Improving the Electrochemical Performance of Core–Shell LiNi0.8Co0.1Mn0.1O2 Cathode Materials Using Environmentally Friendly Phase Structure Control Process
Abstract
:1. Introduction
2. Experimental Procedures
2.1. Preparation of Cathode Material
2.2. Characterization of Structure and Morphology
2.3. Electrochemical Performance Test
3. Results and Discussion
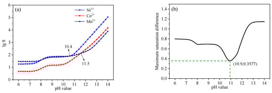
3.1. Thermodynamic Model of Co-Precipitation of Precursors
3.2. Analysis of Structure and Surface Morphology of Precursor and Cathode Materials
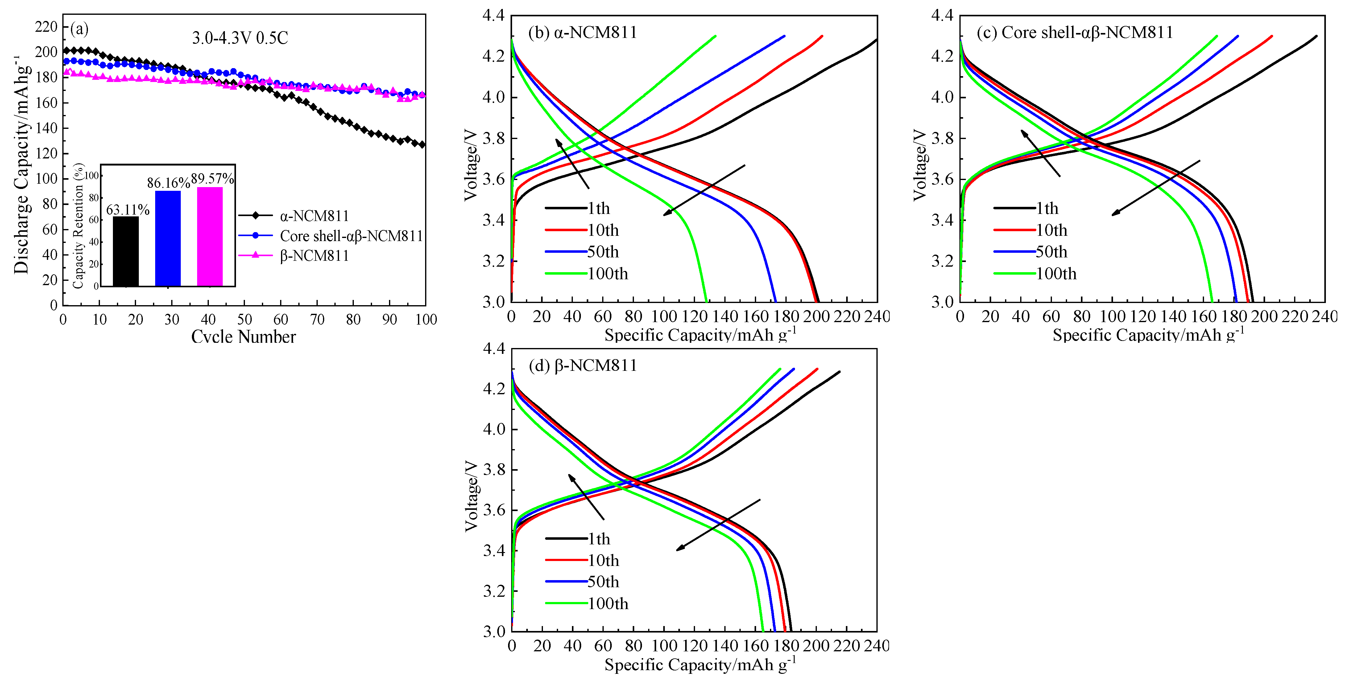
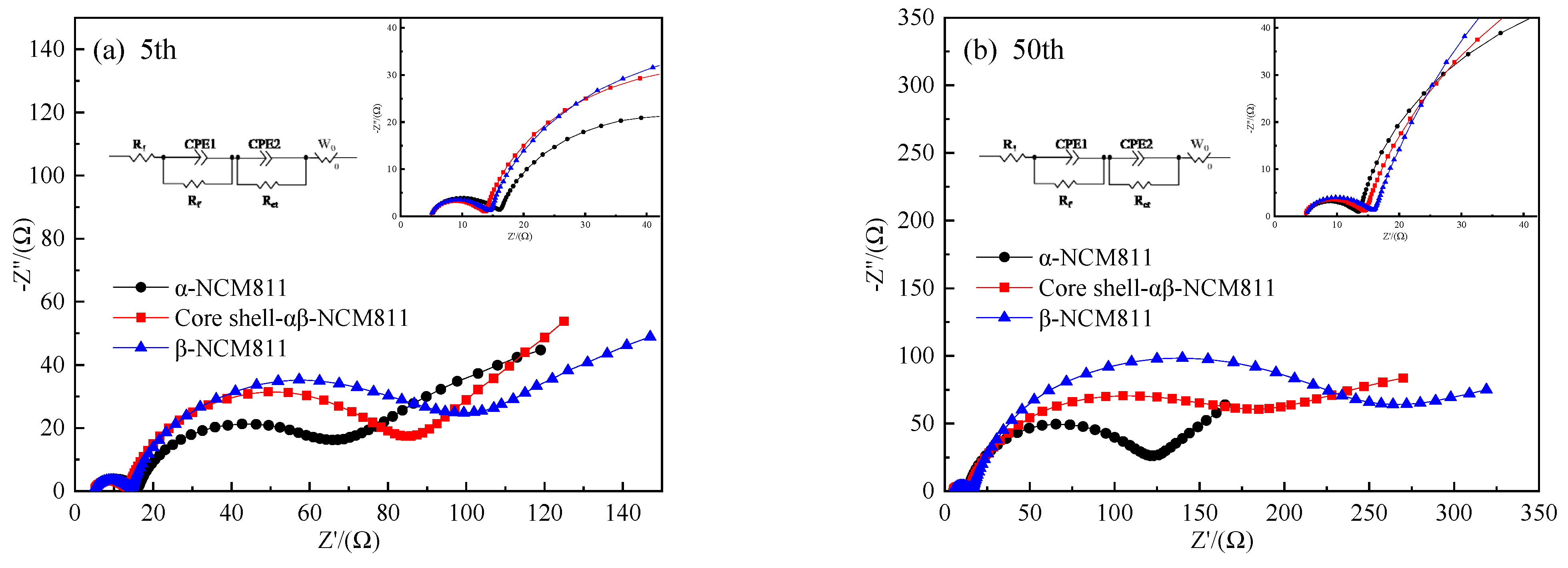
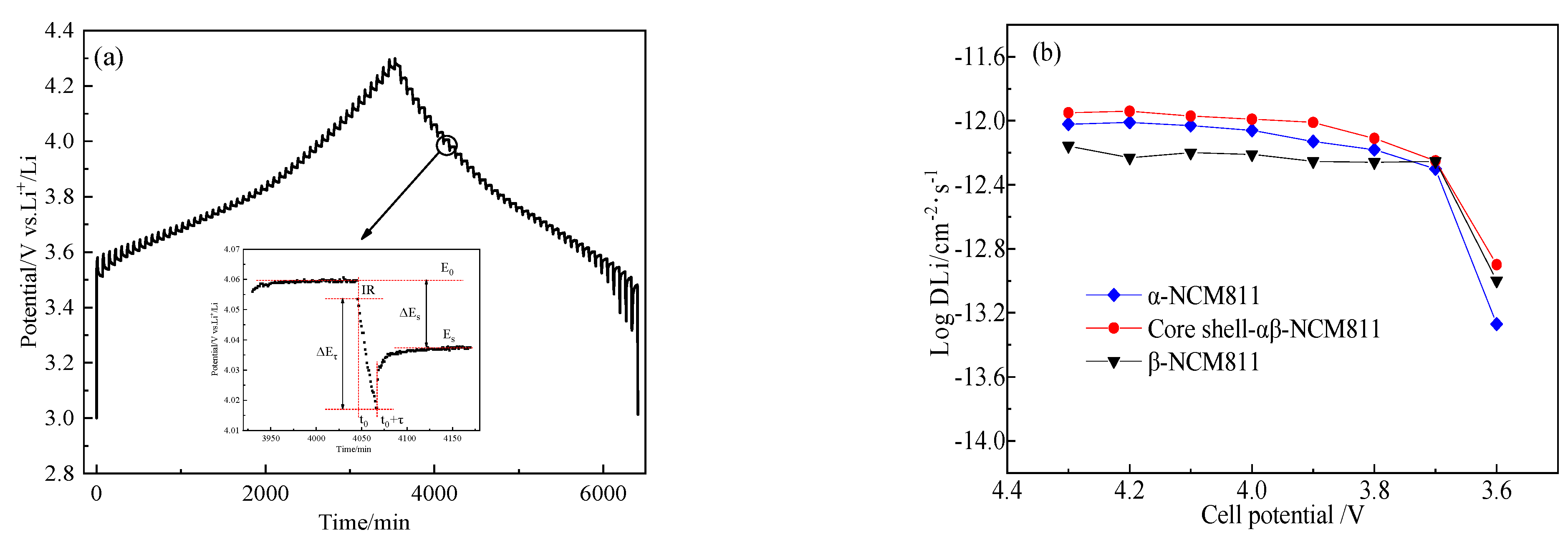
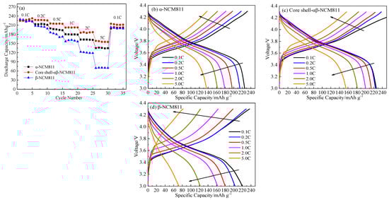
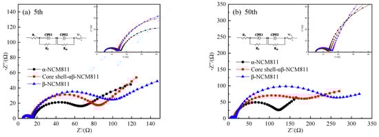
3.3. Electrochemical Properties of LiNi0.8Co0.1Mn0.1O2 Samples
4. Conclusions
Author Contributions
Funding
Data Availability Statement
Acknowledgments
Conflicts of Interest
References
- Feng, Z.; Rajagopalan, R.; Zhang, S.; Sun, D.; Tang, Y.; Ren, Y.; Wang, H. A three in one strategy to achieve zirconium doping, boron doping, and interfacial coating for stable LiNi0.8Co0.1Mn0.1O2 cathode. Adv. Sci. 2021, 8, 2001809. [Google Scholar] [CrossRef] [PubMed]
- Zhang, X.H.; Li, Z.; Luo, L.G.; Fan, Y.L.; Du, Z.Y. A review on thermal management of lithium-ion batteries for electric vehicles. Energy 2022, 238, 121652. [Google Scholar] [CrossRef]
- Zhang, X.Y.; Liu, X.; Cheng, F.Y.; Wei, P.; Xu, Y.; Sun, S.X.; Lin, H.; Shen, Y.; Li, Q.; Fang, C.; et al. Building a stabilized structure from surface to bulk of Ni-rich cathode for enhanced electrochemical performance. Energy Storage Mater. 2022, 47, 87–97. [Google Scholar] [CrossRef]
- Liu, X.; Xu, G.L.; Yin, L.; Hwang, I.; Li, Y.; Lu, L.G.; Xu, W.Q.; Zhang, X.Q.; Chen, Y.B.; Ren, Y.; et al. Probing the thermal-driven structural and chemical degradation of Ni-rich layered cathodes by Co/Mn exchange. J. Am. Chem. Soc. 2020, 142, 19745–19753. [Google Scholar] [CrossRef] [PubMed]
