Next Article in Journal
Security of Neural Network-Based Key Agreement Protocol for Smart Grids
Previous Article in Journal
PSO-Based Identification of the Li-Ion Battery Cell Parameters
 
 
Font Type:
Arial Georgia Verdana
Font Size:
Aa Aa Aa
Line Spacing:
Column Width:
Background:
Article

Classical Thermodynamic Analysis of D-Based Nuclear Fusion Reactions: The Role of Entropy

ENEA, Fusion and Technology for Nuclear Safety and Security Department, Via E. Fermi 45, 00044 Frascati, Italy
Energies 2023, 16(10), 3996; https://doi.org/10.3390/en16103996
Submission received: 9 March 2023 / Revised: 24 April 2023 / Accepted: 6 May 2023 / Published: 9 May 2023
(This article belongs to the Topic Nuclear Energy Systems)

Abstract

In this work, the feasibility of nuclear processes is studied via classical thermodynamics by assessing the change in entropy, a parameter that has so far been neglected in the analysis of these reactions. The contribution of the entropy to the reaction spontaneity plays a different role in the fission and fusion reactions. In particular, in fusion reactions the temperature acts as a very powerful amplifier of the entropic term (−T ΔS) that, at the temperature of tokamaks (millions Kelvin), may significantly reduce the thermodynamic spontaneity of these processes. A new approach is followed for assessing the feasibility of the D-based reactions of interest for the magnetically confined nuclear fusion through the investigation of the effect of the temperature on both kinetics and thermodynamics. The results confirm that the deuterium–tritium reaction is the most promising fusion reaction to be realized in tokamak devices. At the temperature of 1.5 × 108 K (≈13 keV), the DT reaction exhibits a large thermodynamic spontaneity (ΔG = −16.0 MeV) and its reactivity is of the order of 10−22 m3/s, a value capable of guaranteeing the tritium burning rate needed to operate the nuclear plants under tritium self-sufficiency conditions and with a net energy production. The other results show that at the tokamaks’ temperature the two branches of the DD reaction exhibit a modest spontaneity (ΔG around −2 MeV) coupled to very low reactivity values (10−24 m3/s). The temperature rise that could be aimed to increase the reactivity is however ineffective to improve the reaction feasibility since it would augment the entropic term as well, thus shifting the ΔG towards positive values. The D3He reaction is soundly spontaneous at the tokamaks’ temperature (ΔG values of −17.2 MeV) while its kinetics is close to that of the DD reactions, which are at least two orders of magnitude lower than that of the DT reaction.

