Abstract
Tight sandstone reservoirs are of interest due to their potentially favorable prospects for hydrocarbon exploration. A better understanding of tight sandstone outcrop reservoir characteristics and their influencing factors is thus needed. By laboratory observation, thin section analysis, and experimental analysis, the current work carried out a detailed investigation of densely sampled tight sandstone outcrops of the Shanxi Formation in the Liujiang River Basin, paving the way for further research on rock types, reservoir spatial distribution, physical properties, and their key controlling factors. The application of the Pressure Pulse Attenuation Method made it possible to determine the porosity and permeability, as well as the analysis of debris composition and filling content. The findings indicate that the main rock type of the tight sandstone outcrop reservoirs in the Shanxi Formation in the Liujiang River Basin is lithic quartz sandstone, some of which contains fine sand-bearing argillaceous siltstone, giving them very low porosity (average porosity of 4.34%) and low permeability (average permeability of 0.023 mD) reservoirs. Secondary pores—mostly dissolved pores among and in grains—are widely developed in the target region. In addition, diagenesis primarily includes mechanical compaction, cementation, and dissolution. The main controlling factors of tight sandstone reservoirs in the target region are sedimentation, diagenesis, and tectonics, whereby sedimentation affects reservoir physical properties that become better as the clast size increases, reservoir properties are negatively impacted by compaction and cementation, and reservoir properties are somewhat improved due to dissolution and the impact of tectonism. In addition, the tilt of the crust will produce faults during the tectonic action, generating reservoir cracks that improve the reservoir’s physical properties. This study tends to be helpful in the prediction of high-quality reservoirs in the Permian Shanxi Formation in North China and can also be used for analogy of high-quality reservoirs in similar areas with complete outcrops.
1. Introduction
With the global depletion of traditional oil and gas resources and the expansion of hydrocarbon exploration, unconventional oil and gas have emerged as potential fuel resources [1,2,3,4,5,6,7,8,9]. China is rich in unconventional oil and gas resources, which drives it to be a big player in the hydrocarbon exploration and development [10]. According to SY/T6832-2011, the porosity of the tight sandstone reservoir is less than 10%, with the permeability less than 0.1 × 10−3 μm2. The tight sandstone reservoir has rapidly developed into one of the most significant sources of unconventional oil and gas during the past decade [11,12,13,14,15,16,17,18], owing to the enormous reserves and wide distribution in China, U.S.A., Canada, Russia, and others, among which the Sugri tight gas reservoir in Ordos Basin is the most representative [19,20,21,22,23,24,25,26,27]. However, tight oil reservoirs in China are generally dense in lithology with more complicated pore structure and seepage law, making it difficult to exploit. Hence, it requires extensive reformation before it has commercial worth. In recent years, Chinese scientists have made a deep study on the characteristics, diagenesis, and formation mechanism of tight sandstone reservoirs. They have also accomplished some achievements, such as the physical properties and hetergeneity of tight sandstone [28,29,30,31]. The tight sandstone reservoir is characterized by low porosity, ultra-low permeability, and a dramatic change of physical properties and heterogeneity [32,33,34,35,36], whose influencing factors are rather complicated. By and large, the sandstone reservoirs vary due to the interaction of different tectonic settings, sedimentary environments, and diagenetic processes [25,37,38,39,40,41,42,43,44] where more work remains to be done [45,46,47]. However, the tight sandstone reservoirs of the upper Paleozoic in the Liujiang River Basin have not been studied thoroughly, though their characteristics and controlling factors are of highly practical and theoretical value. In this paper, the characteristics and influencing factors of tight sandstone reservoirs are studied in depth, underpinning further hydrocarbon exploration.
This research uses Dashihe continuous outcrops of the Liujiang River Basin as an example to address the aforementioned issues; the outcrop data access is direct, accurate, and verifiable [48]. Microscopic studies can obtain rock information and rock physical parameters [49,50]. By the thin section making and identification, and its comprehensive analysis, the detrital grain composition, size grades, types of cementation, porosity features, and physical characteristics of clastic particles in tight sandstone reservoir rock are examined with an intensive sampling of the outcrops, leading to a further understanding of such reservoirs. Moreover, studies on sedimentation and diagenesis revealed their controlling factors. Findings can serve as a geological foundation for future oil and gas development, as well as an analogical study of related reservoirs.
2. Geological Setting
The Liujiang River Basin is an NNE syncline that is steep in the west and gentle in the east. It is situated in Shimenzhai county, 28 km to the northeast of Qinhuangdao of Hebei Province in North China, covering a total area of approximately 180 km2 [51,52]. Additionally, the Dashihe River flows into the Bohai Sea via the south of Shanhaiguan (a pass northeast of the Qinhuangdao city), resulting in the development of river terraces [53]. The current study concentrates on the Permian Shanxi Formation, which is fluvially deposited and one of the significant coal seams in the target region. It is mainly found in the regions of Shimenzhai Ximen, Xiaowangshan, and Heishanyao. The bed of interest is in conformable contact with the underlying Taiyuan Formation and the overlying Shihezi Formation, whose lithology mainly features gray, gray–black medium-fine-grained greywacke, siltstone, carbonaceous shale, and clay rock [54]. Moreover, the sampling point is mainly the positive cycle structure of rock particle size gradually thinning from bottom to top, which is characterized by a high content of quartz, some containing gravel, a great single layer thickness, the average about 1 m, a good continuity in outcrops rock, and occurrence of each stratum is similar [55] (Figure 1).
Figure 1.
Geological map and sampling location map of the study area.
3. Samples and Methods
The sampling site is located in the Dashihe River valley, 500 m to the west of Shimenzhai, with less residual loose sediment on its bottom, which leads the stratum there to a thorough exposure in the dry season from March to April every year [53,56]. In addition, the sampling area is a rectangle of 42 m × 10 m, and the attitude of the bed is SE 150°, 13° (Figure 2b). The sampling area was vertically divided into 12 layers, and 21 samples were selected in each layer at intervals of 2 m horizontally. Moreover, three infilling samples were added between 10 m and 12 m in each layer to scrutinize the lateral changes of the reservoir. A total of 288 samples were thus selected, as shown in Figure 2c.
Figure 2.
Outcrop map of Dashi River Valley and schematic sampling scheme (a)—study area location map, (b)—outcrop of the study area, (c)—sampling diagram of the study area.
Samples were arranged to drill, at a diameter of 2.5 cm and length of 6 cm, in the direction of rock layers and their vertical sections, labeled by “H” and “V,” respectively. In light of their lithologic features and feasible drilling possibilities, 432 columnar samples were available. Additionally, a total of 288 casting sheet samples were ultimately attained after prefabricate processing of samples in size of 3 cm × 3 cm × 2 cm.
The thin slices were prepared according to the standard SY/T5913-94 of the petroleum industry: (1) Cut the rock into a square shape; (2) Grind the rock samples with different particle sizes; (3) Put rock samples into the melted rosin to boil the glue; (4) Put the rock sample on the slide on the grinding plate, continue grinding, and observe the color with a microscope until it meets the standard; (5) Immerse the finished product in alcohol, clean the surface gum, and dry it, and then place it in the sheet box according to the number. The temperature in the laboratory was fixed at 26 °C and the humidity at 30%, and the sample preparation was in accordance with the instructions in Thin Section Examination of Rock (SY/T 5368-2000). Moreover, blue methyl methacrylate and Canadian gum adhesive were selected, while a ZEISS Axio Lab.A1 pol was employed to observe thin sections and take their photos. As was shown in Figure 2c, the porosity and permeability of samples in red were measured by the pulse. Specifically speaking, the porosity meter that was built in the PDP200 permeability meter was used in order to calculate the pore volume on both the beginning and end states based on Boyle’s law [57]. In addition, helium was taken advantage of to make the calculation more accurate, which can touch smaller rock pores. Meanwhile, the permeability was measured by the PDP200 permeability meter, which has an unconventional measurement due to the more efficient and accurate pressure pulse attenuation method. This method is suitable for the indoor precision permeability test of tight reservoirs and is free from the sample shape. It can thus avoid the influence of natural fractures, and the measurement results are of high accuracy [58].
