A Novel Method for the Calculation of Oil–Water Relative Permeability for Tight Oil Reservoirs by Considering Nonlinear Seepage Characteristics
Abstract
1. Introduction
2. Single-Phase Nonlinear Seepage Model in a Tight Reservoir
2.1. Model Assumption
2.2. Single-Phase Nonlinear Seepage Model in a Tight Reservoir
2.3. Two-Phase Oil–Water Relative Permeability Model
3. Model Verification
3.1. Verification of Single-Phase Nonlinear Seepage Model
3.2. Verification of Two-Phase Nonlinear Seepage Model
4. Results and Discussions
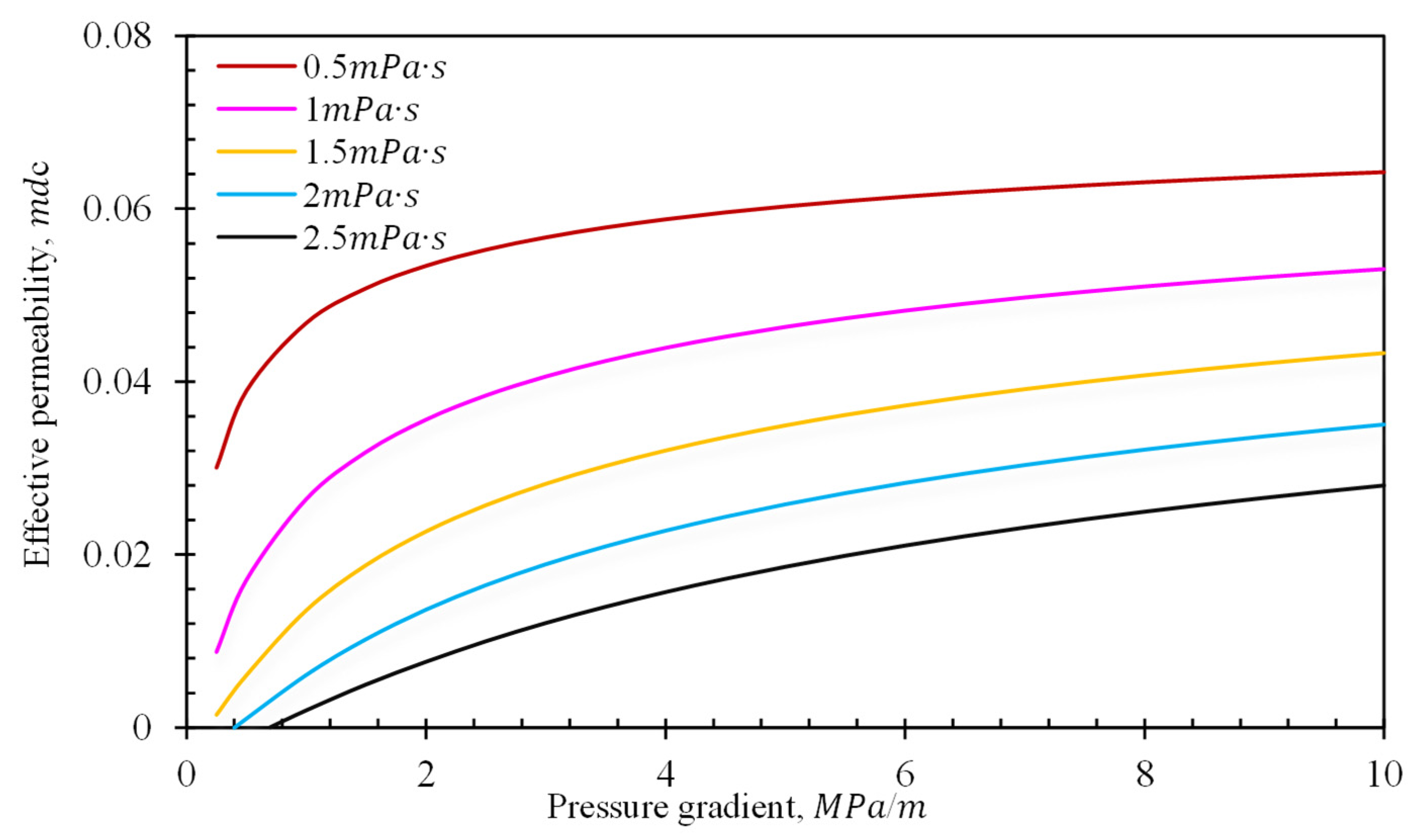
4.1. Sensitivity Analysis of Single-Phase Nonlinear Seepage Model
4.2. Sensitivity Analysis of Two-Phase Nonlinear Seepage Model
4.3. Comparative Analysis of the Influencing Parameters of Single-Phase and Two-Phase Seepage Characteristics
5. Model Limitation and Prospect
6. Conclusions
- A tight reservoir nonlinear seepage numerical model is established on the basis of boundary theory, the capillary pressure curve, and fractal theory. While allowing for the characterization of single-phase and two-phase nonlinear seepage, a direct introduction of mercury injection curves improves the convenience of model application and avoids a solution process that involves complex parameters.