1. Introduction

Strategic foresight analyses deem global warming to be a key future megatrend capable of threatening the sustainable development of humankind [1]. In 2021, fossil fuels, which are mainly responsible for CO2 and the other greenhouse gases (GHG) released into the atmosphere, represent 82% of the world’s energy consumption, with coal, the most polluting source, having a share of about 27% [2].The reduction of CO2 and GHG emissions as well as the further penetration of renewable energy sources and other innovative technologies are considered urgent to be actions to strengthen the global response to the climate change trend [3].
Accordingly, worldwide energy strategies are aimed to advance the penetration of renewable sources (solar, photovoltaic, biomass) and the use of cleaner energy vectors (namely hydrogen) [4,5,6,7,8]. Because of their intermittent and discontinuous availability, renewable sources need efficient energy storage systems and their share of 100% is unrealistic. In this view, nuclear power, which presently is the second-largest source of low-carbon electricity, could effectively contribute to the achievement of sustainable energy goals [9]. Furthermore, nuclear power provides diversity in electricity and in primary energy supply and contributes to making electricity systems more flexible and enhancing energy security. Nevertheless, new investments and lifetime extensions of nuclear power plants are often hindered by poor public acceptability, which has been strongly affected firstly by the occurrence of severe accidents and secondly by a nuclear fuel cycle producing a large amount of radioactive and toxic waste [10,11].
The present nuclear power plants exploit fission reactions in which heavy nuclei split into smaller fragments and the difference of mass between reactants and products (i.e., the “defect of mass”) corresponds to the energy made available by the process. Diversely from fission, in nuclear fusion light nuclei are combined to form heavier atoms and, also in this case, an amount of energy corresponding to the “defect of mass” is released. As an important aspect, nuclear fusion is potentially cleaner than fission as it does not produce long-living radioactive waste and its fuel cycle uses abundant materials (namely deuterium and lithium). In this perspective, fusion may produce electricity in an inherently safe and inexhaustible way, complying with the requirements for the environmental sustainability of the future energy policies [12,13,14].
Despite the encouraging expectations for the development of renewable and sustainable energy systems, the realization of fusion power plants has to face very tricky hurdles both in physics and technology [15,16,17,18,19]. The fuel of the most studied fusion reactors consists of a plasma of hydrogen isotopes and helium operated at low pressure and temperature over 108 K. This hot plasma, confined by magnetic fields, is subjected to extremely large temperature gradients (about 108 K/m) that raise important issues on the integration of physics and technology [19]. The practical feasibility of nuclear fusion must tackle important technological challenges that concern the development of materials capable of withstanding high temperatures and heat fluxes and to resist neutron-induced damage. From a physical standpoint, the main challengers concern the control of the complex behavior of the magnetized plasma and its instability induced by the above-mentioned temperature gradients [19].
The comparison of the historical development of fission and fusion could help to appraise their different levels of feasibility. From the final evidence of the uranium fission in December 1938 in Berlin, the development of fission power plants occurred in less than 20 years: the first commercial pressurized water reactors, the APS-1 reactor in USSR and the Shippingport reactor in U.S.A., started operation in June 1954 and December 1957, respectively. Since the demonstration of uncontrolled thermonuclear fusion corresponding to the first H-bomb explosion in November 1952, a significant amount of fusion power has been produced worldwide in a controlled manner in numerous experiments without, however, achieving a remarkable net energy gain [19]. The International Thermonuclear Experimental Reactor (ITER) is the most important ongoing project aimed to confirm the feasibility of exploiting magnetic confinement fusion for the production of energy through an integrated demonstration of the physics and technology required for a fusion power plant [20].
In this work, the feasibility of a nuclear process is studied through the classical thermodynamics: in particular, this work considers the different role in fission and fusion reactions of the entropy, a parameter that has so far been neglected in the analysis of nuclear reactions. Until now, the analysis of nuclear reactions has been based on the assessment of its exothermicity (the amount of energy released) and reaction rate [21]. The amount of energy released is expressed by the Qvalue that corresponds, through the Einstein’s equation, to the mass defect that, in turn, is calculated as the difference between the total mass of reactants and that of the products of the reaction. The reaction rate, i.e., the number of reactions per unit time and per unit volume, is a parameter related to the probability of the reaction and, therefore, to its kinetics.
By applying the classical thermodynamics, it results that the entropic contribution to the reaction spontaneity plays a different role in the fission and fusion reactions [22,23]. The operation of the plasmas at a very high temperature, adopted to increase the reaction rates in magnetically confined fusion machines, may significantly reduce the thermodynamic spontaneity of these processes. Consequently, this work introduces a new model for assessing the feasibility of the deuterium-based (D-based) reactions of interest for the magnetically confined nuclear fusion through the investigation of the temperature effect on both the kinetics and thermodynamics.

2. Theory

According to Einstein’s equation, an amount of energy corresponding to the masses’ difference of reactants and products (“defect of mass”) is released during a nuclear reaction:
E = Δm c2,
where Δm is the “mass defect” and c is the speed of the light.
This energy term, called Qvalue, is a parameter that can effectively determine the feasibility of a nuclear process. In fact, when the Qvalue is positive the reaction is exothermic and the process is considered to take place spontaneously.
Considering that most of the energy released from a nuclear reaction is in the end changed into heat, the Qvalue may correspond to the change in enthalpy (ΔH) unless the sign, as discussed in the following sections. In fact, due to the different rules adopted in nuclear physics and classical thermodynamics, a positive Qvalue (meaning that energy is released from the process) corresponds to a negative ΔH:
Qvalue = −ΔH
The exothermicity is a condition used to check between the occurrence of fission or fusion reactions. The distribution of the average binding energy (B) per nucleon (neutron or proton) vs. the mass number (A) is shown in Figure 1. Such a curve exhibits a maximum at A = 56 by distinguishing two regions. In fact, nuclear reactions are exothermic (Qvalue > 0) when the final products have a B/A larger than that of the reagents and, accordingly, two kinds of reactions can be identified in the graph of Figure 1. Below A = 56, light atoms merge to form a heavier nucleus and, therefore, fusion reactions take place while, over A = 56, heavy nuclei split into smaller fragments and fission reactions occur.
It is noteworthy to discuss how this general feasibility criterion, which relies on the energy released from the process, is correlated to the thermodynamic analysis of nuclear reactions.

