Next Article in Journal
Estimation of Petrophysical Parameters of Carbonates Based on Well Logs and Laboratory Measurements, a Review
Previous Article in Journal
Application of Response Surface Methodology and Artificial Neural Network to Optimize the Curved Trapezoidal Winglet Geometry for Enhancing the Performance of a Fin-and-Tube Heat Exchanger
 
 
Font Type:
Arial Georgia Verdana
Font Size:
Aa Aa Aa
Line Spacing:
Column Width:
Background:
Article

Study on the Combustion Performance and Industrial Tests of Coke Breeze in Shougang Jingtang Blast Furnace

1
Manufacturing Department, Shougang Jingtang United Iron & Steel Co., Ltd., Tangshan 063210, China
2
School of Metallurgical and Ecological Engineering, University of Science and Technology Beijing, Beijing 100083, China
3
Jingtang Technology Center, Technology Research Institute, Shougang Jingtang United Iron & Steel Co., Ltd., Tangshan 063210, China
*
Author to whom correspondence should be addressed.
Energies 2023, 16(10), 4214; https://doi.org/10.3390/en16104214
Submission received: 19 April 2023 / Revised: 12 May 2023 / Accepted: 15 May 2023 / Published: 20 May 2023
(This article belongs to the Section B3: Carbon Emission and Utilization)

Abstract

In this study, the feasibility indicators of the injection of coke breeze for blast furnaces (BFs) were tested. Experiments were conducted on the combustion behavior of coke breeze at different particle sizes, and the effects of ratio of coke breeze in pulverized coal on the combustion performance of blends were studied. On the basis of the above experiments, industrial tests involving injecting coke breeze after milling were carried out in 3# BF of Shougang Jingtang. The results show that most of the coke breeze particle sizes were distributed above 1 mm. The grindability and combustion performance are poor, so the material needs to be ground before mixing with pulverized coal. The best combustibility can be obtained by using a particle size of less than 8.74 μm of coke breeze in the injection. With the increase in the coke breeze ratio, the combustion performance of blended coal worsened; the negative effects of coke breeze can be improved by increasing the proportion of bituminous coal. According to the results of industrial tests, 8% coke breeze in blends had no negative effect on the smelting state, and the output of the BF increased slightly. Industrial tests proved that coke breeze can partly replace anthracite for BF injecting, which reduced the cost of hot metal while realizing the high value-added resource utilization of coke breeze.

1. Introduction

Steel is an essential material for modern industrial enterprises, and the development of Chinese society cannot take place without steel. The steel industry has emerged as a key socio-economic industry, enjoying the reputation of “the backbone of the nation” [1,2,3]. In 2021, the NDRC (National Development and Reform Commission) stated that China’s crude steel production had reached about 1 billion tons, still ranking first in the world [4,5]. The energy consumption and carbon emissions of the steel industry had also become a concern due to such an enormous production capacity. The 2020 energy use in China’s steel industry was approximately 668.51 million tons of standard coal, accounting for approximately 13.4% of China’s total energy use, and was steadily expanding as the result of the gradual increase in production. Coke, as the main fuel for blast furnace (BF) production, plays the role of heating agent, reducing agent, column skeleton, and carburization of iron in the iron-making process [6]. It is one of the essential raw materials for smelting in BFs and a non-renewable source of fossil energy. Currently, the increasing scarcity of coking coal resources for the production of high-quality metallurgical coke is becoming a problem, while the price of coke is still high [7]. The search for a new fuel to replace some of the coke is thus an unavoidable trend in the development of the iron industry. Pulverized coal injection technology (PCI) in BF ironmaking has become an important technical means of strengthening BF smelting as well as reducing the use of coke, saving energy, and reducing the cost of making iron [8]. PCI for BF has been widely used in major iron and steel companies in China to promote the advancement of China’s iron and steel industry. Meanwhile, it can effectively mitigate the detrimental effects on environmental protection and overconsumption of resources caused by the use of coking coal in the metallurgical production process in China [9,10,11,12]. Pulverized coal injection in the BF may function as a reducing agent, heating agent and carburizing agent, and is a major contributor to reduced coke ratios and energy savings [13].
The application of PCI in BF is not restricted to certain coal samples. Solid fuels that can be used for BF injecting include bituminous coal, anthracite coal, upgraded pulverized coal, semi-coke, and even biomass and waste plastics. More and more possible injecting resources are either employed directly for BF injection or are processed before being sprayed into the BF with the creative development of PCI. There have been numerous earlier investigations into this. Thermogravimetric analysis has been used by Bi et al. [14] to research the combustibility of semi-coke blended coal; combustion process kinetics of different coal blending schemes were analyzed using KSA iso-conversions, and an optimum of 30–40% semi-coke ratio in the blended coal was found. Wang et al. [15] carried out industrial tests under the condition of studying the basic properties of upgraded pulverized coal, and the results showed that the BF coal ratio increased and the coke ratio and the cost per ton of iron smelting decreased after injecting upgraded pulverized coal. Research and test results by Wang [16] et al. on bag dust of the material feeding system showed that 5% bag dust dispensation did not have a large impact on the size of coal particles blown by BF, the composition of the bag dust or the condition of the BF and fuel consumption. Wang [17] et al. used the hydrothermal method to prepare hydrochar from corn straw as fuel for BF; the hydrochar had a more compact carbonaceous structure and enhanced orderliness compared to the feedstock, and the combustion had a higher ignition point and greater stability. Hydrothermal carbonization (HTC) technology has been used by Ning [18] et al. to convert polyvinyl chloride to hydrochar, and the results demonstrated that the products had a richer pore structure and higher carbon order, and the heating value increased with increasing HTC temperature. The hydrochar produced by HTC of waste plastics and biomass is similar to bituminous coal and can replace part of it for blast furnace injection.
At present, there are few reports on the research and application of coke breeze in BF production, and the use of coke breeze as BF injection fuel has not been widely adopted. In the brief report, it was stated that Bensteel, through the comparison study and analysis of coke powder and pulverized coal, had confirmed the viability of replacing part of anthracite coal with coke powder for blending and injecting. Bensteel had added 5–10% coke powder to the blended coal for the corresponding production practice, which had produced positive economic results [19]. Ansteel performed industrial tests for BF injection with coke powder at 5–15% level and coal blending optimization experiments. After injection, the gas utilization rate increased and the fuel ratio fell [20]. Han et al. [21] proposed that the ideal coke powder addition was roughly 15% by evaluating the combustion and kinetic characteristics under various coke powder addition settings. The replacement of anthracite by coke breeze in PCI is theoretically possible given the similarities of the two fuels, coke powder and coke breeze. Coke breeze is primarily obtained by sieving the coke, and is the byproduct of the coking production process, which has the characteristics of large particle size, high fixed carbon content, high ash content and low volatile content. It is currently used primarily in the production of sinter to replace sinter coal as fuel [22,23,24]. The green production system is represented by a large pellet ratio in the charge production of Shougang Jingtang United Iron & Steel Co., Ltd. (SGJT), which reduced the proportion of sintered ore, leading to the large excess of coke breeze. Resource recovery of coke breeze in the blast furnace injecting process was considered. In September 2022, SGJT conducted a 3% injection test of finely ground coke breeze in three BFs. After the first BF was stabilized, the proportion of coke breeze was gradually increased to 6% and added to three BFs at the same time. This effectively relieves resource constraints, reuses waste, stabilizes the composition of PCI, and reduces production cost.
In the present study, coke breeze, anthracite and bituminous coal have been analyzed by proximate analysis, ultimate analysis, ignition point test, explosive test and grindability test to determine the similarities and differences between coke breeze and other coal samples. In addition, the combustion characteristics of different samples have been investigated by thermogravimetric analysis (TGA). Moreover, at Shougang Jingtang, using three BFs a one-month industrial trial of fine ground coke breeze BF injection was conducted, and the production data from the industrial tests were analyzed and evaluated. The resultant data may be used to enhance the understanding of the industrial uses for coke breeze.