4. Results
4.1. Petrological Properties
4.1.1. Clastic Composition and Features
Outcrops of the Dashihe River valley in the Liujiang River Basin were mainly seen in the Permian Shanxi Formation, which has a lithology characterized by gray and gray–brown lithic quartz sandstone, followed by fine sand-bearing argillaceous siltstone, with the grain composition being quartz, less debris, and little feldspar (Figure 3). Specifically speaking, the lithology of feldspar, mainly plagioclase, was composed of debris quartz sandstone, including 78–88% quartz (average 83%), 8–22% cuttings (average 13%), and 0–6% feldspar (average 3.6%). In general, the composition of quartzes contained a small amount of chert, and rock debris is mainly igneous rock debris and a small amount of sedimentary rock and metamorphic rock cuttings.
Figure 3.
Q F L diagram in the outcrop area [59].
The grain size of the rock tended to be finer from bottom to top, indicating a positive-cycle-size grading (Figure 4). Additionally, strata became thinner while the sandstone particles were becoming poorly sorted and rounded from the bottom up in outcrops, with obvious distinctions in Layers 1–12. Generally speaking, the sorting in Layers 1–6 and the rounding in Layers 1–3 (sub-round-round) were the best, while the sorting in Layers 7–8 and the rounding in Layers 4–10 (sub-angular-sub-round) were moderate, and the sorting in Layers 9–12 and the rounding in Layers 11–12 (sub-angular) were the poorest. In addition, the stratigraphic contact relationship was chiefly linear, except for the point–line contact in Layers 9–12. Moreover, porous cementation could be widely identified along with a small amount of secondary enlargement, contact cementation, and basal cementation, while all strata in the target region were grain-supported (Figure 5).
Figure 4.
Grain size distribution map of rock layers in outcrop area.
Figure 5.
Typical thin slice photos of the study area (a)—broken quartz, (b)—high shale content, (c)—quartz secondary enlargement, (d)—kaolinite cementation, (e)—mold pore, (f)—hematite, (g)—shale cementation, (h)—muscovite cementation, (i)—macropore.
4.1.2. Filling Features
After microscopic identification of thin sections, it was found that the content of fillings in the tight sandstone reservoir was low and varied greatly in the target region, where the matrix and cement, covering 8.5–35% with an average of 22.2%, were predominant.
The total content of matrix was about 2–29% in total; it was mainly argillaceous and with few silty. In Layers 1–8, the lithology of this section was quartz sandstone, and the matrix content was 2–13% with an average of 5.53%. Meanwhile, the lithology became argillaceous siltstone in Layers 9–12, and the content rose to 23–29% with an average of 26.8%. As the rock’s particle size gradually becomes finer, the lithology changes to argillaceous siltstone, and the content of the argillaceous matrix becomes higher.
Cements were found to be quartz secondary enlargement, chalcedony, muscovite, and kaolinite. In Layers 1–8 (except Layer 7), the content of cements that varied greatly between layers was higher than that of matrices, whose content was approximately 2–15% with an average of 11.3%, while the content decreased to 6–7% with an average of 6.7% and contained inconspicuous changes, which were far less than that of the matrices in Layers 9–12 (Figure 6).
Figure 6.
Histogram of rock interstitial species and content in each layer in the study area.
4.2. Space Types
After the observation of casting samples, as well as investigations into structural natures and the evolvement of the pores in light of their distribution [60,61], reservoir pores in outcrops of the target region could be divided into primary and secondary ones.
4.2.1. Primary Pores
The primary pores were lesser in the target region, accounting for only 9% of the total, which were residual intergranular ones as unfilled parts of intergranular pores by clay minerals in the shape of a triangle or irregular polygon with good connectivity (Figure 7a,b).
Figure 7.
Rock storage space type map of outcrop area (a,b)—Intergranular residual pores; (c,d)—intergranular dissolution pore; (e,f)—intragranular dissolution pore; (g,h)—extra-large pore; (i,j)—Mold pore; (k,l)—rock fracture.
4.2.2. Secondary Pores
The secondary pores, including some fractures, are those generated by the tectonic stress in the process of post-sedimentation and diagenesis that covers the dissolution and diagenetic shrinkage [62,63,64].
- Dissolved pores between grains
As one of the most significant reservoir spaces in the target region, dissolved pores between grains were widely found, accounting for more than 50% of the total (Figure 8). They resulted from the enlargement of pores led by the dissolution of debris particles or interstitial matters and were mostly in irregular shapes with good connectivity. Specifically speaking, dissolved pores between grains in the target region were mainly dissolved feldspar, cuttings, clay minerals, etc. (Figure 7c,d).
Figure 8.
Bar diagram of pore types and content of each reservoir in outcrop area.
- 2.
- Dissolved pores in grains
As major reservoir space, dissolved pores in grains with a wide distribution were formed by the dissolution in grains where unstable minerals were dissolved, which appeared to be honeycomb-like or network-like. Additionally, dissolved feldspar pores and cuttings pores were common (Figure 7e,f).
- 3.
- Macropores
As an indicator of the intensive dissolution where debris particles could be completely dissolved, ultra-large pores, of which the diameter was more than 1.2 times that of any particle around [65], occurred in some regions with stronger dissolution, accounting for about 7% of the total (Figure 7g,h).
- 4.
- Mold pores
Due to the complete dissolution of feldspar and bioclastic in the reservoir, mold pores came into being, which didn’t destroy the original grain shape [66,67,68]. Despite low content, mold feldspar and cuttings pores could be found in the target region (Figure 7i,j).
- 5.
- Intercrystalline pores and micro-fractures
Intercrystalline pores, the pores between the cements and the matrices, were found in small and close kaolinite, while ones with poor connectivity were found in the target region. On the other hand, as intergranular and intragranular fractures, micro-fractures were derived from late tectonics and compaction, accounting for about 5% of the total (Figure 7k,l).
4.3. Physical Properties
The porosity of tight sandstone reservoirs in outcrops of the Shanxi Formation ranged from 0.05% to 9%, with an average of 4.34%. The porosity of the samples, in the vertical (V) direction, was between 0.05% and 7.6%, mainly in the range of 3–7%, with an average of 4.31%. The standard deviation was 1.76, while in the horizontal (H) direction, the porosity was between 1.34% and 8.89%, mainly in the range of 3–7% with an average of 4.9%. In general, primary distribution intervals in both directions showed the same trend, and the average and maximum porosity in the H direction were slightly larger than those in V (Figure 9a).
Figure 9.
(a) Maps of porosity in vertical and horizontal planes; (b) Maps of permeability in vertical and horizontal planes; (c) Cross-plot of porosity and permeability.
The permeability of those samples ranged below 0.098 mD, with an average of 0.023 mD. Among them, the permeability in the V direction was between 0.00007 mD and 0.09857 mD, mainly in the range of 0.001–0.1 mD, with an average of 0.0157 mD. In the H direction, the permeability was between 0.00005–0.3375 mD, mainly in the range of 0.001–0.1 mD with an average of 0.16289 mD. By and large, principal distribution intervals in both directions exhibited the same tendency, with the average and maximum permeability in the H direction being greater than those in V (Figure 9b).
A comprehensive analysis of the above data could reveal that the tight sandstone reservoirs in outcrops were those with extra-ultra-low porosity and extra-low permeability. Additionally, the frequency histogram and the porosity–permeability cross-plot showed that there was not much difference in the sample analysis in both directions, indicating the consistency of physical properties of tight sandstone reservoirs, which had an identical linear relationship; that is, the porosity was proportional to the permeability. In light of their bad correlation, the tight sandstone reservoir in the target region was believed to have a complicated pore structure and strong heterogeneity (Figure 9c).
