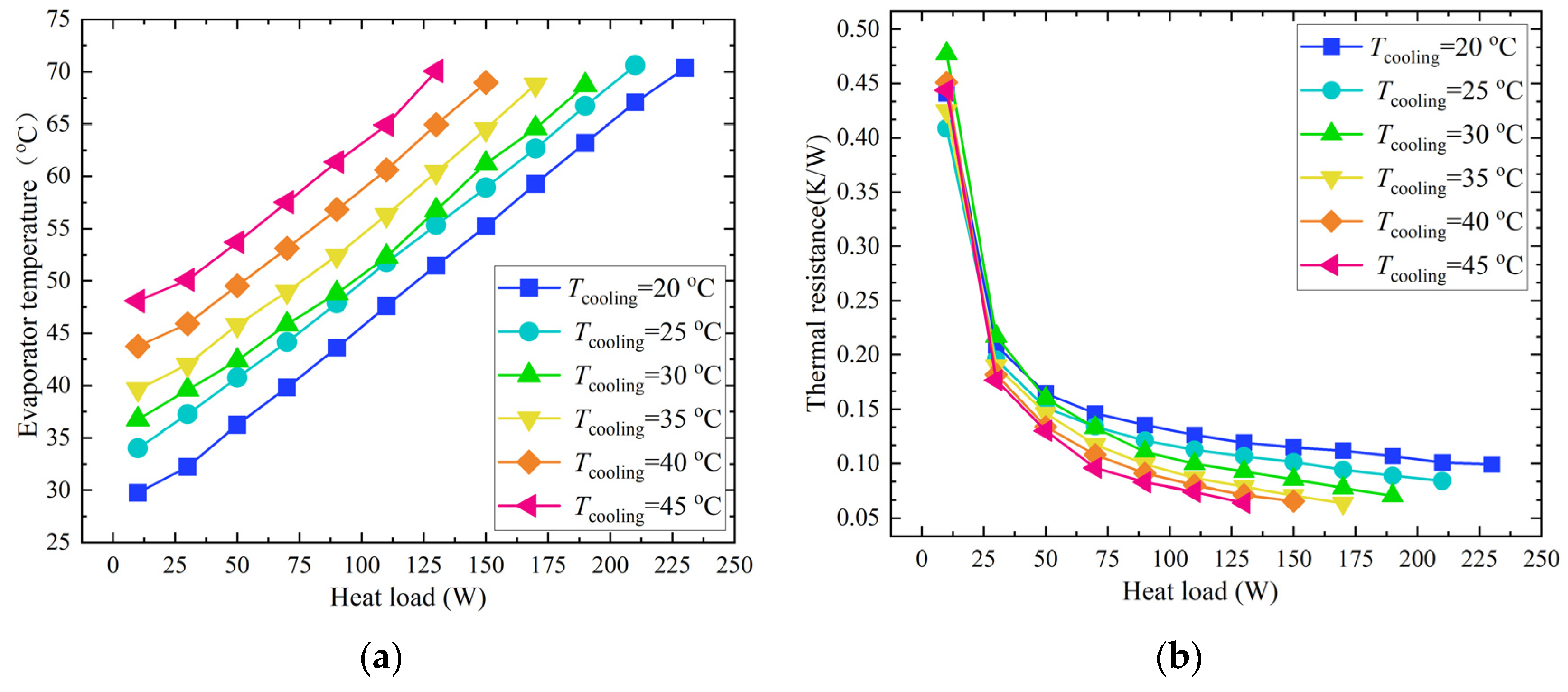
3.2.3. Effect of Water Cooling Temperature
4. Conclusions
- (1)
- When there is a height difference between the FLHP condenser and evaporator, it will facilitate the reflux of working fluid and improve the operating performance of the FLHP. The inclination angle of 20° is the critical point where the effect of gravity on the performance of the FLHP. Below this angle, the assisting effect of gravity is very significant. It can increase the heat load limit of the FLHP from 30 W at 0° to 120 W at 20°. After this critical point, the further increase of gravitational force becomes weaker to promote the circulation of the FLHP working fluid. At this time, it is not the driving force of the working fluid cycle that determines the working performance of the FLHP but the heat dissipation ability at the condenser of the FLHP. The difference in operating temperature of the FLHP after a 20° inclination angle is small.