2. Material and Methods

2.1. Material Preparation and Analysis

Four anthracites (AC1, AC2, AC3, AC4) and Shenhua bituminous coal (SB) were chosen as the comparison coals, and the coke breeze produced by the coking of SGJT. Coal samples were dried at 105 °C for 8 h in an electric oven to remove free water prior to compositional analysis, and then crushed and sieved to obtain specimens with particle sizes of 0.074 mm or smaller. The samples of coke breeze (CB, obtained by sieving the coke) were selected for particle size analysis.
The properties of pulverized coal will have a greater impact on the PCI technology, such as elemental composition, ignition point and explosivity, grindability, combustibility, and so on. These properties will not only affect the combustion efficiency and the coal-coke replacement ratio, but also cause wearing of the pipe during production and transport, affecting the injection safety etc. Ultimate and proximate analyses of the pulverized coal are according to the methods in GB/T 30732-2014 [25] and GB/T 31391-2015 [26], where the difference approach is used to determine the O content; Equation (1) serves as the computation formula. The higher heating value (HHV) of the samples is estimated using the following Equation (2) by combining the results of ultimate and proximate analyses [27]. The ignition point test uses the solid oxidizer method, pulverized coal and sodium nitrite is in the 4:3 ratio for blending, and in the micro electric furnace pulverized coal ignition point test apparatus; the explosive test uses the long tube type pulverized coal explosive determination apparatus. The determination of grindability is made using the Hastelloy (Hastelloy Grove) scheme. The samples in the certain particle size range are ground finely in the Hastelloy grinder meter, and then the grindability index of the samples is obtained by sieving, weighing and calculating. The calculation formula is shown in Equation (3) [28].
O = 100 % C H N S A
H H V = 0.3491 C + 1.1783 H + 0.1005 S 0.1034 O 0.0151 N 0.0211 A
H G I = 13 + 6.93 × M
where C, H, N, O, S and A represent carbon, hydrogen, nitrogen, oxygen, sulfur and ash content, %, respectively. M is the mass of samples collected after sieving under 0.074 mm, in g.

2.2. Thermogravimetric Analysis

Thermogravimetric analysis [29,30,31,32] was used to determine the combustibility of samples. The non-isothermal method uses a thermogravimetric simultaneous thermal analyzer (HCT-3, Henven Scientific Instrument Factory, Beijing, China). The thermogravimetric synchronous analyzer had a microbalance sensitivity of less than ±0.1 mg and a temperature precision of ±0.5 °C. (5 ± 0.2) mg sample was placed in the alumina crucible of the differential heat balance prior to the start of the experiment. The pulverized coal was heated to 900 °C for combustion with a 60 mL/min flow rate and a 20 °C/min heating rate [33]. Conversion rate curves and reaction rate curves were plotted from the weight loss data collected. Each sample test was repeated at least three times to ensure good reproducibility of the experimental results. The mass loss and reaction rate of the samples were represented as a function of temperature.
The sample combustion conversion (x) (on ash-free basis) was calculated according to the following Equation (4):
x = m 0 m t m 0 m × 100 %
where m0 is the initial mass of the sample, mg; mt is the mass at time t, mg; m is the final mass at the end of the test, mg.

2.3. Industrial Test

Three BFs (5500 m3) was chosen for industrial testing. In order to investigate the impact of injecting CB on BF production, the tests added CB during the existing coal blending in the ironmaking plant. The base period was the normal production period of the 3 BFs. Based on the above experimental analysis, the tests were carried out in stages. In the first stage, 3% CB was added. In the second stage, 5% CB was added. In the third stage, 6% CB was added, and in the fourth stage, 8% CB. The tests gradually raised the proportion of SB to reduce the detrimental effects of adding CB on the combustion performance of pulverized coal.
Statistics on various data of BF production during the CB blending period were collected. These include: daily iron production, BF differential pressure, stability index, molten iron temperature, gas utilization rate and oxygen enrichment rate during the industrial test to determine the impact of CB addition on furnace conditions and stability. In order to assess the economics of CB addition comprehensively, changes in the BF fuel ratio and coal ratio during the industrial tests were also counted.