4.4. Diagenesis
4.4.1. Mechanical Compaction
As one of the dominating factors, compaction tends to deteriorate the porosity of the clastic rock, which can be determined by the contact between particles [69,70]. For instance, the compaction in the target region destroyed the porosity of the tight sandstone reservoir in the Shanxi Formation. In other words, the mechanical compaction greatly reduced the primary porosity of the reservoir and forced cuttings to deform. Two types of compaction occurred in the target region, and in Layers 1–8, it was characterized by: (1) Linear contact between particles (Figure 10a,b); (2) The fracturing of rigid particles; (3) The deterministic arrangement of clastic particles along the long axis; and (4) The pseudo matrix derived from cuttings deformation, filling the pores. Additionally, fillings were more prevalent in Layers 9–12, due to the absence of clastic constituents, and it was characterized by: (1) Primary pores found nowhere on the casting thin section; (2) A pseudo matrix derived from cuttings deformation, filling the pores.
Figure 10.
Rock formation type map of the outcrop area (a,b)—Linear contact; (c,d)—Quartz overgrowth; (e–g)—Chalcedony cementation; (h,i)—Kaolinite cementation; (j,k)—Hydromuscovite cementation; (l)—Hematite cementation; (m,n)—Argillaceous cementation; (o)—Intercrystalline micropores.
4.4.2. Cementation
Cementation is an additional significant element influencing reservoir porosity. As one of the primary causes of degraded reservoir quality, it has a higher impact on reservoir porosity than compaction [71,72,73]. In the target region, the most common forms of cementation included siliceous cementation, clay mineral cementation, ferruginous cementation, and argillaceous cementation.
- Siliceous cementation
Siliceous cementation, including quartz cementation (Figure 10c,d) and chalcedony cementation (Figure 10e–g) in the target region, plays a role in degrading the sandstone reservoir quality [74,75]. Quartz cementation was characterized by the quartz secondary enlargement, resulting from the dissolving enlargement due to later dissolution, which completely or partially wrapped quartz particles in the reservoir and mostly filled in intergranular pores with a small number of microcrystals in dissolved pores. On the other hand, chalcedony seemed to be radial, fibrous, and granular aggregates in the thin-section microscope photos, and the interference color changed to blue and yellow after adding the gypsum test board. Generally speaking, all siliceous cements blocked pore-throat space, deteriorating reservoir physical properties.
- 2.
- Clay mineral cementation
The total clay mineral concentration ranged from 0 to 5.55%, which often precipitated in the pore throat, diminished the physical properties, and degraded the reservoir. The samples included two types of clay minerals: kaolinite (0–3.25%) and hydromuscovite (0–2.3%), respectively. Kaolinite was an essential kind of clay mineral of the Shanxi Formation, typically formed by the dissolution of unstable feldspars. Under the microscope, kaolinite appeared in the form of leaves and tiny holes, while pseudo-hexagonal sheets filled the intragranular and intergranular pores with a clear outline. There were sufficient intercrystalline micropores, which split big pores into tiny ones (Figure 10h,i). Hydromuscovite, on the other hand, was discovered to have a scale-like or curved sheet-like appearance, as well as a high interference color and multicolored presence (Figure 10j,k).
- 3.
- Ferruginous cementation
The ferruginous minerals in the target region were mainly hematite and limonite. The ferruginous cements bound the micropores of the rocks and filled a portion of the pores. The content of ferruginous minerals in samples from Layers 9–12 was relatively high, up to 4%, which appeared dark brown under the microscope and bright yellow against the reflected light (Figure 9l).
- 4.
- Argillaceous cementation
The argillaceous cements were widely found in Layers 9–12, and the fine-grained ones irregularly filled in the gaps among grains, which appeared yellow–brown under a single polarized light and black under orthogonal light, as well as opaque.
4.4.3. Dissolution
Some acidic materials tend to dissolve sedimentary rock components, such as clastic particles, matrices, and cements in the target region where dissolution was quite prevalent [76,77,78]. Secondary pores thus come into being, which contributes to the enhancement of the physical conditions of the reservoir. Additionally, the dissolution resulted in the development of intra-granular dissolved pores, inter-granular dissolved pores, moldic pores, super-macropores, and intercrystalline micropores.
5. Discussion
There are many factors that affect the physical properties of one reservoir, embodied in the source material, sedimentation, diagenesis, and tectonics [60,61,62,63,64,65,71,72,73,74,75,76,77,78,79,80,81]. Furthermore, the interior of the reservoir is influenced by its source material and sedimentation, and diagenesis can deteriorate its physical conditions, while tectonics is conducive to the improvement of physical properties. The ultimate physical properties are thus determined by incorporating all influencing factors.
5.1. Sedimentation
5.1.1. Sedimentary Facies
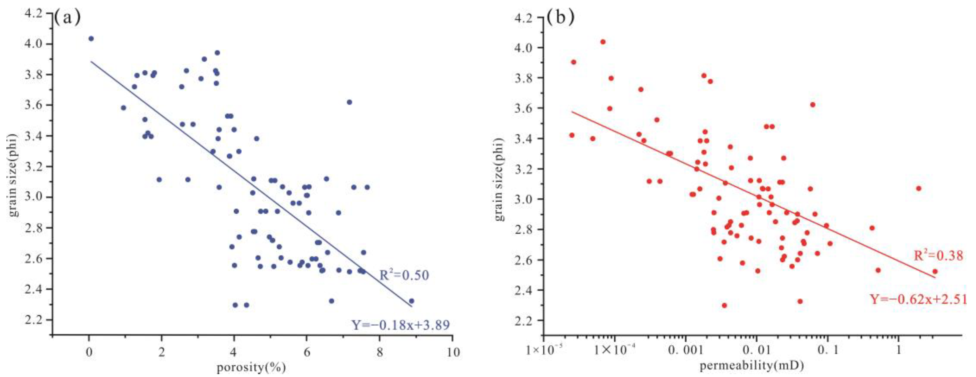
As the material basis of reservoir development, sedimentation, including clastic particle size, sorting, grinding, etc., has a substantial effect on reservoir physical properties as well as its diagenesis [82,83]. Source materials provided sufficient provisions for the target reservoir, the bottom of the Shanxi Formation, whose continental fluvial facies resulted from moderate tectonic movements without uneven landform and strong water forces, where a brief intrusion of seawater occurred at the same time [84,85]. Additionally, the positive cycle in the target reservoir was apparent despite its unchanging sedimentary microfacies from the bottom to the top, whereas grain sizes varied with the increasing distance from the water source. It was characterized by medium coarse- and lithic-bearing quartz sandstone in Layers 1–8, and fine sand-bearing argillaceous siltstone in Layers 9–12. Following a careful investigation, it was possible to conclude that the reservoir’s porosity and permeability dropped with the decrease in rock grain size (Figure 11a,b), since coarser rock-grain size, a more sophisticated structure, and lower shale content would lead to a stronger capacity to withstand the formation pressure and better physical properties, contributing to the preservation of primary pores [86,87].
Figure 11.
(a) Porosity content and particle size relationship; (b) Permeability content versus particle size.
