Electro-Mechanical Modeling and Evaluation of Electric Load Haul Dump Based on Field Measurements
Abstract
1. Introduction
2. Methods
Study Case
3. Full-Electric LHD Model
3.1. LHD Load Model
3.1.1. Inertial Components
3.1.2. Load Torque
3.2. Electric LHD Model
4. Electric LHD Model Based on Field Records
4.1. Signal Conditioning of Field Records
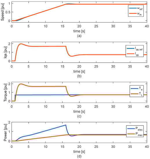
4.2. Evaluation of Electric LHD Model
5. Conclusions
Author Contributions
Funding
Data Availability Statement
Conflicts of Interest
References
- Flores, G. Future challenges and why cave mining must change. In 3rd International Symposium on Block and Sublevel Caving; Castro, R., Ed.; Universidad de Chile: Santiago, Chile, 2014; pp. 23–52. [Google Scholar]
- Salama, A.; Greberg, J.; Skawina, B.; Gustafson, A. Analyzing energy consumption and gas emissions of loading equipment in underground mining. CIM J. 2015, 6, 179–188. [Google Scholar] [CrossRef]
- Halim, A.; Lööw, J.; Johansson, J.; Gustafsson, J.; van Wageningen, A.; Kocsis, K. Improvement of Working Conditions and Opinions of Mine Workers When Battery Electric Vehicles (BEVs) Are Used Instead of Diesel Machines—Results of Field Trial at the Kittilä Mine, Finland. Min. Metall. Explor. 2022, 39, 203–219. [Google Scholar] [CrossRef]
- Varaschin, J.; De Souza, E. Economics of diesel fleet replacement by electric mining equipment. In Proceedings of the 15th North American Mine Ventilation Symposium, Blacksburg, VA, USA, 20–25 June 2015; Volume 8. [Google Scholar]
- Tuck, M. Mine Ventilation. In SME Mining Engineering Handbook, 3rd ed.; Darling, P., Ed.; SME: Plymouth, MA, USA, 2011; pp. 1577–1594. [Google Scholar]
- Michael, D.A.; Patricia, L.S.; Jay, H.L.; Aaron, B.; Patricia, A.S.; Roel, V.; Joseph, B.C.; Debra, T.S. The Diesel Exhaust in Miners Study: A Cohort Mortality Study with Emphasis on Lung Cancer. J. Natl. Cancer Inst. 2012, 104, 869–883. [Google Scholar] [CrossRef]
- Jacobs, W.; Hodkiewicz, M.R.; Bräunl, T. A cost–benefit analysis of electric loaders to reduce diesel emissions in underground hard rock mines. IEEE Trans. Ind. Appl. 2014, 51, 2565–2573. [Google Scholar] [CrossRef]
- Gleeson, D. Komatsu brings hybrid drive, narrow vein LHDs to Australian hard-rock market. Int. Min. 2021, 129, 120–134. [Google Scholar] [CrossRef]
- Epiroc. Scooptram ST7 Battery. 8. 2022. Available online: https://www.epiroc.com/es-es/products/loaders-and-trucks/electric-loaders/scooptram-st7-battery (accessed on 15 March 2023).
- Fiscor, S.; Jensen, J. The Best of MINExpo 2021. Eng. Min. 2021, 222, 42–53. Available online: https://www.proquest.com/docview/2604092726?pq-origsite=gscholar&fromopenview=true (accessed on 15 March 2023).
- Sandvik. Sandvik LH518B—Battery Electric Loader. 8. 2021. Available online: https://www.rocktechnology.sandvik/en/products/underground-loaders-and-trucks/battery-electric-loaders-and-trucks/lh518b-battery-electric-loader/ (accessed on 15 March 2023).
- Nieto, A.; Schatz, R.; Dogruoz, C. Performance analysis of electric and diesel equipment for battery replacement of tethered LHD vehicles in underground mining. Min. Technol. 2020, 129, 22–29. [Google Scholar] [CrossRef]
- Grycan, W. Electric Vehicles in Mining for the Aspect of Operational Safety. Prz. Elektrotechniczny 2022, 110–113. [Google Scholar] [CrossRef]
- Katta, A.K.; Davis, M.; Kumar, A. Assessment of greenhouse gas mitigation options for the iron, gold, and potash mining sectors. J. Clean. Prod. 2020, 245, 118718. [Google Scholar] [CrossRef]
- Rojas, G. Introducción de un LHD Híbrido a la Industria Minera y sus Posibilidades en el Mercado Chileno. Bachelor’s Thesis, Universidad de Chile, Santiago, Chile, 2017. [Google Scholar]
- Wolff, J.; Gómez, G. The Switched Reluctance Motor—An electric motor with high torque and small volume. Energía 1997, 4, 113–115. (In Spanish) [Google Scholar]
- Schultz, J.W.; Huard, S. Comparing AC Induction with Permanent Magnet Motors in Hybrid Vehicles and the Impact on the Value Proposition; Parker Hannifin Corporation: Cleveland, OH, USA, 2013. [Google Scholar]
- Hamouda, M.; Al-Amyal, F.; Odinaev, I.; Ibrahim, M.; Számel, L. A Novel Universal Torque Control of Switched Reluctance Motors for Electric Vehicles. Mathematics 2022, 10, 3833. [Google Scholar] [CrossRef]
- Krause, P.C.; Wasynczuk, O.S.; Sudhoff, D. Analysis of Electric Machinery and Drive Systems; John Wiley & Sons: Hoboken, NJ, USA, 2002. [Google Scholar]
- Ramirez, G. Control of Electric Drives; Universidad Católica de la Santísima Concepción: Concepción, Chile, 2017. (In Spanish) [Google Scholar]
- Valenzuela-Cruzat, J.; Valenzuela, M.A. Integrated Modeling and Evaluation of Electric Mining Trucks During Propel and Retarding Modes. IEEE Trans. Ind. Appl. 2018, 54, 6586–6597. [Google Scholar] [CrossRef]
- Meng, Y.; Fang, H.; Liang, G.; Gu, Q.; Liu, L. Bucket Trajectory Optimization under the Automatic Scooping of LHD. Energies 2019, 12, 3919. [Google Scholar] [CrossRef]
- Ramírez, G.; Valenzuela, M.A.; Pittman, S.; Lorenz, R.D. Modeling and Evaluation of Paper Machine Coater Sections Part 1: 1-Coater Section and Tension Setpoints. IEEE Trans. Ind. Appl. 2019, 55, 2144–2154. [Google Scholar] [CrossRef]
- Gillespie, T. Fundamentals of Vehicle Dynamics; SAE International: Warrendale, PA, USA, 2021. [Google Scholar]
- Sanvik. Optime Monitoring. 2022. Available online: https://www.rocktechnology.sandvik/optimine (accessed on 15 March 2023).