2.1. Classical Thermodynamics Analysis of Chemical Processes

The classical thermodynamics is a theory commonly adopted in the analysis of chemical processes. The preliminary design of the process units of chemical plants is carried out through simplified procedures based on thermodynamic calculations. For example, classical thermodynamics studies examine the spontaneity of a process through the evaluation of the Gibbs free energy (G, J mol−1), which is defined by:
G = H − T S
where H is the enthalpy (J mol−1), T (K) the temperature, and S the entropy (J mol−1 K−1). For a given reaction, at a constant temperature and pressure the change in G can be calculated by:
ΔG = ΔH − T ΔS
The change in Gibbs free energy is given by the energy released by the system (ΔH) minus the entropic term (T ΔS). Specifically, a reaction occurs spontaneously when ΔG is negative, meaning that the amount of energy made available to produce work (−ΔG) corresponds to the energy released (−ΔH = Qvalue) net of the entropic contribution (T ΔS).
The assessment of these thermodynamic functions (G, H, S) is usually the first approach for designing the chemical plant units [24]. In fact, the energy balances of the process units are determined by the assessment of the change in enthalpy while the mass balances are derived from the concentrations of the reactants and products calculated through the relationship:
ΔG = −RT ln Keq
where R is the gas constant (8.31 J mol−1 K−1) and Keq (dimensionless) is the equilibrium constant given by the ratio at the chemical equilibrium of the activities (or molar concentrations) of the product species over those of the reactant species involved in the chemical reaction, taking stoichiometric coefficients of the reaction into account as exponents of the concentrations.
It is interesting to consider the reactions taking place with an entropy decrease (ΔS < 0): for instance, this is the case of the reactions proceeding with a reduction of the moles number. In such a case, the entropic term (−T ΔS) results in becoming positive, thus reducing the amount of released energy (−ΔH) that can be available for producing work (−ΔG). In other words, when ΔS < 0, a share of the energy released (−T ΔS) is spent to make the system more ordered. Such an amount of energy reduces the spontaneity level expected from the enthalpy change of an exothermic reaction.
The combinations of the changes in enthalpy and entropy in the chemical reactions and the role of the temperature is reported in a simplified way in Figure 2. The possible cases are the following:
-
Regardless of the temperature, the reactions with ΔH < 0 and ΔS > 0 are spontaneous, while those with ΔH > 0 and ΔS < 0 are non-spontaneous,
-
The reactions with ΔH < 0 and ΔS < 0 are spontaneous for T < Δ H Δ S , while those with ΔH > 0 and ΔS > 0 are spontaneous T > Δ H Δ S .
In particular, let us consider the exothermic reactions (ΔH < 0), which will be the subject of the following section relating to nuclear processes, where Qvalue > 0 is assumed. At low temperature, these reactions are spontaneous regardless of the change in the entropy, while, with the increasing temperature, the entropy could play a key role in establishing the reaction spontaneity. In fact, the entropic term (−T ΔS) of reactions characterized by a reduction of the moles number (ΔS < 0) increases with the temperature by contributing to the augmentation of the Gibbs free energy change that, finally, could overcome the zero and make the reaction non-spontaneous.

2.2. Classical Thermodynamic Analysis of Nuclear Processes

Once the classic thermodynamic approach used for the evaluation of chemical reactions has been introduced, it is possible to identify what is missing in the feasibility criterion adopted for nuclear reactions, which is based on the evaluation of the Qvalue. Such a criterion is well-related to the contribution to the reaction spontaneity coming from the change in enthalpy, while it does not provide any information on how the entropic term affects the reaction. When writing the change in Gibbs free energy of a nuclear reaction, something is missing:
ΔG = −Qvalue + ?
It is noteworthy to discuss the rationale behind such an approach, which could be justified by the analytical differences between fission and fusion reactions once the contribution of the entropic term is evaluated. In principle, moving from the definition of fission and fusion reactions, we expect to have positive change in entropy (ΔS > 0) in fission processes where “heavy nuclei split into smaller fragments”: these processes proceed with an increase of the particles number, creating a more disordered system. The opposite situation (ΔS < 0) occurs for fusion processes where “light atoms merge to form a heavier nucleus”. Moving from these considerations, the graph of Figure 3 shows the change in Gibbs free energy vs. the temperature for chemical and nuclear reactions.
As already introduced, only exothermic nuclear reactions (Qvalue positive, ΔH negative) are considered in the following. Regardless of the change in entropy, the feasibility criterion based on the assessment of the Qvalue alone could be justified by the fact that both fission and fusion nuclear reactions are characterized by extremely large energy releases: the enthalpy change of nuclear reaction (|ΔHnucl|) is of the order of 1 MeV per particle, which is much larger than those of chemical reactions (|ΔHchem|), which is around 1 eV per particle. That is, the nuclear reactions exhibit values of change in enthalpy that are very negative (and very large in absolute value)—about six orders of magnitude larger than those of the chemical processes. These large negative values of the change in enthalpy in the nuclear reactions could advise one to pay no attention to the contribution of the change in entropy. Especially, this is reasonable in fission (ΔS > 0) where the entropic term (−T ΔS) is negative: in fact, it can only contribute to further reduce the change in Gibbs free energy and then strengthening the reaction spontaneity.

