Heat Transfer and Reaction Characteristics of Steam Methane Reforming in a Novel Composite Packed Bed Microreactor for Distributed Hydrogen Production
Abstract
1. Introduction
2. Structure of a Multi-Channel Microreactor
3. Mathematical Model
3.1. Govern Equations and Reactions Kinetic
3.2. Boundary Conditions
3.3. Computational Mesh and Model Validation
4. Results and Discussion
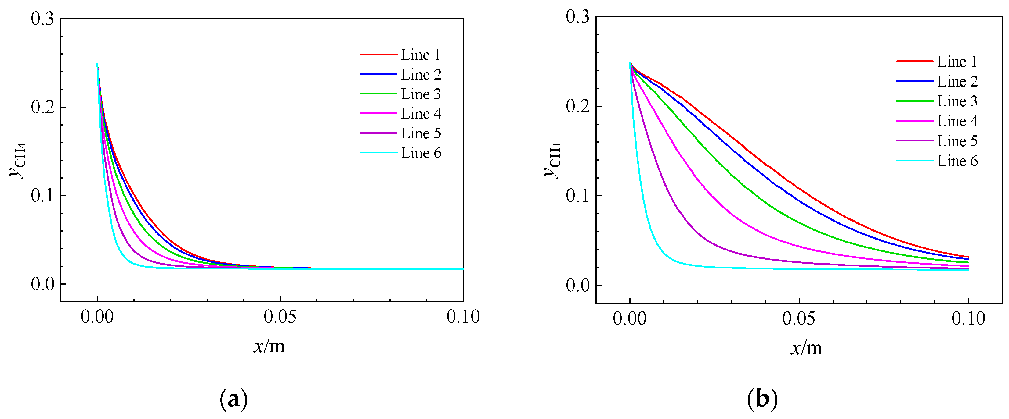
4.1. Heat Transfer Enhancement of the Novel Structure
4.2. Effect of Operating Parameters on Reaction Performance
4.3. Effect of Thermal Conductivity of Skeleton Materials on Reaction Performance
5. Conclusions
- Compared to the traditional randomly packed bed, the presence of a heat conductive skeleton in the composite particle packed bed can enhance heat transfer, improve the radial heat transfer performance of the reactor, and is expected to improve the kinetic performance of the reactor.
- Temperature in the composite particle packed bed is an important factor that affects both the methane conversion rate and the hydrogen yield. The results of sensitivity analysis using sensitivity factors reveal that changes in the wall temperature can maximize reaction performance, while the inlet velocity and temperature have a similar and smaller impact.
- The higher the wall temperature, the smaller the influence of the thermal conductivity of the skeleton material on the reactor performance. When external heat sources provide wall temperatures above 1200 K, selecting cordierite, which has a low thermal conductivity, but also a low cost, as the skeleton material of the composite particle packed bed can greatly reduce the manufacturing cost of the reactor.
Author Contributions
Funding
Data Availability Statement
Conflicts of Interest
References
- Yan, P.; Cheng, Y. Design and operational considerations of packed-bed membrane reactor for distributed hydrogen production by methane steam reforming. Int. J. Hydrogen Energy 2022, 47, 36493–36503. [Google Scholar] [CrossRef]
- Tashie-Lewis, B.C.; Nnabuife, S.G. Hydrogen production, distribution, storage and power conversion in a hydrogen economy—A technology review. Chem. Eng. J. Adv. 2021, 8, 100172. [Google Scholar] [CrossRef]
- Park, K.; Koo, J. Optimal design of the distributed H2 production system with cost and safety considerations. Int. J. Hydrogen Energy 2020, 45, 34316–34325. [Google Scholar] [CrossRef]
- Rasul, M.G.; Hazrat, M.A.; Sattar, M.A.; Jahirul, M.I.; Shearer, M.J. The future of hydrogen: Challenges on production, storage and applications. Energy Convers. Manag. 2022, 272, 116326. [Google Scholar] [CrossRef]
- Huang, X.; Lv, Z.; Zhao, B.; Zhang, H.; Yao, X.; Shuai, Y. Optimization of operating parameters for methane steam reforming thermochemical process using Response Surface Methodology. Int. J. Hydrogen Energy 2022, 47, 28313–28321. [Google Scholar] [CrossRef]
- Qureshi, F.; Yusuf, M.; Arham Khan, M.; Ibrahim, H.; Ekeoma, B.C.; Kamyab, H.; Rahman, M.M.; Nadda, A.K.; Chelliapan, S. A State-of-The-Art Review on the Latest trends in Hydrogen production, storage, and transportation techniques. Fuel 2023, 340, 127574. [Google Scholar] [CrossRef]
- Lao, L.; Aguirre, A.; Tran, A.; Wu, Z.; Durand, H.; Christofides, P.D. CFD modeling and control of a steam methane reforming reactor. Chem. Eng. Sci. 2016, 148, 78–92. [Google Scholar] [CrossRef]
