Thermal Analysis of Magneto-Natural Convection Flows within a Partially Thermally Active Rectangular Enclosure
Abstract
:1. Introduction
2. Mathematical Formulation
2.1. Problem Description
2.2. Governing Equations
2.3. Thermophysical Properties
2.4. Non-Dimensional Form
2.5. Boundary Conditions
2.6. Nusselt Number
2.7. Numerical Scheme and Code Validation
3. Results and Discussion
3.1. Analysis of Flow Fields
3.2. Analysis of Temperature Fields
3.3. Combined Effect of , and on Heat Transfer Rate
3.4. Influence of Magnetic Field Inclination Angle on Heat Transfer Rate
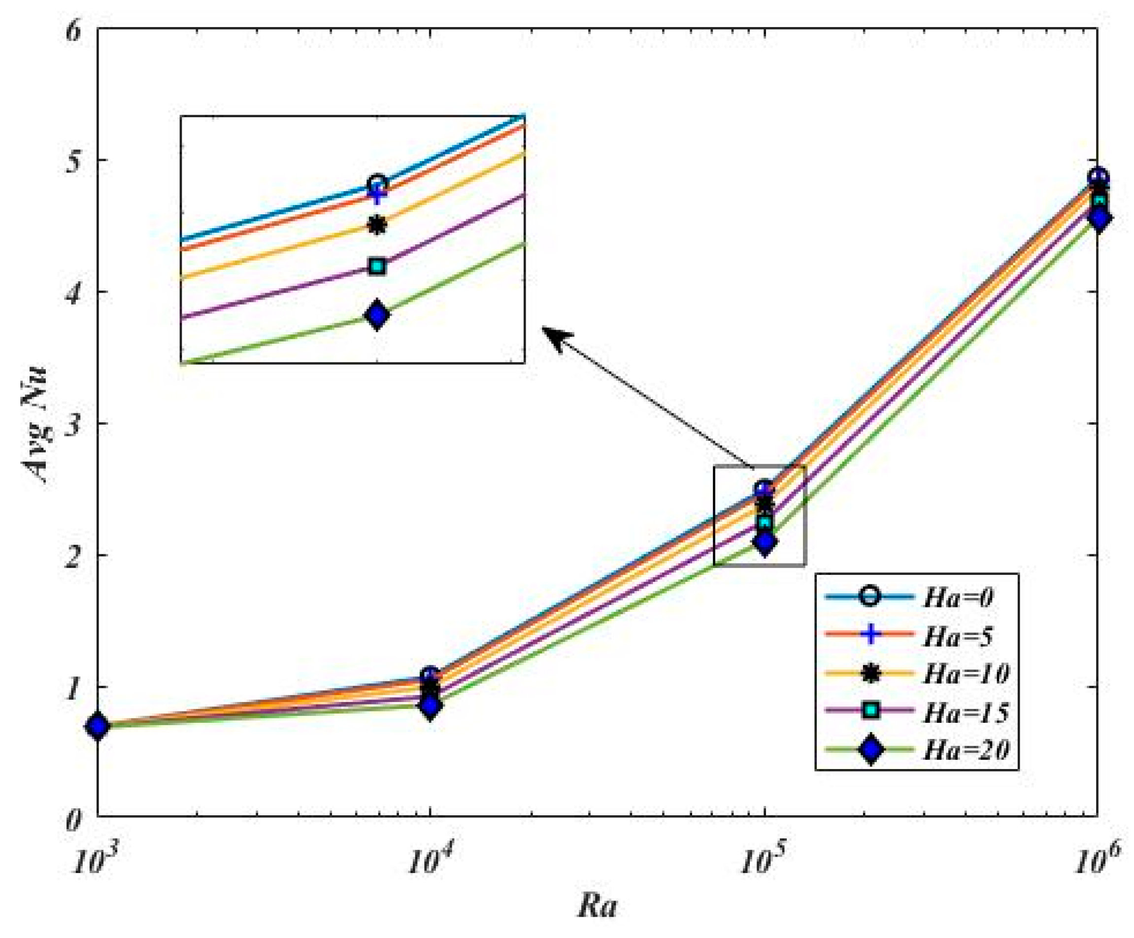
3.5. Effect of Hartmann Number on Heat Transfer Rate
3.6. Influence of Rayleigh Number on Heat Transfer Performance
3.7. Influence of Hartmann Number on Velocity Profile
3.8. Influence of Rayleigh Number on the Velocity Profile
3.9. Impact of Internal Heat Generation
3.10. Comparison among Different Nanofluids
4. Conclusions
- ➢
- The streamlines are concentrated on active sections of the vertical walls, and isotherms are distorted for higher values due to the dominant convection effects in the enclosure.