2.3. The Role of Entropy in Fusion Reactions

In fusion reactions, the entropy change is negative (ΔS < 0) and, therefore, the entropic contribution (−T ΔS) to the Gibbs free energy change is positive. For instance, in the typical temperature range of chemical and fission processes (100–1000 K), this contribution is much lower than the change in enthalpy (|T ΔS| << |ΔH|): in such a way, the ΔG assumes soundly negative values and the fusion reactions occur spontaneously. Limiting the analysis to low temperature processes, one could believe that the feasibility criterion of having a strongly exothermic nuclear reaction (i.e., the presence of a very large Qvalue ≈ MeV) is sufficient to establish its spontaneity from a thermodynamic point of view. However, the realization of fusion power is mostly studied in tokamaks where a plasma of deuterium and tritium, magnetically confined, reacts at very high temperature (≈108 K): under these conditions, the entropic term is very large and could overcome the Qvalue. As previously discussed, when ΔS < 0, a share of the energy released (−T ΔS) is spent to make the system more ordered then reducing its spontaneity level. The higher the temperature, the more difficult and the more expensive it is to create order (i.e., the larger is the energy that has to be spent to make the system more ordered): this is the case of nuclear fusion, which is carried out in a plasma operated at very high temperatures. In these conditions, the entropic term achieves very high values and, possibly, balances or overcomes the energy released (Qvalue). In other words, in fusion reactions the temperature acts as a very powerful amplifier of the entropic term (−T ΔS) that, at a temperature of millions Kelvin, can suck up all the enormous energy released, namely the Qvalue.
Following the above considerations, the spontaneity of fusion reactions cannot be evaluated through its exothermicity assessment alone but must consider the entropic term in comparison with the Qvalue. The combination of (5) and (6) leads us to define a limit temperature T* below which the fusion reaction proceeds spontaneously. The temperature T* corresponds to the condition ΔG = 0 and, under the assumptions of processes carried out at constant temperature and pressure, it results in the following:
T * = Q value Δ S
According to the above discussion, the practicability of fusion reactions from a thermodynamic point of view could be based on the assessment of T*, which acts as a thermodynamic critical temperature.

3. Feasibility Criteria of Fusion Nuclear Reactions

As discussed above, a first criterion for establishing the feasibility of a nuclear reaction relies on the estimation of its Qvalue, which corresponds to the energy released by the reaction. This factor is commonly adopted in nuclear physics to establish the spontaneity of a process: the larger the positive Qvalue, the more likely the reaction is shifted towards the products. Particularly, for the fusion reactions, the Qvalue calculation has to be integrated with the assessment of the entropic contribution to the Gibbs free energy change. However, such a thermodynamic analysis is effective to describe a system under equilibrium conditions but provides no effective information on the reaction kinetics. For instance, it could happen that a spontaneous reaction (ΔG < 0) exhibits a very low reaction rate and proceeds very slowly, thus making the process unfeasible.
Once the change of the thermodynamic functions has been assessed, it is also necessary to evaluate its reaction rate in order to verify the feasibility of a nuclear process. Both the thermodynamic and kinetic parameters, namely the Gibbs free energy change and the reactivity, will hereafter be evaluated for the most studied deuterium-based fusion reactions. Specifically, the behavior of these parameters vs. the temperature will be discussed by considering the operating conditions of the tokamaks, which are machines designed for the exploitation of fusion power via a deuterium–tritium (DT) plasma magnetically confined at very high temperature.