3. Results and Discussions

3.1. Physical and Chemical Characteristics

There were significant differences in the coal quality characteristics between the ultimate and proximate analyses of the samples. As shown in Table 1, due to CB primarily being obtained by sieving the coke, the proximate analysis of CB was similar to that of coke, with a high fixed carbon content, low volatile content, high ash content and high sulfur content, which will increase the sulfur load of the BF when added into the blended coal. The CB particles were mostly distributed in excess of 1 mm, accounting for over 80% of the size, which was larger and must be ground when blending and injecting. In general, the smaller the particle size, the faster the rate of combustion and fusion, and the better the reduction in unnecessary energy losses [34].
Table 2 shows the proximate analysis, ultimate analysis, and high heating value (HHV) results of samples. Compared to the anthracites, CB had the lower volatile content with a mass fraction of only 2.84%. The ash content was similar to anthracites, which meets both national and international requirements for the ash value of pulverized coal inject to be less than 15% [35]. The content of hydrogen and oxygen in CB was low, and the content of carbon was high. The HHV of CB was higher than that of AC3 and SB because of the higher carbon element content of CB, and the higher oxygen element in AC3 and SB. In the molecular structure of coal, oxygen is primarily found in oxygen-containing functional groups such as carboxyl, hydroxyl, and aldehyde groups, which do not generate heat during coal burning and will react with the hydrogen in coal to reduce its heat. The sulfur content was higher than that of other coals, which will increase the desulfurization load when the CB is used in BF injection.
Usually, the ignition point of pulverized coal is negatively correlated with the volatile fraction and explosivity is positively correlated with the volatile fraction [36]. The ignition point, explosivity and grindability of samples are shown in Table 3. The ignition point of anthracite is 310–380 °C, and the lowest ignition temperature of SB was 314 °C, which meets the ignition point of coal for injection. The ignition point for CB was greater than 480 °C because of the high ash content and the low volatile content, which delays the ignition of pulverized coal, which was significantly greater than that of SB and AC1-4. In order to improve the combustion rate of CB in the air vent, it is necessary to compensate for the higher temperature or combine with other coals to reduce the ignition point. The return flame length of CB was 0 mm, which is weakly explosive and can be satisfied with the requirement of fuel safety performance for BF injection.
The experimental results of the grindability index (HGI) in Table 3 show that AC3 had a grindability of 53, which will increase the energy consumption and the cost of pulverizing when a large quantity ofAC3 is added. However, other anthracites and SBs may satisfy the requirements of PCI. CB had an HGI of only 33, which was low compared to other samples. In industry, the HGI of coal for injection is generally required to fall between 60 and 90. A lower HGI will increase processing cost, but otherwise will aggravate the phenomenon of coal bonding [37]. The data in Table 3 show that the CB grindability index did not meet the requirements of PCI. The existing medium speed mill and ball mill and other pulverization equipment of the enterprise are unlikely to efficiently perform fine powder milling of samples, which may have a large impact on the wear of the grinding roller and pipe wear, so it needs to be used after blending with other types of coals.

3.2. Thermogravimetric Analysis of Coal

CB, AC1-4 and SB were subjected to combustion experiments with a rate of temperature rise of 20 °C/min. Figure 1 shows their conversion curves and reaction rate curves. Each sample was tested and analyzed under dry conditions, and the temperature range on the horizontal axis was set to 200–900 °C in the conversion curves. The samples combustion conversion curve is similar and can be divided into three main stages; in the first stage, the temperature increases from ambient temperature to 350 °C; as the pulverized coal heats up, moisture and volatile material gradually precipitate out, the pulverized coal loses weight slightly and the rate of reaction gradually increases; in the second stage, at 350–750 °C, both the volatile and the fixed carbon in the sample burn violently with the oxygen in the air, the pulverized coal beings to lose weight rapidly and the peak in reaction rate is reached; the third stage is the burnout step, which occurs at 750–900 °C, the fixed carbon is consumed, and the remaining material is consists primarily of ash [38], the rate-of-conversion curve gradually flattens, and the rate-of-reaction curve falls rapidly. The second stage is the most violent reaction in the pulverized coal combustion process. Therefore, the second stage of the process is the primary object of study.
It is evident that the conversion rate curve and the reaction rate curve of CB in the Figure 1 were more tilted towards the high temperature region compared to AC1-4 and SB. CB began to rapidly lose weight at around 560 °C and burned out completely when the temperature reached around 800 °C. Therefore, the characteristic peaks in the reaction rate curves were located in the high-temperature region, and the height was less than that of SB and AC1-4; correspondingly, the low precipitation of volatiles leads to the decrease in the peak width of the characteristic peak of the CB.
To consider the pattern of variation of CB combusting with SB and AC1-4, the TG-DTG [39] method was used to determine the combustion parameters of different coal samples. According to the definition in [40,41], the ignition index C and the comprehensive combustion index S were calculated to characterize the ignition characteristics and the whole combustion process of the coal samples. The flammability index C and the comprehensive combustion index S of the coal sample process at the heating rate of 20 °C/min are shown in Table 4.
C = R max T i 2
S = R max × R m e a n T i 2 × T f
In summary, CB had a significantly higher Ti and Tf than SB and AC1-4, which required a higher air temperature and a longer burnout time. The lower Ti of pulverized coal was conducive to rapid ignition and combustion when injected in front of the air outlet, which caused it to burn completely in a relatively short period of time and effectively improves the combustion rate of combustion of the injected fuel. The comprehensive combustion index S and ignition index C of CB were lower than those of AC and SB. This indicated that the poor combustion performance of CB will result in unburnt pulverized coal clogging the coke window, affecting the air permeability of the BF, which is not conducive to the smooth and stable operation of the BF [42]. There is a need to improve its combustion performance by matching the pulverized coal with excellent combustion performance.