- Tian, F.; Ben, L.B.; Yu, H.L.; Ji, H.X.; Zhao, W.W.; Liu, Z.Z.; Monteiro, R.; Rogerio, M.R.; Zhu, Y.M.; Huang, X.J. Understanding high-temperature cycling-induced crack evolution and associated atomic-scale structure in a Ni-rich LiNi0.8Co0.1Mn0.1O2 layered cathode material. Nano Energy 2022, 98, 107222. [Google Scholar] [CrossRef]
- Tao, J.L.; Mu, A.N.; Geng, S.J.; Xiao, H.; Zhang, L.T.; Huang, Q.S. Influences of direction and magnitude of Mg2+ doping concentration gradient on the performance of full concentration gradient cathode material. J. Solid State Electrochem. 2021, 25, 1959–1974. [Google Scholar] [CrossRef]
- Chu, M.H.; Huang, Z.; Zhang, T.; Wang, R.; Shao, T.; Wang, C.Q.; Zhu, W.M.; He, L.H.; Chen, J.; Zhao, W.G.; et al. Enhancing the electrochemical performance and structural stability of ni-rich layered cathode materials via dual-site doping. ACS Appl. Mater. Interfaces 2021, 13, 19950–19958. [Google Scholar] [CrossRef]
- Liu, W.; Li, X.F.; Hao, Y.C.; Sari, H.M.; Qin, J.; Xiao, W.; Wang, X.J.; Yang, H.J.; Li, W.B.; Kou, L.; et al. An ionic conductive interface boosting high performance LiNi0.8Co0.1Mn0.1O2 for lithium ion batteries. ACS Appl. Energy Mater. 2020, 3, 3242–3252. [Google Scholar] [CrossRef]
- Kimura, N.; Seki, E.; Tooyama, T.; Nishimura, S. STEM-EELS analysis of improved cycle life of lithium-ion cells with Al2O3-coated LiNi0.8Co0.1Mn0.1O2 cathode active material. J. Alloys Compd. 2021, 869, 159259. [Google Scholar] [CrossRef]
- Chen, M.M.; Zhao, E.Y.; Chen, D.F.; Wu, M.M.; Han, S.B.; Huang, Q.Z.; Yang, L.M.; Xiao, X.L.; Hu, Z.B. Decreasing Li/Ni disorder and improving the electrochemical performances of Ni-Rich LiNi0.8Co0.1Mn0.1O2 by Ca doping. Inorg. Chem. 2017, 56, 8355–8362. [Google Scholar] [CrossRef]
- Zhang, J.D.; Wu, F.Z.; Dai, X.Y.; Mai, Y.; Gu, Y.J. Enhancing the High-Voltage cycling performance and rate capability of LiNi0.8Co0.1Mn0.1O2 cathode material by codoping with Na and Br. ACS Sustain. Chem. Eng. 2021, 9, 1741–1753. [Google Scholar] [CrossRef]