- (2)
- The cooling heat transfer coefficient at the condenser of the FLHP is the key factor in determining the working performance of the FLHP. The equivalent heat transfer coefficients of the FLHP condenser under different cooling conditions were calculated. It is found that water cooling can provide higher cooling heat transfer coefficients with lower energy consumption and operating noise. In air cooling, the highest equivalent heat transfer coefficient of the FLHP condenser is 4657.73 W/m2·°C with energy consumption of 18 W and noise of 59 dB. In water cooling, the maximum equivalent heat transfer coefficient is 9623.20 W/m2·°C with energy consumption of 6 W and negligible noise. The maximum heat transfer capacity of FLHP increase linearly as the cooling heat transfer coefficient increases.
- (3)
- In addition to the difference in the heat transfer coefficient, water cooling can make the FLHP exhibit a more stable start-up performance and higher temperature uniformity than air cooling. Especially at lower cooling temperatures, there is still a temperature fluctuation of 1.5 °C after the FLHP is fully started under air-cooled conditions. However, water cooling is basically stable in the range of 0.3 °C. In terms of temperature uniformity, water cooling can ensure that the maximum temperature difference on the surface of the evaporator can be controlled within 0.5 °C under all working conditions, while it will exceed 1.5 °C for air cooling.
- (4)
- The factors that determine the heat dissipation on the condensing side of the FLHP mainly include the cooling heat transfer coefficient of the condenser and the temperature of the cooling medium. The heat transfer limit of the FLHP can be significantly increased by reducing the temperature of the cooling water. When the temperature of cooling water drops from 45 °C to 20 °C, the maximum heat transfer capacity of the FLHP increases from 130 W to 230 W. However, reducing the cooling temperature will always sacrifice the energy efficiency of the cooling system, and it is not conducive to the use of natural cooling sources. Therefore, in practical applications, it is necessary to select the most cost-effective cooling temperature based on the actual heating power of the heat source.
Author Contributions
Funding
Data Availability Statement
Conflicts of Interest
Nomenclature
| A | surface area (mm2) | Subscripts | |
| d | wire diameter (mm) | a | air |
| DC | direct current | c | condenser |
| h | height (mm) | e | evaporator |
| L | length (mm) | f | fin |
| m | mass filling of fluid (g) | hp | heat pipe |
| N | fin number | i | inner |
| Nu | Nusselt number | max | maximum |
| Pr | Prandtl number | min | minimum |
| Q | Volume flowrate (m3/h or L/min) | o | outer |
| r | radius (mm) | to | total |
| R | thermal resistance (K/W) | v | vapor |
| Re | Reynolds number | w | water |
| t | thickness (mm) | ||
| T | temperature (K, °C) | ||
| v | velocity (m/s) | ||
| W | width (mm) | ||
| Greek symbols | |||
| α | heat transfer coefficient (W/m2·°C) | ||
| η | fin surface efficiency (%) | ||
| δ | fin Spacing δ (mm) | ||
| ξ | net face ratio | ||
| ν | kinematic viscosity (m2/s) | ||
| λ | thermal conductivity (W/m·°C) | ||
References
- Ichinose, Y.; Hayashi, M.; Nomura, S.; Moser, B.; Hiekata, K. Sustainable Data Centers in Southeast Asia: Offshore, Nearshore, and Onshore Systems for Integrated Data and Power. Sustain. Cities Soc. 2022, 81, 103867. [Google Scholar] [CrossRef]
- Weissberger, A. Synergy Research Group: Hyperscale Data Center Count > 500 as of 3Q-2019. Available online: https://techblog.comsoc.org/2019/10/19/synergy-research-group-hyperscale-data-center-count-500-as-of-3q-2019/ (accessed on 19 October 2019).
- Andrae, A.S.G. Total Consumer Power Consumption Forecast. Available online: https://10times.com/nordic-digital-businesssummit (accessed on 1 October 2017).
- Shao, X.; Zhang, Z.; Song, P.; Feng, Y.; Wang, X. A review of energy efficiency evaluation metrics for data centers. Energy Build. 2022, 271, 112308. [Google Scholar] [CrossRef]
- Masanet, E.; Shehabi, A.; Lei, N.; Smith, S.; Koomey, J. Recalibrating global data center energy-use estimates. Science 2020, 367, 984–986. [Google Scholar] [CrossRef]
- Oró, E.; Taddeo, P.; Salom, J. Waste heat recovery from urban air cooled data centres to increase energy efficiency of district heating networks. Sustain. Cities Soc. 2019, 45, 522–542. [Google Scholar] [CrossRef]
- Davies, G.F.; Maidment, G.G.; Tozer, R.M. Using data centres for combined heating and cooling: An investigation for London. Appl. Therm. Eng. 2016, 94, 296–304. [Google Scholar] [CrossRef]
- Greenpeace. Potential Analysis on Energy Consumption of Data Centers and Renewable Energy in China 2019. Available online: https://www.greenpeace.org.cn/china-data-center-electricity-consumption-and-renewable-energy/ (accessed on 9 September 2019).