3.3. Thermogravimetric Analysis of CB at Different Particle Sizes

The particle size of pulverized coal is closely related to the combustion performance, and it is an important factor in determining the mass and heat transfer characteristics. Finer particle size of pulverized coal can increase the specific surface area and improve the surface activity, which in turn facilitates oxidation, accelerates the process of temperature transfer from the surface to the interior of the coal, and shortens the end-time of pulverized coal combustion [43]. Combustibility experiments of CB under different particle sizes were conducted to investigate the optimum particle size selection for BFs with injected CB. Six particle sizes were screened after drying the CB: 250–150 μm, 150–106 μm, 106–88 μm, 88–74 μm, 74–8.74 μm and less than 8.74 μm. The experiment conversion rate curves and the reaction rate curves are shown in Figure 2.
From Figure 2 and Table 5, it can be seen that with the decrease in CB particle size, both the Ti and the Tf had been decreased, and the combustion reaction rate curves of the samples gradually shifted to the lower temperature, and the pulverized coal combustion reaction process was accelerated. Pulverized coal is primarily ignited by the precipitation of volatile constituents and the ignition of fixed carbon particles, which are influenced on the one hand by ambient temperature, and on the other hand by the aggregation of combustible substances on the surface of pulverized coal particles. Once combustible material reaches a certain concentration at the sample surface and the temperature becomes superheated, it would cause ignition. The finer the CB particles, the greater the specific surface area, and the faster the rate of precipitation of the volatile components when heated, the higher the degree of aggregation of combustible material on the sample surface, and the lower the superheated temperature under the same conditions. The sample ignition temperature decreases gradually with the decrease in particle size.
From Table 5, it can be seen that as the particle size of pulverized coal is reduced from 250–150 μm to 8.74 μm, Ti dropped from 629 °C to 517 °C, Tf fell from 880 °C to 816 °C, the decreases reach 112 °C and 64 °C respectively, in which the decrease of Ti was greater than the decrease of the Tf, which indicated that the reduction of the particle size of pulverized coal was beneficial to the starting combustion of pulverized coal. Simultaneously, the C and S values increase as the particle size were reduced. The increase in the C value indicated that the sample has improved the pre-combustion reaction capability and ignition performance flowing particle size reduction; this increase in the S value indicated that the overall combustion performance of the sample was improved flowing the reduction in particle size. BF gave priority to the fraction of particle size less than 8.73 μm when applying CB injecting, which was beneficial to the combustion rate of pulverized coal before the tuyere. The same phenomenon was also found by other researchers [44,45]; with decreasing particle size of pulverized coal, the combustion performance of the pulverized coal was effectively improved. The ignition temperature and combustion temperature were both decreased, the combustion time shortened, the combustion rate peak shifted towards the low-temperature zone, and S and C increased.

3.4. Combustion Process of Blends

For the following experiment, CB was ground to less than 8.74 μm based on the results of the above experiment. The impacts of different CB ratios on the combustion performance of blends were examined, as well as whether increasing the ratio of SB might lessen the negative effects of CB. Table 6 shows the experimental design, while Table 7 and Figure 3 show the results of the experiments.
From Figure 3 and Figure 4 and Table 7, it can be seen that the Ti of the blends showed a decreasing trend with the increase in SB addition. The decrease of the peak temperature of Rmax was relatively small, which was due to the change brought by the increase in the SB ratio and the rise of volatile content in blended coal, while the Tf also reflected the corresponding decrease. By increasing the ratio of bituminous coal by 3%, the combustibility can be slightly improved by increasing the ratio of CB by 2%. Due to the high content of volatile elements in SB, the volatile components escaped upon heating, forming a good gas transmission passage and facilitating ignition and combustion [46]. Since the amount of SB added was not large, the fluctuation was not obvious, but it still had an impact on the calculation of the combustion characteristic index, and the combustibility would obviously be improved after increasing the SB: CB ratio.
Beginning with a proportion of 6% CB in the blended coal, this proportion was gradually raised to 8%, 10%, and 12%. It can be seen that with the increasing proportion of CB, overall, the trend in the conversion rate curve shifted to the high temperature region. It can be seen from Table 7 that both the Ti and the Tf were increased; this change was consistent with the conclusions obtained from qualitative analysis on conversion rate curves and reaction rate curves. CB had low volatile content and high ash content. Therefore, as the proportion of CB increased, the ash content in the blended coal increased, which hindered the later combustion stage and gradually increased the burnout temperature of the blended coal. The C and the S values were decreased in schemes NO.4 to NO.6. The combustion performance of blended coal worsened, mainly due to the poorer combustion performance of CB than that of other pulverized coal. It also had a greater influence on the combustibility of the blended coal as the proportion of the mixture increased. As the proportion of CB rose above 10%, the combustion performance of the blended coal declined more significantly. For this reason, it is recommended that the proportion of CB should not exceed 10% in practical situations to ensure complete combustion of PCI in the BF, and prevent unburnt coal from entering the dead material column due to insufficient pulverized coal combustion, which may affect the smooth operation of the BF.
It can be seen from the experiment that increasing the CB ratio was not conducive to the combustion of pulverized coal. The combustibility of CB can be improved by increasing the proportion of SB when applied to BF injection, but the proportion must still be rigorously controlled.

4. Industrial Injection Test of Finely Ground CB

Based on the above analysis, it can be seen that the CB was not suitable for the quality requirements of the fuel injection of BF. Under the condition of lack of reasonable utilization, BF pulverized coal injecting with a small amount of distribution was an option. increasing the SB ratio and improving the grindability of CB, in order for the application of CB in blended coal injection to be feasible. The proportion should be no more than 10%. The test, involving the injection of finely ground CB into three BF at 3%, was initiated on 5 September 2022. When the BF was stabilized in its operation, CB was gradually dispensed up to 6% while it was expanded to three BF for concurrent use. On September 27, CB was increased to 8%, while the proportion of SB was gradually increased to 45% of the pulverized coal. Statistics on various data from 5 September to 30 September 2022 were collected for comparison and analysis from the base period.

4.1. Particle Size Change of Finely Ground CB

Due to the production characteristics of the ball mill, there was no major change in the chemical composition of the finely ground CB after increasing the moisture to 20%. Among the physical properties of CB, fine grinding had no effect on the grindability index of CB, which remained at 33. In order to ensure that the finely ground CB does not affect the subsequent coal grinding equipment, without affecting the output and particle size of the ball mill, the final determination of the finely ground CB particle size was as Table 8: less than 0.25 mm accounts for 70%, and CB particles larger than 1 mm were significantly reduced. Because of the smaller the particle size of the pulverized coal, the total surface area was increased along with the combustion rate. The finely ground CB particle size was maintained below 0.25 mm during the base period to ensure the combustion characteristics of the injected CB at the higher level.