- Wicaksana, Y.; Widodo, N.P.; Kramadibrata, S.; Kresna, R. Determining rolling resistance coefficient on hauling road using dump-truck in open pit coal mine. In Proceedings of the International Symposium on Earth Science and Technology, Fukuoka, Japan, 6–7 December 2011. [Google Scholar]
- Lee, K.; Frank, S.; Sen, P.K.; Polese, L.G.; Alahmad, M.; Waters, C. Estimation of induction motor equivalent circuit parameters from nameplate data. In Proceedings of the 2012 North American Power Symposium (NAPS), Champaign, IL, USA, 9–11 September 2012; pp. 1–6. [Google Scholar]
- Břoušek, J.; Zvolský, T. Experimental study of electric vehicle gearbox efficiency. In MATEC Web of Conferences; EDP Sciences: Les Ulis, France, 2018; Volume 234, p. 02004. [Google Scholar]










| LHD Parameters | Value | Unit |
|---|---|---|
| Engine power | 275 | kW |
| Engine torque | 1905 | Nm |
| Engine speed | 2100 | rpm |
| LHD velocity | 15 | Km/h |
| LHD Parameters | Value | Unit |
|---|---|---|
| Load Capacity | 14 | t |
| Load LHD weight | 52.5 | t |
| Power of traction motor | 132 | kW |
| Power of hydraulic pump | 45 | kW |
| Power of ventilation system | 3 | kW |
| Total power | 180 | kW |
| Tire | 25.5 × 25 L5S 36-ply | |
| Gears | 4 |
| Parameter | Value | Unit |
|---|---|---|
| ρa | 1.2038 | kg/m3 |
| va | 1.3667 | m/s |
| Cdrag | 1.95 | - |
| urr | 0.03 | - |
| ALHD | 7.3729 | m2 |
| g | 9.81 | m/s2 |
| θroad | 0 | % |
| Parameter | Value | Unit |
|---|---|---|
| Power | 132 | kW |
| Voltage | 1 | kV |
| Rotation speed | 1470 | rpm |
| Stator resistance | 0.229 | Ω |
| Stator reactance | 0.4885 | Ω |
| Rotor resistance | 0.1255 | Ω |
| Rotor reactance | 1.1399 | Ω |
| Magnetizing reactance | 25.8843 | Ω |
| Motor inertia | 1.23 | kgm2 |
| Number of poles | 4 | - |
Disclaimer/Publisher’s Note: The statements, opinions and data contained in all publications are solely those of the individual author(s) and contributor(s) and not of MDPI and/or the editor(s). MDPI and/or the editor(s) disclaim responsibility for any injury to people or property resulting from any ideas, methods, instructions or products referred to in the content. |
© 2023 by the authors. Licensee MDPI, Basel, Switzerland. This article is an open access article distributed under the terms and conditions of the Creative Commons Attribution (CC BY) license (https://creativecommons.org/licenses/by/4.0/).
Share and Cite
Freire, G.; Ramirez, G.; Gómez, R.; Skrzypkowski, K.; Zagórski, K. Electro-Mechanical Modeling and Evaluation of Electric Load Haul Dump Based on Field Measurements. Energies 2023, 16, 4399. https://doi.org/10.3390/en16114399
Freire G, Ramirez G, Gómez R, Skrzypkowski K, Zagórski K. Electro-Mechanical Modeling and Evaluation of Electric Load Haul Dump Based on Field Measurements. Energies. 2023; 16(11):4399. https://doi.org/10.3390/en16114399
Chicago/Turabian StyleFreire, Gabriel, Guillermo Ramirez, René Gómez, Krzysztof Skrzypkowski, and Krzysztof Zagórski. 2023. "Electro-Mechanical Modeling and Evaluation of Electric Load Haul Dump Based on Field Measurements" Energies 16, no. 11: 4399. https://doi.org/10.3390/en16114399
APA StyleFreire, G., Ramirez, G., Gómez, R., Skrzypkowski, K., & Zagórski, K. (2023). Electro-Mechanical Modeling and Evaluation of Electric Load Haul Dump Based on Field Measurements. Energies, 16(11), 4399. https://doi.org/10.3390/en16114399