3.1. Reaction Kinetics

In a nuclear fusion reaction, two positively charged nuclei must come into contact by winning the repulsive Coulomb force. The consequent force field produces a potential barrier of the order of 1 MeV at a distance of approximately the nuclear radius while, below such a distance, the nuclear attractive forces prevail. Although the classical mechanics foresee that only nuclei with energy exceeding the potential barrier can react, the quantum mechanics allows for tunneling through a potential barrier of finite extension. Gamow’s theory links the cross section to the tunneling of the Coloumb barrier and then to the probability of the reaction [21]:
σ   ε = S   ε ε e ε G ε
where σ(ε) is the cross section (arbitrary units) for reacting particles of energy ε (arbitrary units), S(ε) (arbitrary units) a factor weakly varying in function of the energy, and ε G which is the Gamow energy that in practice acts as an energy barrier.
The reactivity, which is related to the likelihood that a reaction occurs, assesses the probability of reaction per unit time and unit density of the target nuclei. It is evaluated by the product of the cross section (σ) and the particle velocity (v). Usually, for the fusion reactions an averaged reactivity <σ v> is calculated by taking into account the velocity distribution of the particles according to experimental data [25] or by using specific models, as in the case of the Maxwell-averaged reactivity [26,27].

3.2. Entropy Assessment

The assessment of the thermodynamic functions (G, H, S) for the chemical processes relies on the availability of a complete database reporting these values for the chemical elements. Following the thermodynamic rules, it is in turn easy to calculate the values of the thermodynamic functions for all the possible molecules and compounds involved in the studied processes [24]. However, several particles involved in nuclear reactions consist of isotopes and nucleons (neutrons, protons) that are not considered in the available thermodynamic database: in this case, it is needed to establish an alternative approach to assess their thermodynamic functions change.
As seen, most of the energy released from a nuclear reaction is at the end turned into heat and its enthalpy change could be estimated to a good approximation by the Qvalue, as defined by Formula (2).
The assessment of the entropy can be done via statistical thermodynamic methods: such an approach has been used to calculate the entropy of “compound nucleuses”, which are intermediate compounds consisting of target nucleuses and the projectiles of nuclear reactions in excited states [28,29]. The evaluation of the statistical analogous of thermodynamic properties moves from the assessment of the partition function of the system (Q) at constant temperature and volume. In turn, the entropy (S) is related to Q by the following expression [24]:
S = k ·   T   ln Q T N , V
where k is the Boltzmann constant and T the absolute temperature.
For a perfect gas, the partition function is given by:
Q = 1 N ! · V N 2 · π · m · k · T h 2 3 2 N f int N
where N is the number of particles, m their mass, h the Plank constant, and fint is the partition function of each particle (or molecule). For monoatomic compounds, fint is equal to 1.
Combining the above expressions, the Sackur–Tetrode equation is obtained:
S = n · R · ln M 3 2 · T 5 2 P 1.16
where n is the number of moles (1 mole = 6.022 × 1023 particles), P is the pressure (atm), M the molecular weight, and R the gas constant.

4. Results

The realization of the fusion energy via magnetic-confinement devices is focused on the exploitation of deuterium-based reactions. The most studied reaction is that between deuterium (D) and tritium (T), which react to form 4He and a neutron:
H 1 2 + H 1 3 = H 2 4 e + n 0 1          Q value = 17.586   MeV
The other fusion reaction studied is that between two deuterium atoms. It has two branches, both with branching ratio around 0.50. The first one produces tritium and a proton:
H 1 2 + H 1 2 = H 1 3 + p 1 1          Q value = 4.032   MeV
and the second one produces 3He and a neutron:
H 1 2 + H 1 2 = H 2 3 e + n 0 1          Q value = 3.2674   MeV
Finally, a fourth reaction between deuterium and 3Helium is considered in this study:
H 1 2 + H 2 3 e = H 2 4 e + p 1 1          Q value = 18.351   MeV