5.1.2. Rock Composition and Texture
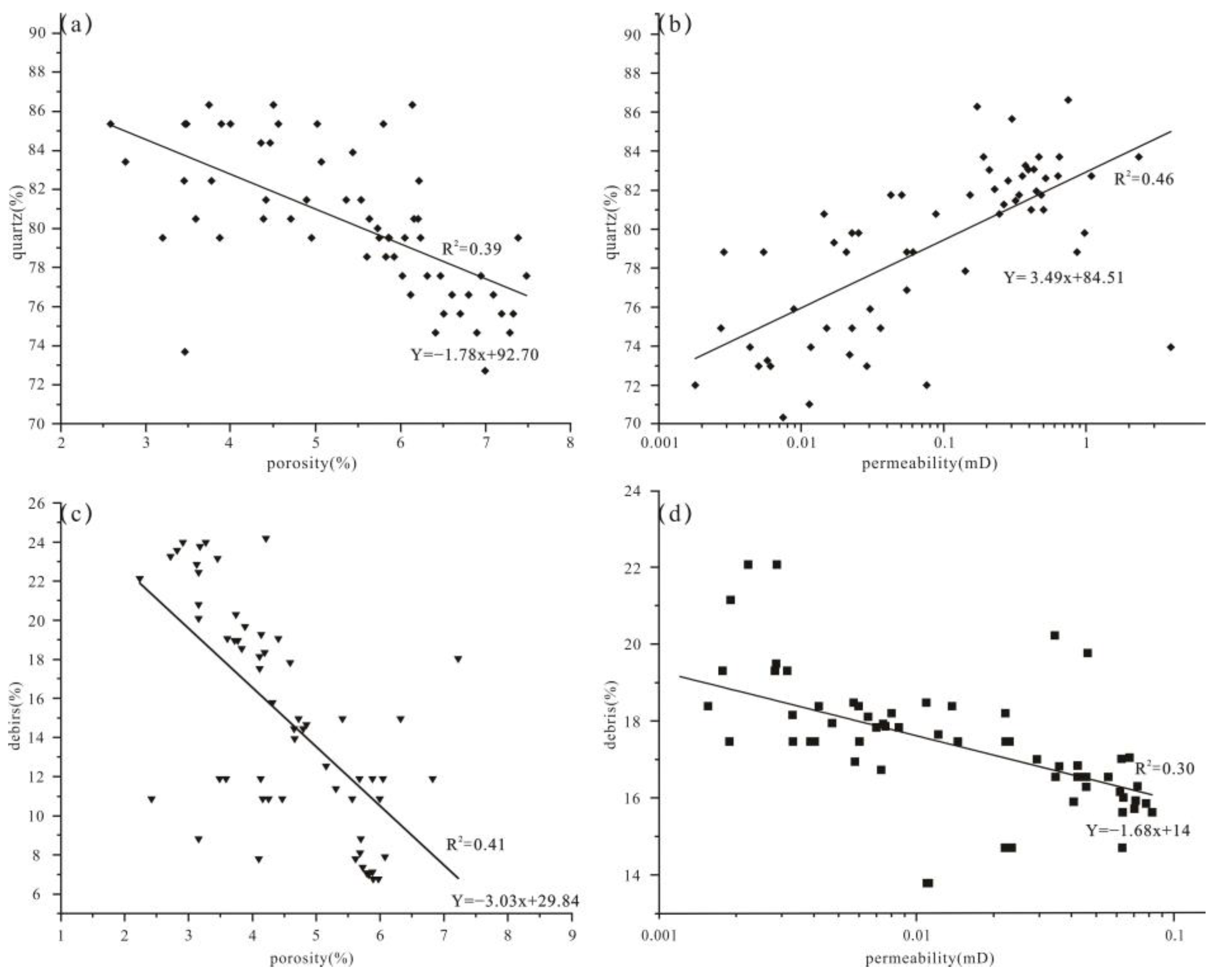
The reservoir’s physical properties were also affected by the proportions of quartz, feldspar, and cuttings in the rock clastic components. Due to the disparity between the capacity of the clastic particles to withstand the formation pressure and the ability to bear the dissolution, the rock pores were damaged to different degrees, hence changing the physical properties of the reservoir. In the target region, rocks with a high quartz content had considerable resistance to compaction that was conducive to the preservation of pores. As the quartz content grew, the porosity decreased and the permeability increased (Figure 12a,b). In addition, both the porosity and the permeability rose with the decrease of cuttings content (Figure 12c,d).
Figure 12.
(a) Relationship between porosity and quartz content; (b) Relationship between permeability and quartz content; (c) Relationship between porosity and rock chip content; (d) Relationship between permeability and rock chip content.
5.2. Diagenesis
5.2.1. Destructiveness of Diagenesis
- Compaction
Owing to the strong compaction, both the porosity and permeability of the tight sandstone reservoir in the Shanxi Formation were poor, and casting thin sections indicated that the particles were in line contact and concavo–convex contact, and some obscure extruded cracks could also be visible. In addition, there were no carbonate cements in this area, causing the rocks to be more readily compacted and a loss in reservoir qualities (Figure 13a).
Figure 13.
Rock formation type map of the outcrop area ((a) Linear contact; (b) Chalcedony cementation and Quartz overgrowth; (c) Intergranular dissolution pore; (d) Intergranular dissolution pore and intragranular dissolution pore).
- 2.
- Cementation
The development of cements is also an important factor leading to the decrease of physical qualities of tight sandstone reservoirs. The concentration of cements, mainly silica cements, in the target region ranged between 2% and 15%. The cement might fill and occupy the pore-throat space, constricting or obstructing them and thereby tightening the reservoir (Figure 13b). After a thorough examination of its relational graph, it was feasible to establish that there was a negative correlation between reservoir physical properties and the cement content (Figure 14a,b).
Figure 14.
(a) Relationship between porosity and cement content; (b) Relationship between permeability and cement content.
5.2.2. Constructiveness of Diagenesis
The secondary pores were mainly produced by the dissolution, including inter-grain dissolved pores, intra-grain dissolved pores, macropores, and moldic pores. The dissolution was primarily attributable to the hydrocarbon generation and expulsion [86], as well as the transformation of clay minerals, which could change the diagenetic environment into a weak acid environment where feldspar, unstable rock cuttings, cements, etc., were dissolved to produce a large number of secondary pores and thereby enhance reservoir properties (Figure 13c,d). Additionally, the thin section porosity of intergranular and intragranular dissolved pores of samples from Layers 1–7 reached more than half of the rock’s overall thin section porosity, suggesting that dissolution was prevalent in the target region.
5.3. Tectonics
After the Carboniferous sedimentation in the upper Paleozoic, Permian coarse clastic sediments, chiefly fluvial facies, were deposited and compacted in the early diagenetic stage (Phase B) in the target region. The crust was tilted by the Mesozoic Indo–China movement, causing the early and middle Triassic strata to be denuded and the Permian strata to be influenced by dissolution and cementation. The crust tilt gave rise to the Liujiang River Basin by generating NS-striking compressive faults, as well as NE- and NW-striking shear faults, which led to the development of reservoir fractures that were able to accommodate hydrocarbons and also connect reservoir pores. Continuous deposition occurred since the late Middle Triassic Yanshanian movement when the strata experienced compaction. The upper structural layer of the Liujiang River Basin originated during the Cretaceous period. The Cenozoic basin’s extension and the episodic crust’s uplifting brought about changes again in reservoir qualities, where pressure solution and cementation made a difference (Figure 15) [84,85].
Figure 15.
The evolutionary history of buried diagenesis in the study area [55,84,85].
5.4. Research Significance
In recent years, the petroleum system [88] has been widely adopted as an effective new concept and theory to guide oil and gas exploration, and it has become the frontier and focal point of petroleum geology research [89,90,91,92], which can be used as a method to guide the study of unconventional tight sandstone reservoirs. In light of the limitations of logging data and seismic data, it is possible to quantify the characteristics of different scales of reservoirs through the study of their outcrop in the study area, a deeper understanding of reservoir physical properties and sedimentary structure can thus be obtained, which is helpful in the development of other similar tight sandstone reservoirs. At the same time, the Liujiang Basin has witnessed a complete tectonic evolution of the North China Platform, with perfect strata exposed in each era, which is consequently an ideal outcrop research area, and the Permian Shanxi Formation is a high-quality reservoir in North China [55,85,93,94,95,96]. Therefore, it is of great significance to study the outcrop reservoir.
6. Conclusions
(1) The tight reservoir in the study region is predominantly characterized by lithic quartz sandstones and fine sand-bearing argillaceous siltstones, with granular components being quartz (the average content is 83%), and less debris and feldspar (the average content of rock debris is 13%, and that of feldspar is 3.6%). From bottom to top, the sorting and rounding of grains in layers of the target reservoir are worsening. In addition, stratigraphic contact relationships are mostly linear, sometimes point-line, and porous cementation can be widely identified and all strata in the target region are grain-supported. Moreover, fillings of the tight sandstone reservoir in the target region are matrices and cements; the average content of fillings is 22.2%. Matrices are predominantly argillaceous; cements contain quartz secondary enlargement, chalcedony, muscovite, and kaolinite. (In Layers 1–8, except Layer 7, the content of cements is higher than that of matrices, while it is the opposite in Layers 9–12.)