- Li, J.W.; Wang, J.J.; Lu, X.H.; Jiang, H.Y.; Zhang, Q.H.; Wang, B.; Lai, C.Y. Enhancing high-potential stability of Ni-rich LiNi0.8Co0.1Mn0.1O2 cathode with PrF3 coating. Ceram. Int. 2021, 47, 6341–6351. [Google Scholar] [CrossRef]
- Wang, H.Y.; Lin, J.; Zhang, X.D.; Wang, L.C.; Yang, J.B.; Fan, E.; Wu, F.; Chen, R.J.; Li, L. Improved electrochemical performance of LiNi0.8Co0.1Mn0.1O2 cathode materials induced by a facile polymer coating for lithium-ion batteries. ACS Appl. Energy Mater. 2021, 4, 6205–6213. [Google Scholar] [CrossRef]
- Huang, Y.; Wang, Z.X.; Li, X.H.; Guo, J.X.; Wang, J.X. Synthesis of Ni0.8Co0.1Mn0.1(OH)2 precursor and electrochemical performance of LiNi0.8Co0.1Mn0.1O2 cathode material for lithium batteries. Trans. Nonferrous Met. Soc. China 2015, 25, 2253–2259. [Google Scholar] [CrossRef]
- Moon, J.; Jung, J.Y.; Hoang, T.D.; Rhee, D.Y.; Lee, H.B.; Park, M.S.; Yu, J.S. The correlation between particle hardness and cycle performance of layered cathode materials for lithium-ion batteries. J. Power Sources 2021, 486, 229359. [Google Scholar] [CrossRef]
- Yao, J.H.; Li, Y.W.; Pan, G.L.; Jin, X.Y.; Luo, K.; Le, S.W. Electrochemical property of hierarchical flower-like α-Ni(OH)2 as an anode material for lithium-ion batteries. Solid State Ion. 2021, 363, 115595. [Google Scholar] [CrossRef]
- Qin, R.Y.; Pan, Y.P.; Duan, Z.A.; Su, H.H.; Ren, K.L.; Wang, W.F.; Li, Y.; Xi, N.; Wang, Y.; Zhang, L.; et al. Achieving high stability and rate performance using spherical nickel-zinc layered double hydroxide in alkaline solution. J. Electrochem. Soc. 2021, 168, 70539. [Google Scholar] [CrossRef]
- Xu, L.P.; Zhou, F.; Kong, J.Z.; Zhou, H.B.; Zhang, Q.C.; Wang, Q.Z.; Yan, G.Z. Influence of precursor phase on the structure and electrochemical properties of Li(Ni0.6Mn0.2Co0.2)O2 cathode materials. Solid State Ion. 2018, 324, 49–58. [Google Scholar] [CrossRef]
- Niu, X.D.; Liang, F.; Shen, Y.B.; Cheng, Y.; Wang, C.L.; Wang, C.L.; Yin, D.M.; Yan, H.Z.; Zou, B.L.; Wang, L.M. Manganese coating α-Ni(OH)2 as high-performance cathode material for Ni-MH battery. Ionics 2022, 28, 1265–1272. [Google Scholar] [CrossRef]