- Chenxi, C.; Nian, Z.; Bozhao, C.; Yi, C. Progress in research and industrial development of microstructured reactors for intensifying gas-solid catalytic reactions. CIESC J. 2018, 69, 295–308. (In Chinese) [Google Scholar]
- Meloni, E.; Martino, M.; Palma, V. A short review on Ni based catalysts and related engineering issues for methane steam reforming. Catalysts 2020, 10, 352. [Google Scholar] [CrossRef]
- Yang, J.; Wu, J.; Zhou, L.; Wang, Q. Computational study of fluid flow and heat transfer in composite packed beds of spheres with low tube to particle diameter ratio. Nucl. Eng. Des. 2016, 300, 85–96. [Google Scholar] [CrossRef]
- Strangio, V.A.; Dautzenberg, F.M.; Calis, H.P.A.; Gupta, A. Fixed Catalytic Bed Reactor. U.S. Patent Application No. 09/273,848, 28 March 2002. [Google Scholar]
- Calis, H.; Nijenhuis, J.; Paikert, B.; Dautzenberg, F.; Van Den Bleek, C. CFD modelling and experimental validation of pressure drop and flow profile in a novel structured catalytic reactor packing. Chem. Eng. Sci. 2001, 56, 1713–1720. [Google Scholar] [CrossRef]
- Wang, J.Y.; Yang, J.; Cheng, Z.L.; Liu, Y.; Chen, Y.; Wang, Q.W. Experimental and numerical study on pressure drop and heat transfer performance of grille-sphere composite structured packed bed. Appl. Energy 2018, 227, 719–730. [Google Scholar] [CrossRef]
- Wang, J.; Yang, J.; Sunden, B.; Wang, Q. Numerical study of flow inhomogeneity and heat transfer enhancement in structured packed beds. Therm. Sci. 2020, 24, 3533–3542. [Google Scholar] [CrossRef]
- Hu, Y.; Wang, J.; Yang, J.; Mudawar, I.; Wang, Q. Experimental study of forced convective heat transfer in grille-particle composite packed beds. Int. J. Heat Mass Tranf. 2019, 129, 103–112. [Google Scholar] [CrossRef]
- Qian, P.; Wang, J.Y.; Wu, Z.H.; Yang, J.; Wang, Q.W. Performance comparison of methane steam reforming in a randomly packed bed and a grille-sphere composite packed bed. Energy Convers. Manag. 2019, 193, 39–51. [Google Scholar] [CrossRef]
- Chu, X.; Zeng, X.; Zheng, T.; Zhuang, W.; Yang, Y.; Zhou, W.; Hong, Y. Structural design and performance research of methanol steam reforming microchannel for hydrogen production based on mixing effect. Int. J. Hydrogen Energy 2020, 45, 20859–20874. [Google Scholar] [CrossRef]
- Tolley, T.E.; Fronk, B.M. Investigation of the benefits of diabatic microreactors for process intensification of the water-gas shift reaction within the steam reforming process. Int. J. Hydrogen Energy 2020, 45, 31507–31522. [Google Scholar] [CrossRef]
- Wang, Y.; Hong, Z.; Mei, D. A thermally autonomous methanol steam reforming microreactor with porous copper foam as catalyst support for hydrogen production. Int. J. Hydrogen Energy 2021, 46, 6734–6744. [Google Scholar] [CrossRef]
- Hamzah, A.B.; Fukuda, T.; Ookawara, S.; Yoshikawa, S.; Matsumoto, H. Process intensification of dry reforming of methane by structured catalytic wall-plate microreactor. Chem. Eng. J. 2021, 412, 128636. [Google Scholar] [CrossRef]
- Chen, J.; Han, J.; Xu, D. Efficient operation of autothermal microchannel reactors for the production of hydrogen by steam methane reforming. Int. J. Hydrogen Energy 2019, 44, 11546–11563. [Google Scholar] [CrossRef]
- Mei, D.; Qian, M.; Liu, B.; Jin, B.; Yao, Z.; Chen, Z. A micro-reactor with micro-pin-fin arrays for hydrogen production via methanol steam reforming. J. Power Sources 2012, 205, 367–376. [Google Scholar] [CrossRef]