- Zhang, H.; Shao, S.; Xu, H.; Zou, H.; Tian, C. Free cooling of data centers: A review. Renew. Sustain. Energy Rev. 2014, 35, 171–182. [Google Scholar] [CrossRef]
- Lim, S.-Y.; Chang, H.-J. Airflow management analysis to suppress data center hot spots. Build. Environ. 2021, 197, 107843. [Google Scholar] [CrossRef]
- Zhang, Y.; Shan, K.; Li, X.; Li, H.; Wang, S. Research and Technologies for next-generation high-temperature data centers—State-of-the-arts and future perspectives. Renew. Sustain. Energy Rev. 2023, 171, 112991. [Google Scholar] [CrossRef]
- Sekiguchi, K.; Waragai, S.; Uekusa, T.; Yamasaki, K. Development of a High-Efficiency Air Cooled Packaged Air-Conditioner for Data Centers. ASHRAE Trans. 2010, 116, 330–335. [Google Scholar]
- Udagawa, Y.; DrEng, K.S.; DrEng, M.Y.; DrEng, T.U.; Naito, Y. Development of an outdoor air cooling-type air-cooled package air conditioner for data centers. ASHRAE Trans. 2013, 119, 167–175. [Google Scholar] [CrossRef]
- Joshi, Y.; Kumar, P. Energy Efficient Thermal Management of Data Centers; Springer Science & Business Media: Berlin/Heidelberg, Germany, 2012. [Google Scholar]
- Haghshenas, K.; Setz, B.; Bloch, Y.; Aiello, M. Enough Hot Air: The Role of Immersion Cooling. arXiv 2022, arXiv:2205.04257. [Google Scholar]
- Beghi, A.; Cecchinato, L.; Mana, G.D.; Lionello, M.; Rampazzo, M.; Sisti, E. Modelling and control of a free cooling system for Data Centers. Energy Procedia 2017, 140, 447–457. [Google Scholar] [CrossRef]
- Ko, J.-S.; Huh, J.-H.; Kim, J.-C. Improvement of Energy Efficiency and Control Performance of Cooling System Fan Applied to Industry 4.0 Data Center. Electronics 2019, 8, 582. [Google Scholar] [CrossRef]
- Saini, M.; Webb, R.L. Heat rejection limits of air cooled plane fin heat sinks for computer cooling. In Proceedings of the ITherm 2002. Eighth Intersociety Conference on Thermal and Thermomechanical Phenomena in Electronic Systems (Cat. No. 02CH37258), San Diego, CA, USA, 30 May–1 June 2002; pp. 1–8. [Google Scholar]
- Samadiani, E.; Joshi, Y.; Mistree, F. The Thermal Design of a Next Generation Data Center: A Conceptual Exposition. J. Electron. Packag. 2008, 130, 041104. [Google Scholar] [CrossRef]
- Fan, S.; Duan, F. A review of two-phase submerged boiling in thermal management of electronic cooling. Int. J. Heat Mass Transf. 2020, 150, 119324. [Google Scholar] [CrossRef]
- Ellsworth, M.J., Jr.; Goth, G.F.; Zoodsma, R.J.; Arvelo, A.; Campbell, L.A.; Anderl, W.J. An Overview of the IBM Power 775 Supercomputer Water Cooling System. J. Electron. Packag. 2012, 134, 020906. [Google Scholar] [CrossRef]
- Garimella, S.V.; Yeh, L.T.; Persoons, T. Thermal Management Challenges in Telecommunication Systems and Data Centers. IEEE Trans. Compon. Packag. Manuf. Technol. 2012, 2, 1307–1316. [Google Scholar] [CrossRef]
- Kadam, S.T.; Kumar, R. Twenty first century cooling solution: Microchannel heat sinks. Int. J. Therm. Sci. 2014, 85, 73–92. [Google Scholar] [CrossRef]
- Asadi, M.; Xie, G.; Sunden, B. A review of heat transfer and pressure drop characteristics of single and two-phase microchannels. Int. J. Heat Mass Transf. 2014, 79, 34–53. [Google Scholar] [CrossRef]
- Lee, Y.J.; Singh, P.K.; Lee, P.S. Fluid flow and heat transfer investigations on enhanced microchannel heat sink using oblique fins with parametric study. Int. J. Heat Mass Transf. 2015, 81, 325–336. [Google Scholar] [CrossRef]
- Dede, E.M.; Liu, Y. Experimental and numerical investigation of a multi-pass branching microchannel heat sink. Appl. Therm. Eng. 2013, 55, 51–60. [Google Scholar] [CrossRef]