4.2. Industrial Test of Fine-Grinded CB

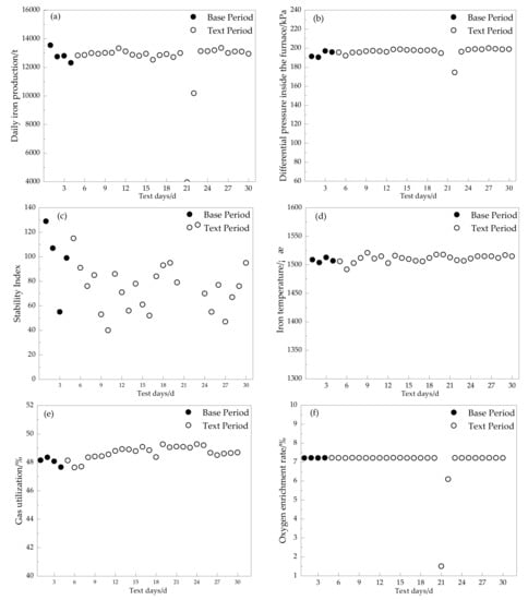
As shown in Figure 5, during the industrial test, the proportion of finely ground CB was gradually increased to 8% and the proportion of SB was increased to 45% in a stepwise manner. By capturing changes in important index parameters during BF production over time, the real impact of increasing the proportion of fine-grinded CB on smelting needs to be understood and adjustments made for later production. The focus is to examine the changes in daily iron production, differential pressure, stability index, iron temperature, gas utilization rate, oxygen enrichment rate, coke ratio and coal ratio under the addition of finely ground CB to the pulverized coal. The specific statistical results are presented in Figure 6 and Figure 7.
From Figure 6, it can be seen that with the increase in the proportion of finely ground CB, the output of the BF was increased slightly. The differential pressure in the furnace remained stable, being held at approximately 195 kPa with no significant deviations from the base period. The stability index was within the acceptable range of the BF, with no anomalous fluctuations. From the differential pressure and stability index, increasing the proportion of finely ground CB had no effect on the BF load. The temperature of molten iron was maintained around 1500 °C with a slight variation. The oxygen enrichment rate remained relatively stable. The gas utilization rate showed a small rise. The thermally stable state of the BF was maintained, which did not negatively affect the smelting process during CB injecting, and the BF functioned well.
As can be seen from Figure 7, the coke ratio of BF was maintained at 290 kg/t in the baseline period. The coke ratio showed fluctuations up and down after the addition of finely ground CB. When the ratio of finely ground CB was increased to 8%, the coke ratio was decreased to 280 kg/t. The change in coal ratio was opposite to that of coke ratio. The highest coal ratio was 169 kg/t after the ratio of finely ground CB reached 8%, and the increase was nearly 30 kg/t. It can be seen that with the increase in the ratio of finely ground CB during the test period, it is beneficial to reduce the amount of coke dispensing, reduce the combustion consumption and effectively control the smelting cost of BF.

5. Conclusions

The differences in basic performance among CB, AC and SB were systematically studied and analyzed. The combustion performance of CB at different particle sizes and the blended coal at different CB ratios were studied by thermogravimetric analysis. Industrial tests were conducted involving injecting CB. The main conclusions obtained in this study can be drawn as follows:
(1)
The particle size of CB obtained on site was 80% above 1 mm, and the HHV was higher than that of SB and lower than that of part AC, with better safety performance as well as poor grindability and combustion performance.
(2)
Reducing the particle size can effectively improve the combustion performance of CB. In the practical application of injection, CB particle sizes of less than 8.74 μm were chosen as much as possible.
(3)
Increasing the proportion of SB can improve the combustion performance of the blended coal, and its combustion performance significantly worsened after the proportion of CB dispensed exceeded 10%. In practical applications, the proportion of CB dispensed did not exceed 10%.
(4)
In the industrial tests, the proportion of finely ground CB was gradually increased to 8%, and the BF ran steadily. The coal ratio gradually rose while the fuel ratio fell after fluctuations. This indicates that addition of CB for injection will not affect the smelting of the BF.

Author Contributions

Conceptualization, Y.Y., J.W. (Junyi Wu) and G.W.; Data curation, J.W. (Junyi Wu) and G.K.; Formal analysis, Y.Y. and S.W.; Methodology, Y.Y. and J.W. (Junyi Wu); Supervision, Y.Y. and J.W. (Junyi Wu); Validation, Y.Y. and J.W. (Junyi Wu); Visualization, Y.Y.; Writing—original draft, Y.Y., J.W. (Junyi Wu) and G.K.; Writing—review and editing, Y.Y., J.W. (Junyi Wu), G.K., S.L. and J.W. (Jianlong Wu). All authors have read and agreed to the published version of the manuscript.

Funding

This work was supported by the National Natural Science Foundation of China (No. 52174295, 52074029).

Data Availability Statement

Not applicable.

Conflicts of Interest

The authors declare no conflict of interest.