(2) There are primary pores and secondary pores in the target region. The former are mainly primary inter-granular residual pores, while the latter are primarily intergranular dissolved pores, accounting for more than half of the total reservoir pores, including intra-granular dissolved pores, macropores, mold pores and intercrystalline micropores, and micro-fractures.
(3) The tight sandstone reservoir of the Shanxi Formation is characterized by extra-ultra-low porosity (3–7%) and extra-low permeability (0.001–0.1 mD), which are directly proportional. Additionally, pore-throat connectivity is poor with uneven distribution, and heterogeneity is strong.
(4) Mechanical compaction, cementation, and dissolution comprise the reservoir’s diagenesis in the target region. The compaction is developed, and the cementation consists primarily of siliceous cementation, clay mineral cementation, ferruginous cementation, and argillaceous cementation.
(5) Main factors influencing the tight sandstone reservoir qualities of the Shanxi Formation include sedimentation, diagenesis, and tectonics. As the material basis of reservoir development, sedimentation has a substantial effect on reservoir physical properties. In other words, the greater the distance from the source, the finer the grain size, and the poorer the physical qualities of the reservoir. The porosity and permeability of the reservior decrease with the decreasing rock particle size. The greater the quartz content, the lower the porosity and the higher the permeability. Additionally, the porosity and permeability of the reservoir increase with the decreasing cuttings content. Mechanical compaction and cementation are dominating causes of reservoir deterioration. With the increaseing cement content, the porosity and permeability of the reservoir decrease. The dissolution of clastic particles produces secondary pores that enhance reservoir properties.
This study takes advantage of comprehensive and detailed outcrop data to give insights into the tight sandstone reservoirs of the Shanxi Formation in Liujiang Basin and clarifies reservoir characteristics and factors affecting physical properties. Consequently, it serves as a guide for identifying other comparable tight sandstone reservoirs.
Author Contributions
Conceptualization, T.Z. and H.Y.; methodology, T.Z.; software, T.Z.; validation, T.Z., H.Y. and F.X.; formal analysis, F.X.; investigation, T.Z.; resources, H.Y.; data curation, R.W.; writing—original draft preparation, T.Z.; writing—review and editing, T.Z. and H.Y.; visualization, T.Z.; supervision, H.Y.; project administration, H.Y.; funding acquisition, H.Y. All authors have read and agreed to the published version of the manuscript.
Funding
This research was funded by Natural Science Foundation of Heilongjiang Province, item number LH2022D013. This work was also supported by Central Support Project for Young Talents in Local Universities in Heilongjiang Province (14011202101), and Key Research and Development Plan Project of Heilongjiang Province (JD22A022).
Data Availability Statement
Not applicable.
Acknowledgments
We are very grateful to the reviewers and editors for their contributions to improving this paper.
Conflicts of Interest
The authors declare no conflict of interest.
References
- Zou, C.N.; Tao, S.Z.; Hou, L.H. Unconventional Petroleum Geology; Geology Press: Beijing, China, 2011; pp. 18–23. [Google Scholar]
- Song, Y.; Jiang, L.; Ma, X.Z. Formation and distribution characteristics of unconventional oil and gas reservoirs. J. Palaeogeogr. 2013, 15, 605–614. [Google Scholar]
- Kang, Y.Z.; Zhou, L. The strategic thinking of unconventional petroleum and gas in China. Earth Sci. Front. 2016, 23, 1–7. [Google Scholar]
- Wang, Q.; Wang, X.Z.; Zeng, X.Y. Research on Reservoir Characteristics and Main Controlling Factors of Longwangmiao Formation of Cambrian in Sichuan Basin. Front. Earth Sci. 2022, 10, 885637. [Google Scholar] [CrossRef]
- Holditch, S.A. Unconventional oil and gas resource development–Let’s do it right. J. Unconv. Oil Gas Resour. 2013, 1, 2–8. [Google Scholar] [CrossRef]
- Sahin, A. Unconventional natural gas potential in Saudi Arabia. In Proceedings of the SPE Middle East Oil and Gas Show and Conference, Manama, Bahrain, 10–13 March 2013. Paper Number: SPE-164364-MS. [Google Scholar]
- Stevens, S.H.; Moodhe, K.D. Evaluation of Mexico’s shale oil and gas potential. In Proceedings of the SPE Latin American and Caribbean Petroleum Engineering Conference, Quito, Ecuador, 18–20 November 2015. Paper Number: SPE-177139-MS. [Google Scholar]
- Kelsey, T.W.; Partridge, M.D.; White, N.E. Unconventional gas and oil development in the United States: Economic experience and policy issues. Appl. Econ. Perspect. Policy 2016, 38, 191–214. [Google Scholar] [CrossRef]
- Zendehboudi, S.; Bahadori, A. Shale Oil and Gas Handbook: Theory, Technologies, and Challenges; Gulf Professional Publishing: Houston, TX, USA, 2016; p. 426. [Google Scholar]
- Zou, C.N.; Yang, Z.; Zhu, R.K.; Zhang, G.S.; Hou, L.H.; Wu, S.T.; Tao, S.Z.; Yuan, X.J.; Dong, D.Z.; Wang, Y.M.; et al. Progress in China’s unconventional oil&gas exploration and development and theoretical technologies. Acta Geol. Sin.-Engl. Ed. 2015, 89, 938–971. [Google Scholar]
- Lin, K.X.; Zhang, C.M.; Lei, B.J. Ground-Underground Comparison to Establish a Fine Reservoir Geological Model; Petroleum Industry Press: Beijing, China, 1995; pp. 1–158. [Google Scholar]
- Xi, K.L.; Cao, Y.C.; Jahren, J.; Zhu, R.; Bjørlykke, K.; Girma Haile, B.; Zheng, L.; Hellevang, H. Diagenesis and reservoir quality of the Lower Cretaceous Quantou Formation tight sandstones in the southern Songliao Basin. Sediment. Geol. 2015, 330, 90–107. [Google Scholar] [CrossRef]
- Liu, X.; Zhang, Y.W.; Zhang, W.; Chen, H.; Zhang, J.Y.; Wang, S.Y. Concept, characteristics, distribution and potential prediction of the tight oil in the world. Pet. Geol. Oilfield Dev. Daqing 2013, 32, 168–174. [Google Scholar]
- Zhou, Q.F.; Yang, G.F. Definition and application of tight oil and shale oil terms. Oil Gas Geol. 2012, 33, 541–575. [Google Scholar]
- Spencer, C.W.; Mast, R.F. (Eds.) Geology of Tight Gas Reservoirs, AAPG Studies in Geology #24; The American Association of Petroleum Geologists: Tulsa, OK, USA, 1986. [Google Scholar]
- Spencer, C.W. Review of characteristics of low-permeability gas reservoirs in western United States. AAPG Bull. 1989, 73, 613–629. [Google Scholar]