- The single-phase and two-phase nonlinear seepage characteristics of tight oil reservoirs are related directly to pore-throat structure, boundary layer parameters, fluid viscosity, reservoir wettability, and displacement-pressure gradient. The pore-throat structural parameters, or physical property parameters, of the reservoir itself are the key factors that determine the seepage capacity of reservoir fluid. Changing the wettability of the reservoir and increasing the displacement-pressure gradient can effectively improve the seepage capacity of the reservoir fluid.
- The existence of the boundary layer is the main reason for the nonlinear seepage characteristics of tight reservoirs. The influence on the single-phase and two-phase seepage characteristics is mainly from the boundary layer thickness changes under the influence of different environmental conditions and physical property conditions, as well as the change of movable fluid ratio between different fluids.
- The model in this paper does not consider boundary slip, organic matter adsorption, desorption characteristics, or the possible mixed wetting phenomenon in a single capillary. Therefore, this model is not fully applicable to shale reservoirs. Further studies that can be carried out include single-phase and two-phase nonlinear seepage models for organic matter adsorption and desorption, different pore-throat cross-sectional shapes, and complex pore-connectivity conditions.
Author Contributions
Funding
Data Availability Statement
Conflicts of Interest
References
- Huang, S.; Yao, Y.; Zhang, S.; Ji, J.; Ma, R. A Fractal Model for Oil Transport in Tight Porous Media. Transp. Porous Media 2018, 121, 725–739. [Google Scholar] [CrossRef]
- Wang, Y.; Yang, Y.; Wang, K.; Tao, L.; Liu, J.; Wang, C.; Yao, J.; Zhang, K.; Song, W. Changes in relative permeability curves for natural gas hydrate decomposition due to particle migration. J. Nat. Gas Sci. Eng. 2020, 84, 103634. [Google Scholar] [CrossRef]
- Yury, V.I.; Mir-Amal, M.A. Development of a Distributed Control System for the Hydrodynamic Processes of Aquifers, Taking into Account Stochastic Disturbing Factors. Water 2023, 15, 770. [Google Scholar]
- Lei, G.; Dong, Z.; Li, W.; Wen, Q.; Wang, C. Theoretical study on stress sensitivity of fractal porous media with irreducible water. Fractals 2018, 26, 189–199. [Google Scholar] [CrossRef]
- Zhang, T.; Sun, S. A coupled Lattice Boltzmann approach to simulate gas flow and transport in shale reservoirs with dynamic sorption. Fuel 2019, 246, 196–203. [Google Scholar] [CrossRef]
- Li, J.; Li, X.; Chen, Z.; Wang, X.; Wu, L.; Sun, Z.; Qu, S. Permeability model for gas transport through shale nanopores with irreducible water saturation. Pet. Sci. Bull. 2018, 3, 167–182. [Google Scholar]
- Huang, T.; Li, E.; Tao, Z.; Guo, X. A nonlinear seepage model of gas and water transport in multi-scale shale gas reservoirs based on dynamic permeability. J. Geophys. Eng. 2018, 15, 1255–1268. [Google Scholar] [CrossRef]
- Afsharpoor, A.; Javadpour, F. Liquid slip flow in a network of shale noncircular nanopores. Fuel 2016, 180, 580–590. [Google Scholar] [CrossRef]
- Hayat, T.; Tasawar, Z.; Hussain, A.; Ahmad, B. Numerical study for slip flow of carbon-water nanofluids. Comput. Methods Appl. Mech. Eng. 2017, 319, 366–378. [Google Scholar] [CrossRef]
- Morteza, D. Dispersion in non-Newtonian fluid flows in a conduit with porous walls. Chem. Eng. Sci. 2018, 189, 296–310. [Google Scholar]
- Stephen, W. Flow in Porous Media I: A Theoretical Derivation of Darcy’s Law. Transp. Porous Media 1986, 1, 3–25. [Google Scholar]
- Zhang, Q.; Chan, K.; Quirke, N. Molecular dynamics simulation of water confined in a nanopore of amorphous silica. Mol. Simul. 2009, 35, 1215–1223. [Google Scholar] [CrossRef]