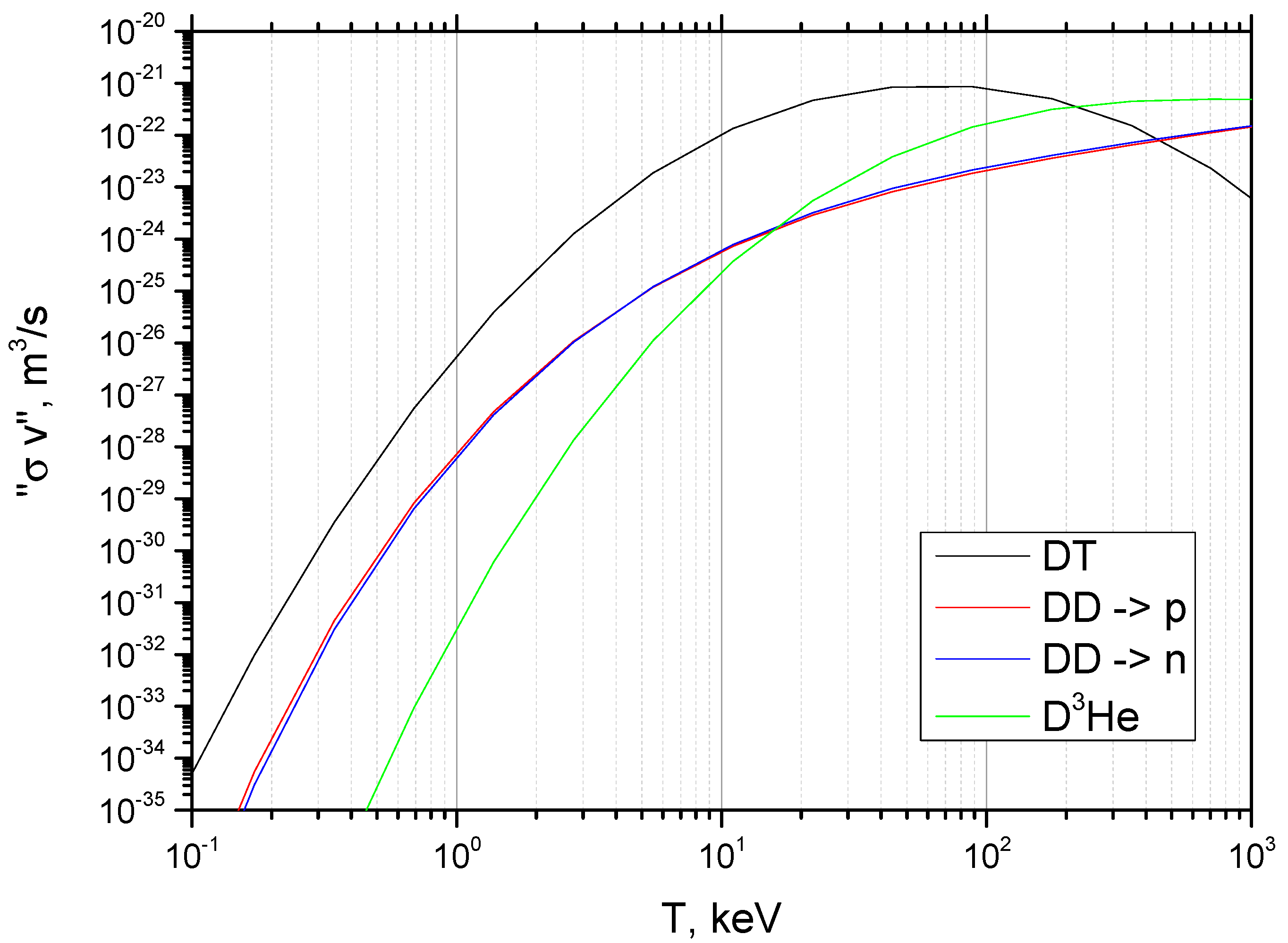
4.1. Reactivity of the D-Based Reactions

The reactivity of these D-based reactions is shown in the graph of Figure 4, in which the temperature is measured in keV (1 keV/kB = 1.16 × 107 K, where kB is the Boltzmann constant). In fact, in nuclear physics the temperature of particles is usually expressed in terms of the energy that corresponds to the center-of-mass of their velocity distribution.
Among the D-based reactions, the reaction (1) exhibits the highest reactivity and it is the main process considered in the designs of future fusion power plants. In these reactors, the tritium is produced by a Li-based breeding blanket surrounding the plasma chamber where the deuterium–tritium is heated at around 1.5 × 108 K ≈ 13 keV [30,31]. At this temperature, the reactivity of the reaction (1) is around 1.91 × 10−22 m3/s, which is higher than that of the reactions (2) and (3) (both around 1 × 10−24 m3/s) and of the reaction (4) (around 7.40 × 10−25 m3/s).