- Meckel, L.D.; Thomasson, M.R. Pervasive tight-gas sandstone reservoirs: An overview. In Understanding, Exploring, and Developing Tight-Gas Sands—2005 Vail Hedberg Conference: AAPG Hedberg Series; Cumella, S.P., Shanley, K.W., Camp, W.K., Eds.; The American Association of Petroleum Geologists: Tulsa, OK, USA, 2008; pp. 13–27. [Google Scholar] [CrossRef]
- Nelson, P.H. Pore-throat sizes in sandstones, tight sandstones, and shales. AAPG Bull. 2009, 93, 329–340. [Google Scholar] [CrossRef]
- Yan, D.Y. The Analysis of Shale Gas Accumulation Conditions in the Upper Paleozoic Ordos Basin. Master’s Thesis, China University of Geosciences, Beijing, China, 2013. [Google Scholar]
- Deng, Y.; Chen, S.Y.; Pu, X.G.; Yan, J.H. Characteristics and Controlling Factors of Shale Oil Reservoir Spaces in the Bohai Bay Basin. Acta Geol. Sin.-Engl. Ed. 2020, 94, 253–368. [Google Scholar] [CrossRef]
- Li, Z.C.; Bao, Z.D.; Wei, Z.S.; Wang, H.X.; Zhao, W.C.; Dong, W.T.; Shen, Z.; Wu, F.; Tian, W.T.; Li, L. Characteristics and Affecting Factors of K(2)qn(1) Member Shale Oil Reservoir in Southern Songliao Basin, China. Energies 2022, 15, 2269. [Google Scholar] [CrossRef]
- Liu, B.; Sun, J.H.; Zhang, Y.Q.; He, J.L.; Fu, X.F.; Yang, L.; Xing, J.L.; Zhao, X.Q. Reservoir space and enrichment model of shale oil in the first member of Cretaceous Qingshankou Formation in the Changling Sag, southern Songliao Basin, NE China. Pet. Explor. Dev. 2021, 48, 608–624. [Google Scholar] [CrossRef]
- Zhou, L.W.; Pu, X.G.; Xiao, D.Q.; Li, H.X.; Guan, Q.S.; Lin, L.; Qu, N. Geological conditions for shale oil formation and the main controlling factors for the enrichment of the 2nd member of Kongdian Formation in the Cangdong Depression, Bohai Bay Basin. Nat. Gas Geosci. 2018, 29, 1323–1332. [Google Scholar]
- Sun, H.Q. Exploration practice and cognitions of shale oil in Jiyang depression. China Pet. Explor. 2017, 22, 1. [Google Scholar]
- Zou, C.; Zhu, R.; Liu, K.; Su, L.; Bai, B.; Zhang, X.; Yuan, X.; Wang, J. Tight gas sandstone reservoirs in China: Characteristics and recognition criteria. J. Pet. Sci. Eng. 2012, 88, 82–91. [Google Scholar] [CrossRef]
- Wang, X.Z.; Ren, L.Y.; He, Y.H.; Xi, T.D.; Ge, Y.J.; Mi, N.Z.; Deng, N.T. Definition of tight oil in Ordos Basin. Pet. Geol. Recovery Effic. 2016, 23, 1–7. [Google Scholar]
- Yao, J.L.; Deng, X.Q.; Zhao, Y.D.; Han, T.Y.; Chu, M.J.; Pang, J.L. Characteristics of tight oil in Triassic Yanchang Formation, Ordos Basin. Pet. Explor. Dev. 2013, 40, 150–158. [Google Scholar] [CrossRef]
- Guo, Y.R.; Liu, J.B.; Yang, H.; Liu, Z.; Fu, J.H.; Yao, J.L.; Xu, W.L.; Zhang, Y.L. Hydrocarbon accumulation mechanism of low permeable tight lithologic oil reservoirs in the Yanchang Formation, Ordos Basin, China. Pet. Explor. Dev. 2012, 39, 417–425. [Google Scholar] [CrossRef]
- Zhao, J.Z.; Bai, Y.B.; Cao, Q.; Er, C. Quasi-continuous hydrocarbon accumulation:a new pattern for large tight sand oilfields in the Ordos Basin. Oil Gas Geol. 2012, 33, 811–827. [Google Scholar]
- Yin, X.D.; Jiang, S.; Chen, S.J.; Wu, P.; Gao, W.; Gao, J.X.; Shi, X. Impact of rock type on the pore structures and physical properties within a tight sandstone reservoir in the Ordos Basin, NW China. Pet. Sci. 2020, 17, 896–911. [Google Scholar] [CrossRef]
- Amel, H.; Jafarian, A.; Husinec, A.; Koeshidayatullah, A.; Swennen, R. Microfacies, depositional environment and diagenetic evolution controls on the reservoir quality of the Permian Upper Dalan Formation, Kish Gas Field, Zagros Basin. Mar. Pet. Geol. 2015, 67, 57–71. [Google Scholar] [CrossRef]
- Jia, C.Z. Breakthrough and significance of unconventional oil and gas to classical petroleum geological theory. Pet. Explor. Dev. 2017, 44, 1–11. [Google Scholar] [CrossRef]
- Sun, D.L.; Zou, C.N.; Jia, A.L.; Wei, Y.S.; Zhu, R.K.; Wu, S.T.; Guo, Z. Development characteristics and orientation of tight oil and gas in China. Pet. Explor. Dev. 2019, 46, 1015–1026. [Google Scholar] [CrossRef]
- Zheng, Z.H.; Li, D.H.; Wang, Z.X.; Jia, J.; Gao, Y.; Liu, Z.Y.; Zan, X.; Guo, J. Assessment of the potential of tight oil and gas in major basins in China. China Min. Mag. 2017, 26, 22–29. [Google Scholar]
- Liu, Z.L.; Zhang, Y.L.; Zhang, Y.Z.; Zhao, L.B.; Peng, P.; Liu, H.L.; Chang, B.H.; Huang, W.G.; Zhou, P. Influencing Factor Analysis on the Fractured Tight Sandstone Gas Reservoir Characteristics: A Case Study of Bozi 3 Gas Reservoir in the Tarim Basin. Front. Earth Sci. 2022, 10, 881934. [Google Scholar] [CrossRef]
- Wang, X.Y.; Liu, N.; Nan, J.X.; Wang, X.L.; Ren, D.Z. Characteristics and Genetic Mechanism of Chang Eight Low Permeability and Tight Reservoir of Triassic Yanchang Formation in Central-East Ordos Basin. Front. Phys. 2022, 9, 801264. [Google Scholar] [CrossRef]
- Wang, W.M.; Lu, S.F.; Li, J.; Tian, W.C.; Zhou, N.W.; Huang, W.B. Analyses of micro-pore structural characteristics of tight sandstone reservoirs: A case study in Turpan-Hami Basin, northwestern China. Nat. Gas Geosci. 2016, 27, 1828–1836. [Google Scholar]
- Xu, W.G.; Deng, H.W.; Wang, Y.T. The sandstone reservoir characteristics and controlling factors of Shanxi Formation and Lower Shihezi Formation in Southeastern Ordos Basin. Geol. J. 2020, 56, 1673–1698. [Google Scholar] [CrossRef]
- Zhang, Y.G.; Chen, Q.H.; Sun, K.; Wen, Z.H.; Xiao, G.L.; Liang, J.; Zhao, Q.F.; Wu, S.Y.; Lei, B.H. Characteristics and influencing factors of Cretaceous reservoir in eastern depression of North Yellow Sea basin. J. Pet. Explor. Prod. Technol. 2022, 12, 1907–1918. [Google Scholar]
- Wilson, M.D.; Pittman, E.D. Authigenic clays in sandstones; recognition and influence on reservoir properties and paleoenvironmental analysis. J. Sediment. Res. 1977, 47, 3–31. [Google Scholar]
- Shanley, K.W.; Cluff, R.M.; Robinson, J.W. Factors controlling prolific gas production from low-permeability sandstone reservoirs: Implications for resource assessment, prospect development, and risk analysis. AAPG Bull. 2004, 88, 1083–1121. [Google Scholar] [CrossRef]
- Bjørlykke, K. Relationships between depositional environments, burial history and rock properties. Some principal aspects of diagenetic process in sedimentary basins. Sediment. Geol. 2014, 301, 1–14. [Google Scholar] [CrossRef]