- Habibi Khalaj, A.; Halgamuge, S.K. A Review on efficient thermal management of air- and liquid-cooled data centers: From chip to the cooling system. Appl. Energ. 2017, 205, 1165–1188. [Google Scholar] [CrossRef]
- Kang, D.; Lee, J.; Chakraborty, A.; Lee, S.-E.; Kim, G.; Yu, C. Recent Advances in Two-Phase Immersion Cooling with Surface Modifications for Thermal Management. Energies 2022, 15, 1214. [Google Scholar] [CrossRef]
- Wu, C.; Tong, W.; Kanbur, B.B.; Duan, F. Full-scale Two-phase Liquid Immersion Cooing Data Center System in Tropical Environment. In Proceedings of the 2019 18th IEEE Intersociety Conference on Thermal and Thermomechanical Phenomena in Electronic Systems (ITherm), Las Vegas, NV, USA, 28–31 May 2019; pp. 703–708. [Google Scholar]
- McGlen, R.J.; Jachuck, R.; Lin, S. Integrated thermal management techniques for high power electronic devices. Appl. Therm. Eng. 2004, 24, 1143–1156. [Google Scholar] [CrossRef]
- Yue, C.; Zhang, Q.; Zhai, Z.; Ling, L. Numerical investigation on thermal characteristics and flow distribution of a parallel micro-channel separate heat pipe in data center. Int. J. Refrig. 2019, 98, 150–160. [Google Scholar] [CrossRef]
- Tang, H.; Tang, Y.; Wan, Z.; Li, J.; Yuan, W.; Lu, L.; Li, Y.; Tang, K. Review of applications and developments of ultra-thin micro heat pipes for electronic cooling. Appl. Energ. 2018, 223, 383–400. [Google Scholar] [CrossRef]
- Sohel Murshed, S.M.; Nieto de Castro, C.A. A critical review of traditional and emerging techniques and fluids for electronics cooling. Renew. Sustain. Energy Rev. 2017, 78, 821–833. [Google Scholar] [CrossRef]
- Tang, Y.; Cao, J.; Wang, S. Experimental Research on Thermal Performance of Ultra-Thin Flattened Heat Pipes. J. Therm. Sci. 2022, 31, 2346–2362. [Google Scholar] [CrossRef]
- Tharayil, T.; Asirvatham, L.G.; Ravindran, V.; Wongwises, S. Thermal performance of miniature loop heat pipe with graphene–water nanofluid. Int. J. Heat Mass Transf. 2016, 93, 957–968. [Google Scholar] [CrossRef]
- Gai, D.; Liu, Z.; Liu, W.; Yang, J. Operational characteristics of miniature loop heat pipe with flat evaporator. Heat Mass Transf. 2009, 46, 267–275. [Google Scholar] [CrossRef]
- Zhou, G.; Li, J.; Jia, Z. Power-saving exploration for high-end ultra-slim laptop computers with miniature loop heat pipe cooling module. Appl. Energy 2019, 239, 859–875. [Google Scholar] [CrossRef]
- Zhang, Y.; Luan, T.; Jiang, H.; Liu, J. Visualization study on start-up characteristics of a loop heat pipe with a carbon fiber capillary wick. Int. J. Heat Mass Transf. 2021, 169, 120940. [Google Scholar] [CrossRef]
- Mo, D.; Zou, G.; Lu, S.; Zhang, L.W. A Flow Visualization Study on the Temperature Oscillations Inside a Loop Heat Pipe With Flat Evaporator. In Proceedings of the ASME 2013 International Technical Conference and Exhibition on Packaging and Integration of Electronic and Photonic Microsystems, Burlingame, CA, USA, 16–18 July 2013. [Google Scholar]
- Tang, Y.; Hong, S.; Wang, S.; Deng, D. Experimental study on thermal performances of ultra-thin flattened heat pipes. Int. J. Heat Mass Transf. 2019, 134, 884–894. [Google Scholar] [CrossRef]
- Holman, J.P. Heat Transfer; China Machine Press: Beijing, China, 2011. [Google Scholar]











| Parameters | Value | Parameters | Value |
|---|---|---|---|
| Evaporator size (mm) | 60 × 60 × 5 | Condenser length L (mm) | 80 |
| Loop pipe outer diameter do (mm) | 4.0 | Condenser external surface area Ahp (mm2) | 1.0048 |
| Loop tube inner diameter di (mm) | 3.6 | Mass filling of working fluid m (g) | 4.0 |