- Renou, R.; Szymczyk, A.; Ghoufi, A. Influence of the pore length on the properties of water confined in a silica nanopore. Mol. Phys. 2014, 112, 2275–2281. [Google Scholar] [CrossRef]
- Jin, Z.; Firoozabadi, A. Effect of water on methane and carbon dioxide sorption in clay minerals by Monte Carlo simulations. Fluid Phase Equilibria 2014, 382, 10–20. [Google Scholar] [CrossRef]
- Tao, J.; Song, X.; Zhao, T.; Zhao, S.; Liu, H. Confinement Effect on Water Transport in CNT Membranes. Chem. Eng. Sci. 2018, 192, 1252–1259. [Google Scholar] [CrossRef]
- Yao, Y.; Ge, J. Characteristics of non-Darcy flow in low-permeability reservoirs. Pet. Sci. 2011, 8, 55–62. [Google Scholar] [CrossRef]
- Prada, A.; Civan, F. Modification of Darcy’s law for the threshold pressure gradient. J. Pet. Sci. Eng. 1999, 22, 237–240. [Google Scholar] [CrossRef]
- Deng, Y.; Liu, C. Mathematical model of nonlinear flow in low permeability porous media and its application. Acta Pet. Sin. 2001, 22, 72–77. [Google Scholar]
- Shi, Y.; Yang, Z.; Huang, Y. Study on non-linear seepage flow model for low-permeability reservoir. Acta Pet. Sin. 2009, 30, 731–734. [Google Scholar]
- Yang, R.; Jiang, R.; Liu, S. Demonstration of essentiality of considering nonlinear flow in low permeability reservoir. Fault-Block Oil Gas Field 2011, 18, 493–497. [Google Scholar]
- Cai, J. A fractal approach to low velocity non-Darcy flow in a low permeability porous medium. Chin. Phys. B 2014, 23, 044701. [Google Scholar] [CrossRef]
- Su, H.; Zhang, S.; Sun, Y.; Wang, X.; Yu, B.; Wang, Y.; Yu, M.; Yang, M.; Meng, W.; Yi, H.; et al. A comprehensive model for oil-wat relative permabilitis in low permeability reservoirs by fractal theory. Fractals 2020, 28, 2050055. [Google Scholar] [CrossRef]
- Huang, Y. Nonlinear percolation feature in low permeability reservoir. Spec. Oil Gas Reserve 1997, 4, 9–14. [Google Scholar]
- Jiang, R.; Li, L.; Xu, J.; Yang, R.; Zhuang, Y. A nonlinear mathematical model for low-permeability reservoirs and well-testing analysis. Acta Pet. Sin. 2012, 33, 264–268. [Google Scholar]
- Xu, S.; Yue, X.; Hou, J.; Wang, B. Influence of boundary-layer fluid on the seepage characteristic of low-permeability reservoir. J. Xian Shiyou Univ. (Nat. Sci. Ed.) 2007, 22, 26–28. [Google Scholar]
- Ren, X.; Li, A.; Fu, S.; Wang, S. Experimental study on the oil-water relative permeability relationship for tight sandstone considering the nonlinear seepage characteristics. J. Pet. Sci. Eng. 2018, 161, 409–416. [Google Scholar] [CrossRef]
- Su, H.; Wang, D.; Zhang, P.; An, Y.; Fu, Y.; Lu, J.; Huang, F.; Zhang, H.; Ren, Z.; Li, Z. A new method to calculate the relative permeability of oil and water in tight oil reservoirs by considering the nonlinear flow. Geofluids 2022, 2022, 9450967. [Google Scholar] [CrossRef]
- Zeng, J.; Cheng, S.; Kong, X.; Guo, K.; Wang, H. Non-Darcy flow in oil accumulation (oil displacing water) and relative permeability and oil saturation characteristics of low-permeability sandstones. Pet. Sci. 2010, 7, 20–30. [Google Scholar] [CrossRef]
- Joekar-Niasar, V.; Hassanizadeh, S.; Leijnse, A. Insights into the relationships among capillary pressure, saturation, interfacial area and relative permeability using pore-network modeling. Transp. Porous Media 2008, 74, 201–219. [Google Scholar] [CrossRef]
- Gharbi, O.; Blunt, M. The impact of wettability and connectivity on relative permeability in carbonates: A pore network modeling analysis. Water Resour. Res. 2012, 48, 1–14. [Google Scholar] [CrossRef]
- Mcdougall, S.; Cruickshank, J.; Sorbie, K. Anchoring methodologies for pore-scale network models: Application to relative permeability and capillary pressure prediction. Petrophysics 2002, 43, 365–375. [Google Scholar]
- Olafuyi, O. Prediction of multiphase flow properties from network models. J. Niger. Assoc. Math. Phys. 2013, 19, 1116–1134. [Google Scholar]