- Liu, J.; Guo, X.; Zhang, S.; Wu, B. Comparison of hydrogen production from methane steam reforming in different microreactor configurations. Chin. J. Process Eng. 2022, 22, 1729–1738. (In Chinese) [Google Scholar]
- Wang, Y.; Liu, H.; Mei, D.; Wu, Q.; Zhou, H. A novel thermally autonomous methanol steam reforming microreactor using SiC honeycomb ceramic as catalyst support for hydrogen production. Int. J. Hydrogen Energy 2021, 46, 25878–25892. [Google Scholar] [CrossRef]
- Zhang, H.; Sun, Z.; Hu, Y.H. Steam reforming of methane: Current states of catalyst design and process upgrading. Renew. Sustain. Energy Rev. 2021, 149, 111330. [Google Scholar] [CrossRef]
- Charisiou, N.D.; Siakavelas, G.; Papageridis, K.N.; Baklavaridis, A.; Tzounis, L.; Polychronopoulou, K.; Goula, M.A. Hydrogen production via the glycerol steam reforming reaction over nickel supported on alumina and lanthana-alumina catalysts. Int. J. Hydrogen Energy 2017, 42, 13039–13060. [Google Scholar] [CrossRef]
- Charisiou, N.D.; Siakavelas, G.; Tzounis, L.; Sebastian, V.; Monzon, A.; Baker, M.A.; Hinder, S.J.; Polychronopoulou, K.; Yentekakis, I.V.; Goula, M.A. An in depth investigation of deactivation through carbon formation during the biogas dry reforming reaction for Ni supported on modified with CeO2 and La2O3 zirconia catalysts. Int. J. Hydrogen Energy 2018, 43, 18955–18976. [Google Scholar] [CrossRef]
- Cui, T.; Chen, Q.; Zhang, Y.; Nie, B.; Yang, B. Understanding the mechanism of carbon deposition of Ni3Co catalysts for methane dry reforming. Appl. Surf. Sci. 2022, 599, 154002. [Google Scholar] [CrossRef]
- Siahvashi, A.; Adesina, A.A. Hydrogen production via propane dry reforming: Carbon deposition and reaction-deactivation study. Int. J. Hydrogen Energy 2018, 43, 17195–17204. [Google Scholar] [CrossRef]
- Cheng, C.K.; Foo, S.Y.; Adesina, A.A. Thermodynamic analysis of glycerol-steam reforming in the presence of CO2 or H2 as carbon gasifying agent. Int. J. Hydrogen Energy 2012, 37, 10101–10110. [Google Scholar] [CrossRef]
- Dixon, A.G. Local transport and reaction rates in a fixed bed reactor tube: Endothermic steam methane reforming. Chem. Eng. Sci. 2017, 168, 156–177. [Google Scholar] [CrossRef]
- Ergun, S. Fluid flow through packed columns. Chem. Eng. Prog. 1952, 48, 89–94. [Google Scholar]
- Wilke, C.; Lee, C. Estimation of diffusion coefficients for gases and vapors. Ind. Eng. Chem. 1955, 46, 1253–1257. [Google Scholar] [CrossRef]
- Fuller, E.N.; Schettler, P.D.; Giddings, J.C. A new method for prediction of binary gas-phase diffusion coefficients. Ind. Eng. Chem. 1966, 58, 18–27. [Google Scholar] [CrossRef]
- Tang, X.-Y.; Yang, W.-W.; Ma, X.; Cao, X.E. An integrated modeling method for membrane reactors and optimization study of operating conditions. Energy 2023, 268, 126730. [Google Scholar] [CrossRef]
- Su, B.; Wang, Y.; Xu, Z.; Han, W.; Jin, H.; Wang, H. Novel ways for hydrogen production based on methane steam and dry reforming integrated with carbon capture. Energy Convers. Manag. 2022, 270, 116199. [Google Scholar] [CrossRef]
- Xu, J.; Froment, G.F. Methane steam reforming, methanation and water-gas shift: 1. intrinsic kinetics. AIChE J. 1989, 35, 88–96. [Google Scholar] [CrossRef]