- ➢
- The rate of heat transport inside the enclosure is affected by flow parameters including and .
- ➢
- The decreases with increasing and at larger values. Rayleigh numbers play a significant role in controlling flow characteristics in natural convection due to stronger buoyancy effects.
- ➢
- At higher values, shows a decreasing trend with high due to the dominant Lorentz force.
- ➢
- The rate of heat transfer was found to be most significantly reduced when the magnetic field was directed horizontally.
- ➢
- Increasing the value of , the rate of heat transmission at the hot wall decreases for all values, while it increases close to the cold wall.
Author Contributions
Funding
Conflicts of Interest
Nomenclature
| aspect ratio | Greek symbols | ||
| Specific heat at constant pressure ( | |||
| magnetic field | thermal diffusivity () | ||
| acceleration due to gravity ( | coefficient of thermal expansion ( | ||
| Rayleigh Number | dynamic viscosity | ||
| Hartmann number | kinematic viscosity () | ||
| local Nusselt number | density (kg | ||
| average Nusselt number | electrical conductivity | ||
| pressure (N | nanoparticle volume fraction | ||
| Prandtl number | inclination angle | ||
| thermal conductivity (W | temperature (°C) | ||
| dimensionless temperature | heat generation coefficient | ||
| velocity components (m) | |||
| dimensionless velocity components | cold | ||
| dimensional coordinates (m) | h | hot | |
| dimensionless coordinates | ternary hybrid nanofluid | ||
| dimensional time (s) | base fluid | ||
References
- Ostrach, S. Natural convection in enclosures. J. Heat Transf. 1988, 110, 1175–1190. [Google Scholar] [CrossRef]
- Ozoe, H.; Okada, K. The effect of the direction of the external magnetic field on the three-dimensional natural convection in a cubical enclosure. Int. J. Heat Mass Transf. 1989, 32, 1939–1954. [Google Scholar] [CrossRef]
- Garandet, J.P.; Alboussiere, T.; Moreau, R. Buoyancy driven convection in a rectangular enclosure with a transverse magnetic field. Int. J. Heat Mass Transf. 1992, 35, 741–748. [Google Scholar] [CrossRef]
- Venkatachalappa, M.; Subbaraya, C.K. Natural convection in a rectangular enclosure in the presence of a magnetic field with uniform heat flux from the side walls. Acta Mech. 1993, 96, 13–26. [Google Scholar] [CrossRef]
- Alchaar, S.; Vasseur, P.; Bilgen, E. Natural Convection Heat Transfer in a Rectangular Enclosure with a Transverse Magnetic Field. J. Heat Transf. 1995, 117, 668–673. [Google Scholar] [CrossRef]
- Ece, M.C.; Büyük, E. Natural-convection flow under a magnetic field in an inclined rectangular enclosure heated and cooled on adjacent walls. Fluid Dyn. Res. 2006, 38, 564–590. [Google Scholar] [CrossRef]
- Aydin, O.; Yesiloz, G. Natural Convection in a Quadrantal Cavity Heated and Cooled on Adjacent Walls. J. Heat Transf. 2011, 133, 052501. [Google Scholar] [CrossRef]
- Sathiyamoorthy, M.; Chamkha, A. Effect of magnetic field on natural convection flow in a liquid gallium filled square cavi-ty for linearly heated side wall(s). Int. J. Therm. Sci. 2010, 49, 1856–1865. [Google Scholar] [CrossRef]
- Rudraiah, N.; Barron, R.M.; Venkatachalappa, M.; Subbaraya, C.K. Effect of a magnetic field on free convection in a rectangu-lar enclosure. Int. J. Eng. Soc. 1995, 33, 1075–1084. [Google Scholar] [CrossRef]
- Choi, S.U.; Eastman, J.A. Enhancing Thermal Conductivity of Fluids with Nanoparticles; Argonne National Lab: Argonne, IL, USA, 1995.