- Stone, H. Probability model for estimating three-phase relative permeability. J. Pet. Technol. 1970, 22, 214–218. [Google Scholar] [CrossRef]
- Oostrom, R. A parametric model for predicting relative permeability-saturation-capillary pressure relationships of oil-water systems in porous media with mixed wettability. Transp. Porous Media 1998, 31, 109–131. [Google Scholar]
- Su, H.; Zhang, S.; Sun, Y.; Yu, J.; Yang, M.; Meng, W.; Wang, Y.; Yu, M. Oil-water relative permeability model of low permeability reservoir based on fractal theory. Pet. Geol. Recovery Eff. 2020, 27, 67–78. [Google Scholar]
- Lei, G.; Dong, P.C.; Mo, S.Y.; Gai, S.H.; Wu, Z.S. A novel fractal model for two-phase relative permeability in porous media. Fractals-Complex Geom. Patterns Scaling Nat. Soc. 2015, 23, 1550017. [Google Scholar] [CrossRef]
- Ahmadlouydarab, M.; Liu, Z.S.; Feng, J.J. Relative permeability for two-phase flow through corrugated tubes as model porous media. Int. J. Multiph. Flow 2012, 47, 85–93. [Google Scholar] [CrossRef]
- Standnes, D.; Evje, S.; Andersen, P.S. A novel relative permeability model based on mixture theory approach accounting for solid–fluid and fluid–fluid interactions. Transp. Porous Media 2017, 119, 707–738. [Google Scholar] [CrossRef]
- Li, K. More general capillary pressure and relative permeability models from fractal geometry. J. Contam. Hydrol. 2010, 111, 13–24. [Google Scholar] [CrossRef]
- Tian, X.; Cheng, L.; Yan, Y.; Liu, H.; Zhao, W.; Guo, Q. An improved solution to estimate relative permeability in tight oil reservoirs. J. Pet. Explor. Prod. Technol. 2015, 5, 305–314. [Google Scholar] [CrossRef]
- Burdine, N. Relative permeability calculations from pore size distribution data. J. Pet. Technol. 1953, 98, 71–78. [Google Scholar] [CrossRef]
- Tiab, D.; Donaldson, E. Petrophysics; Gulf Professional Publishing: Amsterdam, The Netherlands, 2003. [Google Scholar]
- Li, Y.; Zheng, H.; He, Z.; Yan, Y. The study on characterization of non-linear unstable flow in ultra-low-permeability reservoirs. Sci. Technol. Eng. 2012, 20, 9480–9485. [Google Scholar]
- He, M.; Zhou, Y.; Wu, K.; Hu, Y.; Feng, D.; Zhang, T.; Liu, Q.; Li, X. Pore network modeling of thin water film and its influence on relative permeability curves in tight formations. Fuel 2021, 289, 119828. [Google Scholar] [CrossRef]
- Huang, X. Fine Characterization of Microscopic Characteristics of Tight Sandstone Reservoir and Evaluation of Remaining Oil after Water Flooding. Ph.D. Thesis, China University of Petroleum, Beijing, China, 2017. [Google Scholar]
- Wang, H. A Two-Phase Flow Theory for Thermal-Moisture-Hydro-Mechanical Multi-Physical Coupling in Fractured Shale. Ph.D. Thesis, University of Tasmania, Hobart, Australia, 2021. [Google Scholar]
- Sun, Z.; Shi, J.; Wu, K.; Li, X. Gas flow behavior through inorganic nanopores in shale considering confinement effect and moisture content. Ind. Eng. Chem. Res. 2018, 57, 3430–3440. [Google Scholar] [CrossRef]
- Sun, Z.; Wu, K.; Shi, J.; Zhang, T.; Feng, D.; Huang, L.; Li, X. An analytical model for transport capacity of water confined in nanopores. Int. J. Heat Mass Transf. 2019, 138, 620–630. [Google Scholar] [CrossRef]
- Khormali, A.; Koochi, M.R.; Varfolomeev, M.A.; Ahmadi, S. Experimental study of the low salinity water injection process in the presence of scale inhibitor and various nanoparticles. J. Pet. Explor. Prod. Technol. 2023, 13, 903–916. [Google Scholar] [CrossRef]
- Kalaei, M.; Green, D.; Willhite, G. A new dynamic wettability-alteration model for oil-wet cores during surfactant-solution imbibition. SPE J. 2012, 18, 109–122. [Google Scholar]












| Core | Porosity Undefined Unit | Gas Analysis Permeability mDc | Df Undefined Unit | DT Undefined Unit | SHgmax Undefined Unit | σ mN/m | θ ° |
|---|---|---|---|---|---|---|---|
| X171 | 0.12 | 0.2602 | 1.512 | 1.321 | 0.835 | 483 | 140 |
| G95 | 0.143 | 0.99 | 1.550 | 1.291 | 0.824 |