- Maqbool, F.; Abbas, S.Z.; Ramirez-Solis, S.; Dupont, V.; Mahmud, T. Modelling of one-dimensional heterogeneous catalytic steam methane reforming over various catalysts in an adiabatic packed bed reactor. Int. J. Hydrogen Energy 2021, 46, 5112–5130. [Google Scholar] [CrossRef]
- Gu, R.; Ding, J.; Wang, Y.; Yuan, Q.; Wang, W.; Lu, J. Heat transfer and storage performance of steam methane reforming in tubular reactor with focused solar simulator. Appl. Energy 2019, 233–234, 789–801. [Google Scholar] [CrossRef]
- Wang, J.; Wei, S.; Wang, Q.; Sundén, B. Transient numerical modeling and model predictive control of an industrial-scale steam methane reforming reactor. Int. J. Hydrogen Energy 2021, 46, 15241–15256. [Google Scholar] [CrossRef]












| Parameters | Values | Parameters | Values |
|---|---|---|---|
| A1/kgmol·bar0.5·kgcat−1·h−1 | 4.225 × 1015 | /bar−1 | 6.12 × 10−9 |
| A2/kgmol·bar0.5·kgcat−1·h−1 | 1.955 × 106 | K0,CO/bar−1 | 8.23 × 10−5 |
| A3/kgmol·bar0.5·kgcat−1·h−1 | 1.020 × 1015 | /[–] | 1.77 × 105 |
| E1/kJ·mol−1 | 240.1 | /kJ·mol−1 | −38.28 |
| E2/kJ·mol−1 | 67.13 | /kJ·mol−1 | −82.90 |
| E3/kJ·mol−1 | 243.9 | ΔHCO/kJ·mol−1 | −70.61 |
| /bar−1 | 6.65 × 10−4 | /kJ·mol−1 | 88.68 |
| Operating Parameters | Variation | Operating Parameter Change Rate | Change Rate | Sensitivity Factor |
|---|---|---|---|---|
| vin | 0.1~0.5 | 4.000 | 0.043 | 0.109 |
| Tw | 824~1050 | 0.274 | 0.172 | 0.626 |
| Operating Parameters | Variation | Operating Parameter Change Rate | Change Rate | Sensitivity |
|---|---|---|---|---|
| vin | 0.1~0.5 | 4.000 | 0.043 | 0.011 |
| Tin | 673~1050 | 0.565 | 0.007 | 0.012 |
| Material | Thermal Conductivity (W/m·K) | Density (kg/m3) | cp (J/kg·K) | Price (CNY/kg) |
|---|---|---|---|---|
| Cordierite | 1.4 | 2610 | 1000 | 14.5 |
| Ni-Cr alloy | 25 | 8000 | 680 | 260 |
Disclaimer/Publisher’s Note: The statements, opinions and data contained in all publications are solely those of the individual author(s) and contributor(s) and not of MDPI and/or the editor(s). MDPI and/or the editor(s) disclaim responsibility for any injury to people or property resulting from any ideas, methods, instructions or products referred to in the content. |
© 2023 by the authors. Licensee MDPI, Basel, Switzerland. This article is an open access article distributed under the terms and conditions of the Creative Commons Attribution (CC BY) license (https://creativecommons.org/licenses/by/4.0/).
Share and Cite
Wang, J.; Liu, Z.; Ji, C.; Liu, L. Heat Transfer and Reaction Characteristics of Steam Methane Reforming in a Novel Composite Packed Bed Microreactor for Distributed Hydrogen Production. Energies 2023, 16, 4347. https://doi.org/10.3390/en16114347
Wang J, Liu Z, Ji C, Liu L. Heat Transfer and Reaction Characteristics of Steam Methane Reforming in a Novel Composite Packed Bed Microreactor for Distributed Hydrogen Production. Energies. 2023; 16(11):4347. https://doi.org/10.3390/en16114347
Chicago/Turabian StyleWang, Jingyu, Zongxin Liu, Changfa Ji, and Lang Liu. 2023. "Heat Transfer and Reaction Characteristics of Steam Methane Reforming in a Novel Composite Packed Bed Microreactor for Distributed Hydrogen Production" Energies 16, no. 11: 4347. https://doi.org/10.3390/en16114347
APA StyleWang, J., Liu, Z., Ji, C., & Liu, L. (2023). Heat Transfer and Reaction Characteristics of Steam Methane Reforming in a Novel Composite Packed Bed Microreactor for Distributed Hydrogen Production. Energies, 16(11), 4347. https://doi.org/10.3390/en16114347