- Yao, J.H.; Huang, R.S.; Jiang, J.Q.; Xiao, S.H.; Li, Y.W. Lithium storage performance of α-Ni(OH)2 regulated by partial interlayer anion exchange. Ionics 2021, 27, 1125–1135. [Google Scholar] [CrossRef]
- Liang, W.J.; Wang, S.L.; Zhang, Y.X.; Gu, J.; Zhu, K.D.; Zhong, J.; Wang, X.R. β-Ni(OH)2 nanosheets coating on 3D flower-like α-Ni(OH)2 as high-performance electrodes for asymmetric supercapacitor and Ni/MH battery. J. Alloys Compd. 2020, 849, 156616. [Google Scholar] [CrossRef]
- Zhou, H.B.; Zhou, F.; Liu, Y.C.; Kong, J.Z.; Jin, C.G.; Xu, X.M. Enhanced electrochemical performances of LiNi0.8Co0.1Mn0.1O2 synthesized using the new green and low cost preparation process. J. Alloys Compd. 2020, 816, 152563. [Google Scholar] [CrossRef]
- Dean, J.A. Lange’s Handbook of Chemistry; McGraw-Hill Professional Publishing: New York, NY, USA, 2003; pp. 8.5–8.104. [Google Scholar]
- Xu, L.P.; Zhou, F.; Kong, J.Z.; Chen, Z.G.; Chen, K.M. Synthesis of Li(Ni0.6Co0.2Mn0.2)O2 with sodium DL-lactate as an eco-friendly chelating agent and its electrochemical performances for lithium-ion batteries. Ionics 2018, 24, 2261–2273. [Google Scholar] [CrossRef]
- Zhang, H.W.; Cen, T.; Tian, Y.H.; Zhang, X.J. Synthesis of high-performance single-crystal LiNi0.8Co0.1Mn0.1O2 cathode materials by controlling solution super-saturation. J. Power Sources 2022, 532, 231037. [Google Scholar] [CrossRef]
- Tahmasebi, S.; Jahangiri, S.; Mosey, N.J.; Jerkiewicz, G.; Mark, A.F.; Cheng, S.; Botton, G.A.; Baranton, S.; Coutanceau, C. Remarkably stable nickel hydroxide nanoparticles for miniaturized electrochemical energy storage. ACS Appl. Energy Mater. 2020, 3, 7294–7305. [Google Scholar] [CrossRef]
- Chung, F.H. Quantitative interpretation of X-ray diffraction patterns of mixtures. II. Adiabatic principle of X-ray diffraction analysis of mixtures. J. Appl. Crystallogr. 1974, 7, 526–531. [Google Scholar] [CrossRef]