| Porosity Undefined Unit | Gas Analysis Permeability, mDc | Df Undefined Unit | DT Undefined Unit | SHgmax Undefined Unit | σ mN/m | θ ° |
|---|---|---|---|---|---|---|
| 0.115 | 0.027 | 1.37 | 1.68 | 0.69 | 483 | 140 |
| Core Number | R-Squared | DT Undefined Unit | Df Undefined Unit | SHgmax Undefined Unit | σ mN/m | θ ° |
|---|---|---|---|---|---|---|
| Y1 | 0.931 | 1.337 | 1.522 | 0.78 | 483 | 140 |
| Y3 | 0.975 | 1.184 | 1.557 | 0.81 | ||
| Y5 | 0.942 | 1.151 | 1.587 | 0.79 |
| Influence Factors | For the Single Phase | For the Two Phase |
|---|---|---|
| Pressure Gradient | An increase in pressure gradient reduces the thickness of boundary layer and increases effective permeability. | As the pressure gradient increases, the thickness of the boundary layer decreases, the residual saturation of the wetting phase and nonwetting phase decrease, the relative permeability of the nonwetting phase decreases, and the relative permeability of the wetting phase increases. |
| Viscosity | An increase in viscosity leads to an increase in boundary layer thickness and seepage resistance and to a decrease in effective permeability. | The higher the viscosity, the higher the boundary layer viscosity of the oil phase, the higher the proportion of immobile oil, the lower the relative permeability, and the higher the relative permeability of the water phase. |
| Pore-Throat Type | The larger the pore-throat radius, the better the sorting property and the smaller the impact of the boundary layer on effective permeability. | The better the physical properties of the reservoir, the smaller the residual saturation of the wetting phase and nonwetting phase, the wider the two-phase copermeability zone, and the higher the relative permeability at the end point of the wetting phase (the permeability loss decreases). |
| Wettability | - | As the reservoir becomes more hydrophilic, the number of water-wet pore throats increases, the bound water saturation increases, the residual oil saturation decreases, the isotonic point shifts to the right, and the water-phase relative permeability increases at the end point. |
Disclaimer/Publisher’s Note: The statements, opinions and data contained in all publications are solely those of the individual author(s) and contributor(s) and not of MDPI and/or the editor(s). MDPI and/or the editor(s) disclaim responsibility for any injury to people or property resulting from any ideas, methods, instructions or products referred to in the content. |
© 2023 by the authors. Licensee MDPI, Basel, Switzerland. This article is an open access article distributed under the terms and conditions of the Creative Commons Attribution (CC BY) license (https://creativecommons.org/licenses/by/4.0/).
Share and Cite
Jia, J.; Zhang, Y.; Xiong, W.; Gou, C.; Liu, W.; Wang, S. A Novel Method for the Calculation of Oil–Water Relative Permeability for Tight Oil Reservoirs by Considering Nonlinear Seepage Characteristics. Energies 2023, 16, 4273. https://doi.org/10.3390/en16114273
Jia J, Zhang Y, Xiong W, Gou C, Liu W, Wang S. A Novel Method for the Calculation of Oil–Water Relative Permeability for Tight Oil Reservoirs by Considering Nonlinear Seepage Characteristics. Energies. 2023; 16(11):4273. https://doi.org/10.3390/en16114273
Chicago/Turabian StyleJia, Junhong, Yongqiang Zhang, Weiliang Xiong, Congbo Gou, Wenjian Liu, and Shuoliang Wang. 2023. "A Novel Method for the Calculation of Oil–Water Relative Permeability for Tight Oil Reservoirs by Considering Nonlinear Seepage Characteristics" Energies 16, no. 11: 4273. https://doi.org/10.3390/en16114273
APA StyleJia, J., Zhang, Y., Xiong, W., Gou, C., Liu, W., & Wang, S. (2023). A Novel Method for the Calculation of Oil–Water Relative Permeability for Tight Oil Reservoirs by Considering Nonlinear Seepage Characteristics. Energies, 16(11), 4273. https://doi.org/10.3390/en16114273