References

  1. Wang, G.D. Technological innovation and development directions in the steel industry. Iron Steel 2015, 50, 1–10. [Google Scholar]
  2. Ke, Y.; Deng, Z.H. Historical review and prospect of metallurgical industry development in China. J. Wuhan Univ. Sci. Technol. (Soc. Sci. Ed.) 2003, 5, 39–43. [Google Scholar]
  3. Li, X.C. Review of the 12th five-year plan of the iron and steel industry and reflections on future development. Iron Steel 2016, 51, 1–6. [Google Scholar]
  4. World Steel Association Press Release. December 2021 and Full Year Global Crude Steel Production [EB/OL]. Available online: https//worldsteel.org/zh-hans/media-cen-tre/press-releases/2022/december-2021-crude-steel-produc-tion-and-2021-global-totals/ (accessed on 25 January 2022).
  5. National Development and Reform Commission. 2021 Chinese Crude Steel Production [EB/OL]. Available online: https://www.ndrc.gov.cn/fggz/jjyxtj/mdyqy/202201/t20220130_1314180_ext.html (accessed on 10 February 2022).
  6. Hu, J.D.; Guo, Y.L.; Zhou, W.T. Status and development of blast furnace coal injection technology. Anshan Steel Technol. 2015, 5, 7–12. [Google Scholar]
  7. Bian, C.; Liu, Y.J.; Liu, Y.L.; Wang, J.B.; Luo, M.S.; She, X.F. Interaction between blue coke and coke in blast furnace. Nonferr. Met. Sci. Eng. 2019, 10, 12–18. [Google Scholar]
  8. Wang, S.L. Measures to improve the coal injection quantity of blast furnace. Anshan Steel Technol. 2007, 1, 1–6. [Google Scholar]
  9. Wen, D.W. A review of the history of coal injection in Chinese blast furnaces. Baosteel Technol. 2005, 1, 6–9. [Google Scholar]
  10. Ma, J.B.; Fang, Y.L. Development of blast furnace coal injection technology in China. Shandong Metall. 2009, 31, 9-10,16. [Google Scholar]
  11. Xu, W.R.; Li, Z.Y.; Guo, Y.L. Production practice of economic coal injection ratio in Baosteel No.1 Blast Furnace. Ironmaking 2010, 29, 29–31. [Google Scholar]
  12. Yu, S.S.; Wei, M.; Huang, Y.M. Measures to improve the coal injection ratio of blast furnace. Liugang Sci. Technol. 2010, 2, 11–12. [Google Scholar]
  13. Zeng, Y.; Jiang, Z.; Zhang, J.L.; Zhang, N.; Teng, H.P.; Wang, G.W. Comprehensive characteristics analysis of blast furnace blowing fuel in Anshan Steel. China Metall. 2022, 32, 80-85+108. [Google Scholar]
  14. Bi, C.G.; Huang, T.C.; Ning, X.J.; Zhang, J.L.; Wang, G.W.; Peng, Z.F. Best ratio of semi-coke for blast furnace injection. Iron Steel 2020, 55, 25–32. [Google Scholar]
  15. Wang, H.Y.; Zhang, J.L.; Wang, G.W.; Zhong, X.; Tang, Q.L. Industrial trials of blast furnace blast blown quality-refining coal powder. Ironmaking 2018, 37, 24–26. [Google Scholar]
  16. Wang, G.; Xu, K.; Wang, G.W.; Wu, Y.C. Feasibility analysis of blast furnace blowing coal with addition feed system for dust removal ash. China Metall. 2022, 32, 88–96. [Google Scholar]
  17. Wang, G.W.; Zhang, J.L.; Li, J.H.; Mao, X.; Ye, L.; Xu, W.; Ning, X.; Zhang, N.; Teng, H.; Wang, C. Hydrothermal carbonization of maize straw for hydrochar production and its injection for blast furnace. Appl. Energy 2020, 266, 114818. [Google Scholar] [CrossRef]
  18. Ning, X.J.; Teng, H.P.; Wang, G.W.; Zhang, J.; Zhang, N.; Huang, C.; Wang, C. Physiochemical, structural and combustion properties of hydrochar obtained by hydrothermal carbonization of waste polyvinyl chloride. Fuel 2020, 270, 117526. [Google Scholar] [CrossRef]
  19. Chen, D.F.; Wang, J.H. The Research and Practice of Coking Coal Powder Injection at Beiying Iron Plant. In 2014 National Ironmaking Production Technology Conference and Ironmaking Academic Annual Conference, Henan, China, 13–16 May 2014, Proceedings of the Ironmaking Academic Annual Conference Proceedings; Chinese Society for Metals: Beijing, China, 2014; pp. 545–548. [Google Scholar]
  20. Zhang, L.G.; Wang, Z.Y.; Zhang, W.; Wang, L.; Han, Z.W.; Chen, G.Y. Production Practice of Injecting Coke Powder Produced by Coke Water Quenching into BF. Angang Technol. 2013, 384, 16-21+35. [Google Scholar]
  21. Han, P.; Zhan, W.L.; Zhu, H.B.; Gao, L.; Yu, Y.C.; He, Z.J.; Zhang, J.H.; Pang, Q.H. Thermal analysis and kinetic modeling of pulverized coal combustion accompanied with coke breeze. J. Iron Steel Res. Int. 2021, 28, 809–817. [Google Scholar] [CrossRef]
  22. Iwami, Y.; Yamamoto, T.; Higuchi, T.; Nushiro, K.; Sato, M.; Oyama, N. Effect of oxygen enrichment on sintering with combined usage of coke breeze and gaseous fuel. ISIJ Int. 2013, 53, 1633–1641. [Google Scholar] [CrossRef]
  23. Cheng, Z.; Yang, J.; Zhou, L.; Liu, Y.; Guo, Z.; Wang, Q. Experimental study of commercial charcoal as alternative fuel for coke breeze in iron ore sintering process. Energy Convers. Manag. 2016, 125, 254–263. [Google Scholar] [CrossRef]
  24. Sinha, M.; Chaudhary, P.; Mondal, M.; Roy, D.; Singh, A.; Sinha, S. Low Carbon Sinter Making: Use of Inert Gas to Improve Sinter RDI. ISIJ Int. 2021, 61, 2501–2506. [Google Scholar] [CrossRef]
  25. GB/T 30732-2014; Proximate Analysis of Coal-Instrumental Method. General Administration of Quality Supervision, Inspection and Quarantine of the People’s Republic of China, Standardization Administration: Beijing, China, 2014.
  26. GB/T 31391-2015; Ultimate Analysis of Coal. General Administration of Quality Supervision, Inspection and Quarantine of the People’s Republic of China, Standardization administration: Beijing, China, 2015.
  27. Channiwala, S.A.; Parikh, P.P. A unified correlation for estimating HHV of solid, liquid and gaseous fuels. Fuel 2002, 81, 1051–1063. [Google Scholar] [CrossRef]
  28. Liu, Z.L.; Jiang, Y.Y.; Shou, Q.; Wang, X.; Zhang, B. Analysis on grindability and combustion performance of biomass fuel for mixed injection of blast furnace. China Metall. 2020, 30, 8–12. [Google Scholar]
  29. Wang, G.W.; Zhang, J.L.; Shao, J.G.; Shan, R. Characterisation and model fitting kinetic analysis of coal/biomass co-combustion. Thermochim. Acta 2014, 591, 68–74. [Google Scholar] [CrossRef]
  30. Wang, G.W.; Zhang, J.L.; Hou, X.M.; Shao, J.; Geng, W. Study on CO2 gasification properties and kinetics of biomass chars and anthracite char. Bioresour. Technol. 2015, 177, 66–73. [Google Scholar] [CrossRef]
  31. Kong, D.W.; Zhang, J.L.; Lin, C.H.; Bai, Y.N. Combustion characteristics and kinetic analysis of blast furnace blended coal. J. Iron Steel Res. 2011, 23, 4–9. [Google Scholar]
  32. Li, J.; Li, S.J.; Li, B.P. Experimental analysis of lang char used as blast furnace blowing fuel. China Metall. 2019, 29, 14–18. [Google Scholar]
  33. Wang, Y.L. Analysis of the effect of particle size of pulverized coal on the analytical properties and combustion characteristics of coal. Shanxi Metall. 2022, 45, 375-376+379. [Google Scholar]
  34. Ma, B.L.; Zhang, Y.Z.; Cai, Y.Q.; Xu, Y. Research and application of feasibility index of pulverized coal for blast furnace blowing. Min. Metall. 2017, 26, 50–55. [Google Scholar]
  35. Ouyang, S.G.; Wu, T.L.; Liu, F.; Lv, Q.Q.; Fu, L.L. Research on the screening of blast furnace coal allocation scheme based on fuzzy comprehensive evaluation. Coal Qual. Technol. 2012, 175, 1-4+9. [Google Scholar]
  36. Yang, S.P.; Guo, S.Q.; Wang, M. Experimental study of blast furnace blown lan carbon. Metall. Energy 2015, 34, 33–37. [Google Scholar]