- Lei, Y.K.; Ai, J.J.; Yang, S.; Jiang, H.Y.; Lai, C.Y.; Xu, Q.J. Effect of flower-like Ni(OH)2 precursors on Li+/Ni2+ cation mixing and electrochemical performance of nickel-rich layered cathode. J. Alloys Compd. 2019, 797, 421–431. [Google Scholar] [CrossRef]
- Yu, J.; Peng, J.X.; Huang, W.L.; Wang, L.J.; Wei, Y.B.; Yang, N.X.; Li, L.B. Inhibition of excessive SEI-forming and improvement of structure stability for LiNi0.8Co0.1Mn0.1O2 by Li2MoO4 coating. Ionics 2021, 27, 2867–2876. [Google Scholar] [CrossRef]
- Feng, L.W.; Liu, Y.; Wu, L.; Qin, W.C.; Yang, Z.B. Enhancement on inter-layer stability on Na-doped LiNi0.6Co0.2Mn0.2O2 cathode material. Powder Technol. 2021, 388, 166–175. [Google Scholar] [CrossRef]
- Huang, M.Z.; Xu, Z.; Hou, C.; Wang, S.Q.; Zhuang, Y.; Jia, H.L.; Guan, M.Y. Intermediate phase α-β-Ni1-xCox(OH)2/carbon nanofiber hybrid material for high-performance nickel-zinc battery. Electrochim. Acta 2019, 298, 127–133. [Google Scholar] [CrossRef]
- Zhang, L.; Qin, R.Y.; Pan, Y.P.; Duan, Z.A.; Li, Y.; Xi, N.; Jian, L.; Han, S.M. Boosting discharge capability of α-Ni(OH)2 by cobalt doping based on robust spherical structure. Int. J. Hydrogen Energy 2022, 47, 1083–1091. [Google Scholar] [CrossRef]
- Ding, Y.; Wang, R.; Wang, L.; Cheng, K.L.; Zhao, Z.K.; Mu, D.B.; Wu, B.R. A short review on layered LiNi0.8Co0.1Mn0.1O2 cathode electrode material for lithium-ion batteries. Energy Procedia 2017, 105, 2941–2952. [Google Scholar] [CrossRef]
- Li, Q.; Dang, R.B.; Chen, M.M.; Lee, Y.L.; Hu, Z.B.; Xiao, X.L. A synthesis method for long cycle life lithium-ion cathode material: Ni-Rich core-shell LiNi0.8Co0.1Mn0.1O2. ACS Appl. Mater. Interfaces 2018, 10, 17850–17860. [Google Scholar] [CrossRef] [PubMed]
- Peng, S.Y.; Kong, X.B.; Li, J.Y.; Zeng, J.; Zhao, J.B. Alleviating the storage instability of LiNi0.8Co0.1Mn0.1O2 cathode materials by surface modification with poly (acrylic acid). ACS Sustain. Chem. Eng. 2021, 9, 7466–7478. [Google Scholar] [CrossRef]