4.2. Entropy of the D-Based Reactions

The Sackur–Tetrode equation can be used to assess the entropy of fusion reactions of interest for applications in the tokamaks under the hypothesis that the reacting particles, at plasma state, behave as a perfect gas.
Moreover, the Equation (11) is not appropriate to the sub-nuclear particles as those involved in the fusion reactions (neutrons, protons, etc.). The Sackur–Tetrode equation can be applied only to atoms and, therefore, the initial and final states of the fusion reactions have to be selected in order to comply with this condition.
For the four D-based reactions considered, the initial state consists of two monoatomic atoms (deuterium, 4He, tritium, 3He) at high temperature and pressure of 5 × 10−5 atm (≈5 Pa), a value in agreement with both experiments and designs of magnetic fusion devices [32,33]. Under these conditions, the Sackur–Tetrode equation can be effectively applied.
In order to comply with the Sackur–Tetrode equation, the final state of the reactions (12)–(15) has been chosen under the assumption that their products (atoms of helium and tritium, protons, and neutrons) have interacted with the system’s walls and changed their energy into heat. Such a condition could be verified in a tokamak surrounded by shielding walls where the energy released by the nuclear reactions is extracted through a cooling system at 700 K, a temperature representative of shielding and blanket systems of the magnetically confined fusion devices [34]. With the aim to highlight the final state considered, the reactions (12)–(15) can be rewritten as follows:
D +   T   = H 4 e   + 17.586   MeV
D +   D   =   T   + 4.032   MeV
D +   D   = H 3 e + 3.2674   MeV
D + H 3 e   = H 4 e   + 18.351   MeV
As in the Sackur–Tetrode expression, the change of pressure has a modest influence on the entropy assessment, and its variation was not taken into consideration.
The change in Gibbs free energy between the initial and final states above-defined can be evaluated by the following expression:
Δ G = Δ H   Δ T   S
In this calculation, the initial and the final state correspond to the reactants at the generic temperature T and the products at 700 K, respectively. The change in enthalpy is given by the Qvalue and the expression (20) becomes:
Δ G =   Q value 700   S 700   K     T   S T
where S700K and ST are the values of the entropy calculated via the Sackur–Tetrode equation at 700 K and at the reactants’ temperature T (K), respectively.
The thermodynamic critical temperature T*, previously introduced and defined by the equilibrium condition ΔG = 0, is obtained by solving the expression:
Qvalue = [T S]700 K − [T S]T*
In the following sections, to directly compare the effect of the temperature on the thermodynamics and kinetics of the reactions studied, the ΔG values calculated by the expression (21) are reported together with those of the reactivity (Figure 5, Figure 6, Figure 7 and Figure 8).

4.3. Deuterium–Tritium Reaction

The deuterium–tritium (DT) reaction is the most studied fusion reaction in the magnetically confined machines, in which the plasma is operated at around 13 keV (1.5 × 108 K) [19]. As shown in Figure 5, this reaction exhibits the maximum reactivity (about 9.1 × 10−22 m3/s) at 64 keV (7.42 × 108 K) while the limit temperature T* is 1.32 × 102 keV (1.58 × 109 K). The operation at this temperature is very challenging from an engineering point of view and will need the development of special technologies and materials. At this temperature, the reactivity is about 2 × 10−22 m3/s, which is around one fourth of the maximum one: such a value is considered enough to realize a tritium burn fraction (i.e., the amount of tritium burned in the plasma before confinement is lost) that is capable guaranteeing the tritium self-sufficiency conditions of the fusion reactors [35,36,37]. At 13 keV (1.5 × 108 K) the change in Gibbs free energy is −16.0 MeV, demonstrating the sound spontaneity of this reaction. Around the maximum of its reactivity (64 keV or 7.42 × 108 K), the ΔG of the DT reaction is −9.51 MeV, thus exhibiting a good spontaneity.