| Parameters | Value | Parameters | Value |
|---|---|---|---|
| Air module length La (mm) | 80 | Net face ratio ξ | 0.63 |
| Air module width Wa (mm) | 80 | Wall area between the fins A1 (mm2) | 0.004032 |
| Air module thickness ta (mm) | 5 | Fin surface area A2 (mm2) | 0.0504 |
| Fin thickness tf (mm) | 0.9 | Total area Ato (mm2) | 0.054432 |
| Fin spacing δ (mm) | 2.4 | Air-specific temperature Ta (°C) | 25 |
| Number of fins N | 21 | Air thermal conductivity λa (W/m·°C) | 0.02622 |
| Fin height hf (mm) | 30 | Fin thermal conductivity λf (W/m·°C) | 205 |
| Air Prandtl number Pra | 0.7 | Air kinematic viscosity νa (m2/s) | 1.54 × 10−5 |
| Parameters | Value | Parameters | Value |
|---|---|---|---|
| Water module length Lw (mm) | 80 | Liquid channel internal surface area of Aw (mm2) | 0.011 |
| Water module width Ww (mm) | 80 | Module thermal conductivity λm (W/m·°C) | 205 |
| Water module thickness Tw (mm) | 15 | Cooling water specific temperature tw (°C) | 25 |
| Liquid channel inner diameter dwi (mm) | 8 | Cooling water kinematic viscosity νw (m2/s) | 1.006 × 10−6 |
| Liquid channel cross-sectional area Across (mm2) | 5.02 × 10−5 | Cooling water thermal conductivity of λw (W/m·°C) | 0.599 |
| Liquid channel total length Lwt (mm) | 434 | Cooling water Prandtl number water Prw | 7.02 |
| Case | Air Flow Rate Qa (CMH) | Air Velocity va (m/s) | Air-Cooling Heat Transfer Coefficient αa (W/m2·°C) | Equivalent Heat Transfer Coefficient of the FLHP Condenser αhp (W/m2·°C) |
|---|---|---|---|---|
| A-25 | 25 | 0.8 | 22.73 | 1195.43 |
| A-45 | 45 | 1.5 | 40.61 | 2087.89 |
| A-60 | 60 | 2.0 | 51.28 | 2601.66 |
| A-75 | 75 | 2.5 | 60.77 | 3047.35 |
| A-100 | 100 | 3.3 | 74.17 | 3659.33 |
| A-130 | 130 | 4.2 | 85.13 | 4145.39 |
| A-150 | 150 | 5.0 | 97 | 4657.73 |
| Water flow rate Qw (L/min) | Water velocity vw (m/s) | Water-cooling heat transfer coefficient αw (W/m2·°C) | ||
| W-0.5 | 0.5 | 0.17 | 1243.18 | 6475.75 |
| W-1.0 | 1.0 | 0.33 | 2164.50 | 8344.64 |
| W-1.5 | 1.5 | 0.50 | 2993.85 | 9353.67 |
| W-2.0 | 2.0 | 0.67 | 3285.43 | 9623.20 |
Disclaimer/Publisher’s Note: The statements, opinions and data contained in all publications are solely those of the individual author(s) and contributor(s) and not of MDPI and/or the editor(s). MDPI and/or the editor(s) disclaim responsibility for any injury to people or property resulting from any ideas, methods, instructions or products referred to in the content. |
© 2023 by the authors. Licensee MDPI, Basel, Switzerland. This article is an open access article distributed under the terms and conditions of the Creative Commons Attribution (CC BY) license (https://creativecommons.org/licenses/by/4.0/).
Share and Cite
Tang, Y.; Zhang, X.; Liu, Z. Experimental Study on the Thermal Performance of Flat Loop Heat Pipe Applied in Data Center Cooling. Energies 2023, 16, 4677. https://doi.org/10.3390/en16124677
Tang Y, Zhang X, Liu Z. Experimental Study on the Thermal Performance of Flat Loop Heat Pipe Applied in Data Center Cooling. Energies. 2023; 16(12):4677. https://doi.org/10.3390/en16124677
Chicago/Turabian StyleTang, Yongle, Xuewei Zhang, and Zhichun Liu. 2023. "Experimental Study on the Thermal Performance of Flat Loop Heat Pipe Applied in Data Center Cooling" Energies 16, no. 12: 4677. https://doi.org/10.3390/en16124677
APA StyleTang, Y., Zhang, X., & Liu, Z. (2023). Experimental Study on the Thermal Performance of Flat Loop Heat Pipe Applied in Data Center Cooling. Energies, 16(12), 4677. https://doi.org/10.3390/en16124677