- Shin, Y.; Maeng, S.; Chung, Y.; Krumdick, G.K.; Min, S. Core–Multishell-Structured Digital-Gradient cathode materials with enhanced mechanical and electrochemical durability. Small 2021, 17, 2100040. [Google Scholar] [CrossRef]
- Sun, Q.; Hu, G.R.; Peng, Z.D.; Cao, Y.B.; Zhu, F.J.; Zhang, Y.J.; Gao, H.C.; Du, K. Achieving a bifunctional conformal coating on nickel-rich cathode LiNi0.8Co0.1Mn0.1O2 with half-cyclized polyacrylonitrile. Electrochim. Acta 2021, 386, 138440. [Google Scholar] [CrossRef]
- Liu, W.; Li, X.F.; Hao, Y.C.; Xiong, D.B.; Shan, H.; Wang, J.J.; Xiao, W.; Yang, H.J.; Yang, H.; Kou, L.; et al. Functional Passivation Interface of LiNi0.8Co0.1Mn0.1O2 toward Superior Lithium Storage. Adv. Funct. Mater. 2021, 31, 2008301. [Google Scholar] [CrossRef]
- Yu, H.F.; Cao, Y.Q.; Chen, L.; Hu, Y.; Duan, X.Z.; Dai, S.; Li, C.Z.; Jiang, H. Surface enrichment and diffusion enabling gradient-doping and coating of Ni-rich cathode toward Li-ion batteries. Nat. Commun. 2021, 12, 4564. [Google Scholar] [CrossRef]
- Guo, Z.X.; Jian, Z.Q.; Zhang, S.; Feng, Y.Y.; Kou, W.Z.; Ji, H.M.; Yang, G. The effect of Ni oxidation state on the crystal structure and electrochemical properties of LiNi0.8Co0.1Mn0.1O2 cathode material for highly reversible lithium storage. J. Alloys Compd. 2021, 882, 160642. [Google Scholar] [CrossRef]
- Zhang, H.; Zhang, J. An overview of modification strategies to improve LiNi0.8Co0.1Mn0.1O2 (NCM811) cathode performance for automotive lithium-ion batteries. eTransportation 2021, 7, 100105. [Google Scholar] [CrossRef]
- He, W.; Guo, W.B.; Wu, H.L.; Lin, L.; Han, X.; Xie, Q.H.; Liu, P.F.; Zheng, H.F.; Wang, L.S.; Yu, X.Q.; et al. Challenges and recent advances in high capacity Li-Rich cathode materials for high energy density lithium-ion batteries. Adv. Mater. 2021, 33, 2005937. [Google Scholar] [CrossRef] [PubMed]











| Name | Q1 | Q2 | Q3 | Q4 |
|---|---|---|---|---|
| Reaction time | 14 h | 14 h | 14 h | 14 h |
| Reaction condition 1 | pH = 10 Temperature 55 °C Stir for 2 h | pH = 10 Temperature 55 °C Stir for 2 h | pH = 10 Temperature 55 °C Stir for 2 h | pH = 11.5 Temperature 65 °C Stir for 2 h |