- Nnanna, A.G.A. Experimental Model of Temperature-Driven Nanofluid. J. Heat Transf. 2006, 129, 697–704. [Google Scholar] [CrossRef]
- Oztop, H.F.; Abu-Nada, E. Numerical study of natural convection in partially heated rectangular enclosures filled with nanofluids. Int. J. Heat Fluid Flow 2008, 29, 1326–1336. [Google Scholar] [CrossRef]
- Aminossadati, S.M.; Ghasemi, B. Natural convection cooling of a localized heat source at the bottom of a nanofluid-filled enclosure. Eur. J. Mech.-B Fluids 2009, 28, 630–640. [Google Scholar] [CrossRef]
- Boroomandpour, A.; Toghraie, D.; Hashemian, M. A comprehensive experimental investigation of thermal con-ductivity of a ternary hybrid nanofluid containing MWCNTs-titania-zinc oxide/water-ethylene glycol (80:20) as well as bi-nary and mono nanofluids. Synth. Met. 2020, 268, 116501. [Google Scholar] [CrossRef]
- Rizvi, S.M.M.; El Far, B.; Shin, D. Heat capacity and viscosity of ternary carbonate nanofluids. Int. J. Energy Res. 2021, 45, 6350–6359. [Google Scholar] [CrossRef]
- Raisi, A.; Ghasemi, B.; Aminossadati, S.M. Magnetic field effect on natural convection in a nanofluid-filled square enclosure. Int. J. Therm. Sci. 2011, 50, 1748–1756. [Google Scholar] [CrossRef]
- Kahveci, K.; Öztuna, S. MHD natural convection flow and heat transfer in a laterally heated partitioned enclosure. Eur. J. Mech. E B Fluids 2009, 28, 744–752. [Google Scholar] [CrossRef]
- Kandaswamy, P.; Sundari, S.M.; Nithyadevi, N. Magnetoconvection in an enclosure with partially active vertical walls. Int. J. Heat Mass Transf. 2008, 51, 1946–1954. [Google Scholar] [CrossRef]
- Mahmoudi, A.; Mejri, I.; Abbassi, M.A.; Omri, A. Analysis of the entropy generation in a nanofluid-filled cavity in the presence of magnetic field and uniform heat generation/absorption. J. Mol. Liq. 2014, 198, 63–77. [Google Scholar] [CrossRef]
- Shao, Y.; Nayak, M.K.; Dogonchi, A.S.; Chamkha, A.J.; Elmasry, Y.; Galal, A.M. Ternary hybrid nanofluid natural convection within a porous prismatic enclosure with two movable hot baffles: An approach to effective cooling. Case Stud. Therm. Eng. 2022, 40, 102507. [Google Scholar] [CrossRef]
- Sahoo, R.R. Thermo-hydraulic characteristics of radiator with various shape nanoparticle-based ternary hybrid nanofluid. Powder Technol. 2020, 370, 19–28. [Google Scholar] [CrossRef]
- Dutta, S.; Pati, S.; Baranyi, L. Numerical analysis of magnetohydrodynamic natural convection in a nanofluid filled quadrantal enclosure. Case Stud. Therm. Eng. 2021, 28, 101507. [Google Scholar] [CrossRef]

















| Property | Water | Al2O3 | Graphene | CNT |
|---|---|---|---|---|
| k (W/(m K)) | 0.613 | 40 | 5000 | 3007.4 |
| 997.1 | 3970 | 2200 | 2100 | |
| 2.1 × 10−4 | 5.80 × 10−6 | −0.000008 | 0.00002 | |
| Cp (J/(kg K)) | 4179 | 765 | 790 | 410 |
| μ (kg/(ms)) | 8.91 × 10−5 | - | ||
| Shape | - | spherical | platelet | cylindrical |