- Burton, Z.F.M.; McHargue, T.; Kremer, C.H.; Bloch, R.B.; Gooley, J.T.; Jaikla, C.; Harrington, J.; Graham, S.A. Peak Cenozoic warmth enabled deep-sea sand deposition. Sci. Rep. 2023, 13, 1276. [Google Scholar] [CrossRef]
- Marghani, M.M.; Zairi, M.; Radwan, A.E. Facies analysis, diagenesis, and petrophysical controls on the reservoir quality of the low porosity fluvial sandstone of the Nubian formation, east Sirt Basin, Libya: Insights into the role of fractures in fluid migration, fluid flow, and enhancing the permeability of low porous reservoirs. Mar. Pet. Geol. 2023, 147, 105986. [Google Scholar]
- Wang, W.C.; Zhao, J.X.; Xiang, F.; Wang, S.; Shao, X.Y.; Yu, H.; He, J.W. Reservoir characteristics and comparative analysis of otherness of Shanxi Formation and Lower Shihezi Formation in southeastern Ordos Basin, China. J. Chengdu Univ. Technol. 2018, 45, 199–210. [Google Scholar]
- Zhao, Q.P.; Wang, R.G.; Gao, F.; Yin, X. Provenance analysis of Upper Paleozoic in Yanchang Blocks, the Southeast Ordos Basin. J. Northwest Univ. 2015, 45, 933–941. [Google Scholar]
- Zhou, J.S.; Wang, N.X.; Zhao, Q.P.; Lin, G.F.; Yin, X.; Gao, F.; Wei, H.; Han, X.Q. Analysis on controlling factors and sandstone reservoir characteristics of the Upper Paleozoic in Ordos Basin. J. Oil Gas Technol. 2014, 36, 27–33. [Google Scholar]
- Zhang, Y.P.; Tang, Y. A review of reservoir heterogeneity research. Mar. Geol. Front. 2011, 27, 17–22. [Google Scholar]
- Saxena, N.; Alpak, F.O.; Hows, A.; Freeman, J.; Hofmann, R.; Appel, M. Estimating Fluid Saturations from Capillary Pressure and Relative Permeability Simulations Using Digital Rock. Transp. Porous Media 2021, 136, 863–878. [Google Scholar] [CrossRef]
- Saxena, N.; Dietderich, J.; Alpak, F.O.; Hows, A.; Appel, M.; Freeman, J.; Hofmann, R.; Zhao, B.C. Estimating Electrical Cementation and Saturation Exponents Using Digital Rock Physics. J. Pet. Sci. Eng. 2021, 198, 108198. [Google Scholar] [CrossRef]
- Liu, C.Z.; Ma, F.R. Geology Learning Guide in Beidaihe Area; Petroleum Industry Press: Beijing, China, 2006; pp. 72–74. [Google Scholar]
- Wu, H.B.; Zhang, H.T.; Chang, Z. Mineral Characteristics of Limestone in Liujiang Basin. China Sci. Technol. Overv. 2010, 18. [Google Scholar] [CrossRef]
- Wang, J.H.; Zhou, J.Y.; Yang, X.H.; Chen, Z.L. Sedimentary Characteristics and Geneses of Pebbly Meandering River: A Case from Dashihe River in Qinghuangdao Area. Earth Sci. 2018, 43, 277–286. [Google Scholar]
- Chen, Y.M.; Gao, F.; Yang, Z.J. Petrological characteristics and sedimentary environment analysis of Carboniferous in Liujiang Basin, northern Hebei. Miner. Resour. Geol. 2017, 31, 591–598. [Google Scholar]
- Wang, L. A Study on the Physical Outcrop Analogy of the Clastic Rock Reservoir. Master’s Thesis, Northeast Petroleum University, Daqing, China, 2018. [Google Scholar]
- Zhao, Y.J.; Xing, W.; Huang, X. Preliminary study on the geomorphological form of Dashi River valley in Liujiang Basin of Qinhuangdao based on DEM. West. Resour. 2021, 6, 13–15. [Google Scholar]
- West, J.B. The original presentation of Boyle’s law. J. Appl. Physiol. 1999, 87, 1543–1545. [Google Scholar] [CrossRef]
- Yu, R.Z.; Bian, Y.N.; Zhang, X.W.; Wang, K.J.; Yan, J.; Wang, Z.Z. The Review of Non-steady Permeability Test in Shale Gas Reservoir. Sci. Technol. Eng. 2012, 12, 7019–7027+7035. [Google Scholar]
- Dickinson, W.R.; Suczek, C.A. Plate tectonics and sandstone compositions. AAPG Bull. 1979, 63, 2164–2182. [Google Scholar]
- Liu, Y.L. Reservoir characteristics and accumulation analysis of Chang 7 member in Heshui Block Ordos Basin. Fresenius Environ. Bull. 2022, 31, 4930–4938. [Google Scholar]
- Cao, T.S.; Luo, L.; Tan, X.F.; Tan, D.P.; Sun, X.; Gao, Z.P.; Wang, J.; Cha, X.J. Genesis and pore evolution of tight sandstone reservoir:taking Lower Shihezi Formation in the Shilijiahan block of Hangjinqi area as an example. Fault-Block Oil Gas Field 2021, 28, 598–603. [Google Scholar]
- Yao, J.L.; Yu, G.Z.; Hu, C.; Feng, L. Research on pore structure characteristics of tight sandstone reservoirs in Chang 7 member of Shaanbei area in Ordos Basin China. Fresenius Environ. Bull. 2022, 31, 4452–4458. [Google Scholar]
- Greb, S.F.; Harris, D.C.; Bowersox, J.R. Reservoir geology of the Berea Sandstone (uppermost Devonian), eastern Kentucky. AAPG Bull. 2021, 105, 597–628. [Google Scholar] [CrossRef]
- Zeng, L.B.; Gong, L.; Guan, C.; Zhang, B.J.; Wang, Q.Q.; Zeng, Q.; Lyu, W.Y. Natural fractures and their contribution to tight gas conglomerate reservoirs: A case study in the northwestern Sichuan Basin, China. J. Pet. Sci. Eng. 2022, 210, 110028. [Google Scholar] [CrossRef]
- Bae, W.; Sung, W.; Kim, S.; Jeon, E. The effects of macropores in heterogeneous porosity systems on electrical resistivity behavior. Energy Sources Part A-Recovery Util. Environ. Eff. 2006, 28, 793–806. [Google Scholar] [CrossRef]
- Akai, T.; Wood, J.; Otomo, C.; Hanyu, A.; Okada, K. Observation of nano-scale pore structure in a tight gas siltstone reservoir. J. Jpn. Assoc. Pet. Technol. 2014, 79, 428–433. [Google Scholar] [CrossRef]
- Dai, C.C.; Zheng, R.C.; Zhu, R.K.; Li, F.J.; Gao, Z.Y.; Bai, B. Reservoir characteristics of the xujiahe Formation in central-west sichuan analogous foreland basin. Nat. Gas Geosci. 2011, 22, 47–55. [Google Scholar]
- Er, C.; Zhao, J.; Yao, J.L.; Ye, X.C.; Wu, W.T.; Bai, Y.B.; Deng, X.T.; Sun, B. Characterization of pores and fracture networks in organic-rich shale and tight sandstone of the Chang-7 member Triassic Yanchang Formation, Ordos Basin. Oil Gas Geol. 2016, 37, 335–341. [Google Scholar]
- Sun, L.H.; Xiao, H.M.; Tan, L.; Li, B.W.; Sun, D.M.; Wang, P.W. Pore structure comparison and difference mechanism between tight sandstone and tight conglomerate reservoirs. Acta Geosci. Sin. 2022, 96, 2155–2172. [Google Scholar]
- Yang, G.Q. Research on Genetic Mechanism of High-Quality Tight Sandstone Reservoirs of Upper Paleozoic in Linxing-Shenfu Area. Ph.D. Thesis, China University of Geosciences, Beijing, China, 2021. [Google Scholar]
- Yu, J.F.; Zhao, X.G.; Peng, J.; Yang, Z.Q.; Zhang, H.J. The Characteristics and Main Controlling Factors of the Upper Paleozoic Sandstone Reservoirs in Dongpu Depression, Bohai Bay Basin. Front. Earth Sci. 2022, 10, 858251. [Google Scholar] [CrossRef]
- Zhang, T.; Wu, J.J.; Fei, H.Y. Characteristics and controlling factors of the Lower–Middle Jurassic sandstone reservoirs in Amu Darya right bank area, Turkmenistan. Arab. J. Geosci. 2019, 12, 293. [Google Scholar] [CrossRef]