| Intermediate step | Nothing | Added 100 mL deionized water | Added 100 mL metal mixed solution | Nothing |
| Reaction condition 2 | pH = 10 Temperature 55 °C Stir for 12 h | pH = 11.5 Temperature 65 °C Stir for 12 h | pH = 11.5 Temperature 65 °C Stir for 12 h | pH = 11.5 Temperature 65 °C Stir for 12 h |
| No. | Reaction | lgKB |
|---|---|---|
| 1 | H2O = H+ + OH− | lgKw = −14.00 |
| 2 | HL = L− + H+ | lgKa = −3.858 |
| 3 | Ni2+ + L− = NiL+ | lgKNL = 2.22 |
| 4 | Ni(OH)2(s) = Ni2+ + 2OH− | lgKspNi = −15.26 |
| 5 | Ni2+ + OH− = Ni(OH)+ | lgβNi1 = 4.97 |
| 6 | Ni2+ + 2OH− = Ni(OH)2 | lgβNi2 = 8.55 |
| 7 | Ni2+ + 3OH− = Ni(OH)3− | lgβNi3 = 11.33 |
| 8 | Co2+ + L− = CoL+ | lgKCL = 1.90 |
| 9 | Co(OH)2(s) = Co2 + +2OH− | lgKspCo = −14.23 |
| 10 | Co2+ + OH− = Co(OH)+ | lgβCo1 = 4.3 |
| 11 | Co2+ + 2OH− = Co(OH)2 | lgβCo2 = 8.4 |
| 12 | Co2+ + 3OH− = Co(OH)3− | lgβCo3 = 9.7 |
| 13 | Co2+ + 4OH− = Co(OH)42− | lgβCo4 = 10.2 |
| 14 | Mn2+ + L− = MnL+ | lgKML = 1.43 |
| 15 | Mn(OH)2(s) = Mn2+ + 2OH− | lgKspMn = −12.72 |
| 16 | Mn2+ + OH− = Mn(OH)+ | lgβMn1 = 3.9 |
| 17 | Mn2+ + 3OH− = Mn(OH)3− | lgβMn3 = 8.3 |
| Ion Name | Ni2+ | Co2+ | Mn2+ |
| Precipitate equilibrium constant (without sodium lactate) | 1015.26 | 1014.23 | 1012.72 |
| Precipitation equilibrium constant (with sodium lactate) | 108.49 | 107.90 | 108.18 |
| Samples | a(Å) | c(Å) | c/a | V(Å3) | I(003)/I(104) | I(006 + 102)/I101 |
|---|---|---|---|---|---|---|
| α-NCM811 | 2.8649 | 14.2245 | 4.9651 | 101.24 | 1.6450 | 0.4536 |
| core–shell-αβ-NCM811 | 2.8659 | 14.2134 | 4.9595 | 100.90 | 1.8917 | 0.4516 |
| β-NCM811 | 2.8747 | 14.2221 | 4.9474 | 101.78 | 1.8594 | 0.4018 |
| Samples | A1 | A2 | A3 |
|---|---|---|---|
| α-NCM811 | 2.091 × 10−4 | 2.013 × 10−4 | 2.006 × 10−4 |
| core shell-αβ-NCM811 | 2.051 × 10−4 | 2.027 × 10−4 | 2.016 × 10−4 |
| β-NCM811 | 1.985 × 10−4 | 1.961 × 10−4 | 1.958 × 10−4 |
| Samples | Cycle Number | R1 | Rf | Rct | W0 |
|---|---|---|---|---|---|