  37. Jin, L.Z.; Duan, J.; Ou, S.N.; Jia, L.Q. Research on the linear relationship between combustibility of pulverized coal and proximate analysis and ignition temperature. J. Saf. Sci. Technol. 2012, 8, 40–43. [Google Scholar]
  38. Li, X.G.; Lv, Y.; Ma, B.G.; Jian, S.W.; Tan, H.B. Thermogravimetric investigation on co-combustion characteristics of tobacco residue and high-ash anthracite coal. Bioresour. Technol. 2011, 102, 9783–9787. [Google Scholar] [CrossRef] [PubMed]
  39. Xu, Y.G.; Zhang, C.; Xia, J.; Duan, Y.H.; Yin, J.J.; Chen, G. Experimental study on the comprehensive behavior of combustion for blended coals. Asia-Pac. J. Chem. Eng. 2010, 5, 435–440. [Google Scholar] [CrossRef]
  40. Essenhigh, R.H.; Misra, M.K.; Shaw, S.W. Ignition of coal particles: A review. Combust Flame 1989, 77, 3–30. [Google Scholar] [CrossRef]
  41. Jiang, X.M.; Li, J.B.; Qiu, J.R. Study on combustion characteristics of micro-pulverized. Coal Proc. CSEE 2000, 20, 71–76. [Google Scholar]
  42. Liu, B.K.; Zhao, D.S.; Zhang, L.; Tian, J.C.; Li, J.J.; Zhang, H.L.; Zhang, L.G. Research and application of Xishan poor coal for blast furnace blowing in Anshan Steel. Anshan Steel Technol. 2018, 409, 19–25. [Google Scholar]
  43. Wang, X.T. Study on the Addition of Lang Carbon to Blast Furnace Blowing Ingredients; Anhui University of Technology: Ma’anshan, China, 2015. [Google Scholar]
  44. Zhu, Y.; Wen, W.; Li, Y.; Lu, L.; Yang, J.; Xu, M.; Pan, Y. Pyrolysis study of Huainan coal with different particle sizes using TG analysis and online Py-PI-TOF M. J. Energy Inst. 2020, 93, 405–414. [Google Scholar] [CrossRef]
  45. Yu, D.; Xu, M.; Sui, J.; Liu, X.; Yu, Y.; Cao, Q. Effect of coal particle size on the proximate composition and combustion properties. Thermochim. Acta 2005, 439, 103–109. [Google Scholar] [CrossRef]
  46. Zhang, H.; Zhang, J.L.; Xu, R.S.; Wang, G.W.; Xu, T.; Tang, Q.L. Combustion characteristics and mechanism analysis of blended coal of semi coke and bituminous coal. China Metall. 2016, 26, 7–12+30. [Google Scholar]
Figure 1. Combustion characteristic curve of different samples.
Figure 1. Combustion characteristic curve of different samples.
Energies 16 04214 g001
Figure 2. Combustion curve of CB with different particle size.
Figure 2. Combustion curve of CB with different particle size.
Energies 16 04214 g002
Figure 3. Combustion characteristic curve of CB blended coal.
Figure 3. Combustion characteristic curve of CB blended coal.
Energies 16 04214 g003
Figure 4. Enlarged area of combustion characteristic curve of CB blended coal, (a) Enlarged view of area 1; (b) Enlarged view of area 2.
Figure 4. Enlarged area of combustion characteristic curve of CB blended coal, (a) Enlarged view of area 1; (b) Enlarged view of area 2.
Energies 16 04214 g004
Figure 5. Change in finely ground CB and SB added to blast furnace.
Figure 5. Change in finely ground CB and SB added to blast furnace.
Energies 16 04214 g005
Figure 6. Change in blast furnace smelting parameters during industrial tests, (a) Daily iron production; (b) Differential pressure; (c) Stability index; (d) Iron temperature; (e) Gas utilization; (f) Oxygen enrichment rate.
Figure 6. Change in blast furnace smelting parameters during industrial tests, (a) Daily iron production; (b) Differential pressure; (c) Stability index; (d) Iron temperature; (e) Gas utilization; (f) Oxygen enrichment rate.
Energies 16 04214 g006
Figure 7. Change of fuel consumption during industrial tests; (a) Coke ratio; (b) Coal ratio.
Figure 7. Change of fuel consumption during industrial tests; (a) Coke ratio; (b) Coal ratio.
Energies 16 04214 g007
Table 1. Distribution of particle size of and CB.
Table 1. Distribution of particle size of and CB.
SamplesParticle Size Distribution/mm
<0.250.25–0.50.5–11–33–5≥5
CB0.713.4510.1036.8623.1225.76
Table 2. Proximate and ultimate analyses and high heating value of different samples.
Table 2. Proximate and ultimate analyses and high heating value of different samples.
SamplesProximate Analysis (wt%)Ultimate Analysis (wt%)HHV/(MJ·kg−1)
FCd aAdVdCdHdOd aNdSd
AC177.2011.1711.6379.203.424.471.320.4231.00
AC275.9011.4512.6577.883.295.511.100.7730.31
AC374.2212.0713.7175.661.749.180.870.4827.29
AC480.099.1010.8181.592.255.391.410.2630.39
SB57.746.6635.6071.983.7516.251.200.1727.83
CB85.3011.862.8485.080.260.901.080.8229.73
a Calculated by difference. FCd, fixed carbon, Ad, ash; Vd, volatile; d, dry basis.
Table 3. Ignition point, explosiveness and grindability of different coal samples.
Table 3. Ignition point, explosiveness and grindability of different coal samples.
SamplesIgnition Point/°CFlame Return Length /mmHGI
AC1378070
AC2371073
AC3318053
AC4378072
SB31468061
CB>480033
Table 4. Characteristic parameters of combustion of different coal samples.
Table 4. Characteristic parameters of combustion of different coal samples.
SampleRmax/(10−3·s−1)Rmean/(10−3·s−1)Ti/°CTf/°CS/10−14C/10−8
AC17.561.50483.93664.647.293.23
AC26.321.52478.81684.466.122.76
AC35.881.47415.86691.827.223.40
AC45.721.55479.09712.345.422.49
SB5.621.38349.52574.0511.064.60
CB5.931.63562.34806.853.791.88
Note: Rmax, maximum reaction rate; Rmean, mean reaction rate; Ti, initial temperature, °C; Tf, burnout temperature, °C; S, the comprehensive combustion index; C, the ignition index.
Table 5. Characteristic parameters of CB combustion at different particle sizes.
Table 5. Characteristic parameters of CB combustion at different particle sizes.
Particle Size DistributionRmax/(10−3·s−1)Rmean/(10−3·s−1) T i T f S/10−14C/10−8
250–150 μm6.161.496298802.911.56
150–106 μm6.231.526268633.011.59
106–88 μm6.291.506148583.071.67
88–74 μm6.391.506118533.091.71
74–8.74 μm6.371.495668413.651.99
<8.74 μm6.421.515178164.032.25
Table 6. Combustibility detection scheme of CB blended coal (%).
Table 6. Combustibility detection scheme of CB blended coal (%).
SamplesScheme NO.1Scheme NO.2Scheme NO.3Scheme NO.4Scheme NO.5Scheme NO.6
AC1151412121010
AC2191714171717
AC3555555
AC4131313131311
SB424550454545
CB66681012
Table 7. Characteristic parameters of CB blended coal combustion.
Table 7. Characteristic parameters of CB blended coal combustion.
Rmax/(10−3·s−1)Rmean/(10−3·s−1)Ti/°CTf/°CS/10−14C/10−8
Scheme NO.14.671.424157195.362.69
Scheme NO.24.561.414117085.382.70
Scheme NO.34.091.403956775.422.62
Scheme NO.44.361.424077155.412.70
Scheme NO.54.101.404067224.822.49
Scheme NO.64.071.394067394.782.47
Table 8. Comparison of particle size distribution and grindability index after CB fine grinding.
Table 8. Comparison of particle size distribution and grindability index after CB fine grinding.
Particle Size Distribution0.25 mm0.25–0.5 mm3–5 mm1–3 mm0.5–1 mm≥5 mmHGI
fine-grinded CB72.6120.50.381.365.080.0733
CB0.713.4510.1036.8623.1225.7633
Disclaimer/Publisher’s Note: The statements, opinions and data contained in all publications are solely those of the individual author(s) and contributor(s) and not of MDPI and/or the editor(s). MDPI and/or the editor(s) disclaim responsibility for any injury to people or property resulting from any ideas, methods, instructions or products referred to in the content.