- Zhao, G.J.; Li, X.Q.; Liu, M.C.; Dong, C.Y.; Chen, D.Y.; Zhang, J.Z. Reservoir Characteristics of Tight Sandstone and Sweet Spot Prediction of Dibei Gas Field in Eastern Kuqa Depression, Northwest China. Energies 2022, 15, 3135. [Google Scholar] [CrossRef]
- Tingate, P.R.; Rezaee, M.R. Origin of quartz cement in Tirrawarra Sandstone, Southern Cooper Basin, South Australia. J. Sediment. Res. 1997, 67, 168–177. [Google Scholar]
- Berger, A.; Roselle, G. Crystallization processes in migmatites. Am. Miner. 2001, 86, 215–224. [Google Scholar] [CrossRef]
- Liu, H.Y.; Tian, Z.Y.; Liu, B.; Guo, R.; Yang, D.; Deng, Y.; Yu, Y.C.; Shi, K.B. Pore types, origins and control on reservoir heterogeneity of carbonate rocks in Middle Cretaceous Mishrif Formation of the West Qurna oilfield, Iraq. J. Pet. Sci. Eng. 2018, 171, 1338–1349. [Google Scholar] [CrossRef]
- Mahdi, T.A.; Aqrawi, A.A.M.; Horbury, A.D.; Sherwani, G.H. Sedimentological characterization of the mid-Cretaceous Mishrif reservoir in southern Mesopotamian Basin, Iraq. Geoarabia 2013, 18, 139–174. [Google Scholar] [CrossRef]
- Xiao, D.; Cao, J.; Luo, B.; Tan, X.C.; Liu, H.; Zhang, B.J.; Yang, X.; Li, Y. On the dolomite reservoirs formed by dissolution: Differential eogenetic versus hydrothermal in the lower Permian Sichuan Basin, southwestern China. AAPG Bull. 2020, 104, 1405–1438. [Google Scholar] [CrossRef]
- Cao, Y.C.; Yuan, G.H.; Li, X.Y.; Wang, Y.Z.; Xi, K.L.; Wang, X.M.; Jia, Z.Z.; Yang, T. Characteristics and origin of abnormally high porosity zones in buried Paleogene clastic reservoirs in the Shengtuo area, Dongying Sag, East China. Pet. Sci. 2014, 11, 346–362. [Google Scholar] [CrossRef]
- Morad, S.; Al-Ramadan, K.; Ketzer, J.M.; De Ros, L.F. The impact of diagenesis on the heterogeneity of sandstone reservoirs: A review of the role of depositional facies and sequence stratigraphy. AAPG Bull. 2010, 94, 1267–1309. [Google Scholar] [CrossRef]
- Morad, S.; Ketzer, J.M.; Ros, L.F.D. Linking diagenesis to sequence stratigraphy: An integrated tool for understanding and predicting reservoir quality distribution. Linking Diagenesis to Sequence Stratigraphy. Spec. Publ. Int. Assoc. Sedimentol. 2012, 45, 1–36. [Google Scholar]
- Zhou, Y.; Yang, F.L.; Ji, Y.L.; Zhou, X.F.; Zhang, C.H. Characteristics and controlling factors of dolomite karst reservoirs of the Sinian Dengying Formation, central Sichuan Basin, southwestern China. Precambrian Res. 2020, 343, 105708. [Google Scholar] [CrossRef]
- El-Gendy, N.; Barakat, M.; Abdallah, H. Reservoir assessment of the Nubian sandstone reservoir in South Central Gulf of Suez, Egypt. J. AFRICAN Earth Sci. 2017, 129, 596–609. [Google Scholar] [CrossRef]
- Feng, S.M.; Li, H.; Jiang, J.J.; Lei, Y.; Niu, Y.Z.; Yang, R.; Liu, Y.J. The Multiple Dolomitizations in Ordovician Majiagou Carbonate Rocks in Liujiang Basin, Qinhuangdao Area, North China. Acta Sedimentol. Sin. 2017, 35, 664–680. [Google Scholar]
- Wu, C.L. Stratigraphy study of Benxi formation to Xiahuayuan formation in Liujiang Basin. Master’s Thesis, China University of Mining and Technology, Beijing, China, 2015. [Google Scholar]
- Xu, Y.H. Study on Reservoir Characteristics and Genetic Mechanism of Low Permeability Sandstone in Zhuhai Formation of Wenchang Sag. Ph.D. Thesis, China University of Geosciences, Beijing, China, 2020. [Google Scholar]
- Zhang, S.L. Characteristics and Formation Mechanism of Porous Tight Sandstone Reservoir in the Second Member of Xujiahe Formation, Upper Triassic, Central and Western Sichuan Basin. Ph.D. Thesis, Chengdu University Of Technology, Chengdu, China, 2020. [Google Scholar]
- Magoon, L.B.; Dow, W.G. The petroleum system—From source to trap. Am. Assoc. Pet. Geol. Mem. 1994, 60, 93–120. [Google Scholar]
- Burton, Z.F.M.; Moldowan, J.M.; Magoon, L.B.; Sykes, R.; Graham, S.A. Interpretation of source rock depositional environment and age from seep oil, east coast of New Zealand. Int. J. Earth Sci. 2019, 108, 1079–1091. [Google Scholar] [CrossRef]
- Schulz, H.M.; Yang, S.; Schovsbo, N.H.; Rybacki, E.; Ghanizadeh, A.; Bernard, S.; Mahlstedt, N.; Kruger, M.; Amann-Hildebrandt, A.; Krooss, B.M.; et al. The Furongian to Lower Ordovician Alum Shale Formation in conventional and unconventional petroleum systems in the Baltic Basin–A review. Earth-Sci. Rev. 2021, 218, 103674. [Google Scholar] [CrossRef]
- Fan, A.P.; Yang, R.C.; van Loon, A.J.; Yin, W.; Han, Z.Z.; Zavala, C. Classification of gravity-flow deposits and their significance for unconventional petroleum exploration, with a case study from the Triassic Yanchang Formation (southern Ordos Basin, China). J. Asian Earth Sci. 2018, 161, 57–73. [Google Scholar] [CrossRef]
- Fairhurst, B.; Ewing, T.; Lindsay, B. West Texas (Permian) Super Basin, United States: Tectonics, structural development, sedimentation, petroleum systems, and hydrocarbon reserves. AAPG Bull. 2021, 105, 1099–1147. [Google Scholar] [CrossRef]
- Ren, Z.Y.; Fu, F.F.; Yang, X.B.; Chen, F. Study on the Characteristics of the Permian Strata in the Liujiang Basin, Qinhuangdao. China Resour. Compr. Util. 2019, 37, 76–78. [Google Scholar]
- Liu, R.; Guo, S.W.; Wang, J.Y. Pore characteristics and evolution of tight sandstone reservoirs of Shanxi Formation of Taikang-Bengbu Uplift in Southern North China Basin. J. Yangtze Univ. 2021, 18, 1–13. [Google Scholar]
- Shan, T.F. Sedimentary Characteristics and Evolution of the Middle Permian Fluvial System in Eastern North China. Master’s Thesis, China University of Petroleum, Beijing, China, 2019. [Google Scholar]
- Wang, Q. The Sedimentary Characteristics and the Depositional Models of the Delta in the Shanxi Formation of Bohai Bay Basin. Master’s Thesis, China University of Petroleum, Beijing, China, 2018. [Google Scholar]
Disclaimer/Publisher’s Note: The statements, opinions and data contained in all publications are solely those of the individual author(s) and contributor(s) and not of MDPI and/or the editor(s). MDPI and/or the editor(s) disclaim responsibility for any injury to people or property resulting from any ideas, methods, instructions or products referred to in the content. |
© 2023 by the authors. Licensee MDPI, Basel, Switzerland. This article is an open access article distributed under the terms and conditions of the Creative Commons Attribution (CC BY) license (https://creativecommons.org/licenses/by/4.0/).