| α-NCM811 | 5th | 5.04 | 9.02 | 38.03 | 319.7 |
| 50th | 5.02 | 10.53 | 93.25 | 439.4 | |
| core shell-αβ-NCM811 | 5th | 4.99 | 8.40 | 78.73 | 288.8 |
| 50th | 4.96 | 8.63 | 174.90 | 512.4 | |
| β-NCM811 | 5th | 4.93 | 8.04 | 92.48 | 470.3 |
| 50th | 5.12 | 10.00 | 188.7 | 562.3 |
Disclaimer/Publisher’s Note: The statements, opinions and data contained in all publications are solely those of the individual author(s) and contributor(s) and not of MDPI and/or the editor(s). MDPI and/or the editor(s) disclaim responsibility for any injury to people or property resulting from any ideas, methods, instructions or products referred to in the content. |
© 2023 by the authors. Licensee MDPI, Basel, Switzerland. This article is an open access article distributed under the terms and conditions of the Creative Commons Attribution (CC BY) license (https://creativecommons.org/licenses/by/4.0/).
Share and Cite
Xu, L.; Tian, C.; Bao, C.; Zhao, J.; Leng, X. Improving the Electrochemical Performance of Core–Shell LiNi0.8Co0.1Mn0.1O2 Cathode Materials Using Environmentally Friendly Phase Structure Control Process. Energies 2023, 16, 4149. https://doi.org/10.3390/en16104149
Xu L, Tian C, Bao C, Zhao J, Leng X. Improving the Electrochemical Performance of Core–Shell LiNi0.8Co0.1Mn0.1O2 Cathode Materials Using Environmentally Friendly Phase Structure Control Process. Energies. 2023; 16(10):4149. https://doi.org/10.3390/en16104149
Chicago/Turabian StyleXu, Lipeng, Chongwang Tian, Chunjiang Bao, Jinsheng Zhao, and Xuning Leng. 2023. "Improving the Electrochemical Performance of Core–Shell LiNi0.8Co0.1Mn0.1O2 Cathode Materials Using Environmentally Friendly Phase Structure Control Process" Energies 16, no. 10: 4149. https://doi.org/10.3390/en16104149
APA StyleXu, L., Tian, C., Bao, C., Zhao, J., & Leng, X. (2023). Improving the Electrochemical Performance of Core–Shell LiNi0.8Co0.1Mn0.1O2 Cathode Materials Using Environmentally Friendly Phase Structure Control Process. Energies, 16(10), 4149. https://doi.org/10.3390/en16104149