Share and Cite

MDPI and ACS Style

Yang, Y.; Wu, J.; Liu, S.; Kan, G.; Wu, J.; Wu, S.; Wang, G. Study on the Combustion Performance and Industrial Tests of Coke Breeze in Shougang Jingtang Blast Furnace. Energies 2023, 16, 4214. https://doi.org/10.3390/en16104214

AMA Style

Yang Y, Wu J, Liu S, Kan G, Wu J, Wu S, Wang G. Study on the Combustion Performance and Industrial Tests of Coke Breeze in Shougang Jingtang Blast Furnace. Energies. 2023; 16(10):4214. https://doi.org/10.3390/en16104214

Chicago/Turabian Style

Yang, Yuzhuo, Junyi Wu, Shengtao Liu, Guangze Kan, Jianlong Wu, Shengli Wu, and Guangwei Wang. 2023. "Study on the Combustion Performance and Industrial Tests of Coke Breeze in Shougang Jingtang Blast Furnace" Energies 16, no. 10: 4214. https://doi.org/10.3390/en16104214

APA Style

Yang, Y., Wu, J., Liu, S., Kan, G., Wu, J., Wu, S., & Wang, G. (2023). Study on the Combustion Performance and Industrial Tests of Coke Breeze in Shougang Jingtang Blast Furnace. Energies, 16(10), 4214. https://doi.org/10.3390/en16104214

Note that from the first issue of 2016, this journal uses article numbers instead of page numbers. See further details here.

Article Metrics

Back to TopTop