| RL | #Elements | #DOF | Avg Nu | % Error |
|---|---|---|---|---|
| Normal | 2088 | 5044 | 2.3759 | 0.88 |
| Fine | 3592 | 8268 | 2.3972 | 2.20 |
| Finer | 8972 | 20,288 | 2.4510 | 1.45 |
| Extra Fine | 22,644 | 49,792 | 2.4872 | 0.004 |
| Extremely Fine | 37,430 | 79,364 | 2.4871 | - |
| Ha | |||
|---|---|---|---|
| S. Dutta et al. [22] | Present Work | Relative Difference % | |
| 0 | 4.945 | 4.9033 | 0.84 |
| 20 | 4.273 | 4.1749 | 2.30 |
| 40 | 4.029 | 3.9726 | 1.40 |
| 60 | 4.000 | 3.9544 | 1.14 |
| 80 | 3.995 | 3.9510 | 1.10 |
| 100 | 3.993 | 3.9501 | 1.07 |
| 0.01 | 0 | 0.64429 | 1.3910 | 2.9575 | 5.5226 |
| 5 | 0.63117 | 1.3379 | 2.9104 | 5.4951 | |
| 10 | 0.60855 | 1.2098 | 2.7823 | 5.4154 | |
| 15 | 0.59313 | 1.0620 | 2.6022 | 5.2904 | |
| 20 | 0.58521 | 0.92965 | 2.3989 | 5.1294 | |
| 0.03 | 0 | 0.65537 | 1.2182 | 2.7273 | 5.1881 |
| 5 | 0.65117 | 1.1823 | 2.6887 | 5.1642 | |
| 10 | 0.64316 | 1.0930 | 2.5823 | 5.0947 | |
| 15 | 0.63686 | 0.98583 | 2.4303 | 4.9853 | |
| 20 | 0.63312 | 0.88758 | 2.2557 | 4.8439 | |
| 0.05 | 0 | 0.69215 | 1.0678 | 2.4871 | 4.8571 |
| 5 | 0.69097 | 1.0456 | 2.4562 | 4.8364 | |
| 10 | 0.68846 | 0.98914 | 2.3702 | 4.7760 | |
| 15 | 0.68615 | 0.91960 | 2.2450 | 4.6807 | |
| 20 | 0.68456 | 0.85474 | 2.0986 | 4.5570 |
Disclaimer/Publisher’s Note: The statements, opinions and data contained in all publications are solely those of the individual author(s) and contributor(s) and not of MDPI and/or the editor(s). MDPI and/or the editor(s) disclaim responsibility for any injury to people or property resulting from any ideas, methods, instructions or products referred to in the content. |
© 2023 by the authors. Licensee MDPI, Basel, Switzerland. This article is an open access article distributed under the terms and conditions of the Creative Commons Attribution (CC BY) license (https://creativecommons.org/licenses/by/4.0/).
Share and Cite
Saha, S.C.; Islam, S.u.; Zia, Z.; Saleem, M.; Ahmad, S. Thermal Analysis of Magneto-Natural Convection Flows within a Partially Thermally Active Rectangular Enclosure. Energies 2023, 16, 4462. https://doi.org/10.3390/en16114462
Saha SC, Islam Su, Zia Z, Saleem M, Ahmad S. Thermal Analysis of Magneto-Natural Convection Flows within a Partially Thermally Active Rectangular Enclosure. Energies. 2023; 16(11):4462. https://doi.org/10.3390/en16114462
Chicago/Turabian StyleSaha, Suvash C., Shams ul Islam, Zahida Zia, M. Saleem, and Shafee Ahmad. 2023. "Thermal Analysis of Magneto-Natural Convection Flows within a Partially Thermally Active Rectangular Enclosure" Energies 16, no. 11: 4462. https://doi.org/10.3390/en16114462
APA StyleSaha, S. C., Islam, S. u., Zia, Z., Saleem, M., & Ahmad, S. (2023). Thermal Analysis of Magneto-Natural Convection Flows within a Partially Thermally Active Rectangular Enclosure. Energies, 16(11), 4462. https://doi.org/10.3390/en16114462