4.4. Deuterium–Deuterium Reaction to Produce Tritium and a Proton

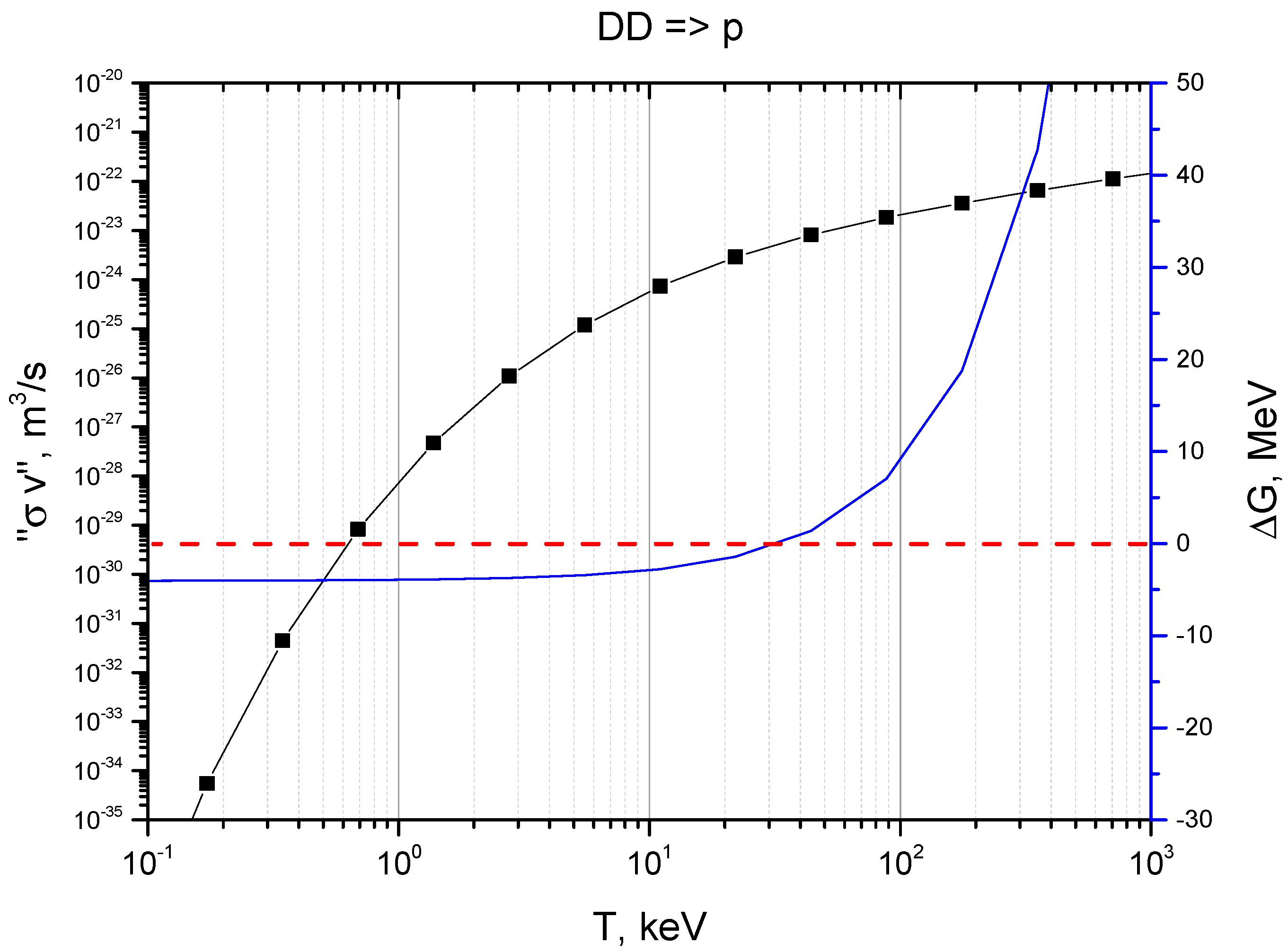
The first branch of the reaction deuterium–deuterium (DD) produces tritium and a proton: it exhibits a poor spontaneity (ΔG = −2.53 MeV) at the tokamaks’ temperature (13 keV or 1.5 × 108 K) that is very close to its limit temperature T* (33.4 keV or 3.88 × 108 K); see Figure 6. The maximum reactivity of 1.76 × 10−22 m3/s is achieved at much higher temperatures (1250 keV or 1.45 × 1010 K): in these conditions, the ΔG becomes positive (+1.70 × 102 MeV) and the reaction is not spontaneous. In practice, the thermodynamic spontaneity of this reaction is correlated to very low kinetics, and vice versa.

4.5. Deuterium–Deuterium Reaction to Produce 3Helium and a Neutron

The second branch of the reaction DD produces 3Helium and a neutron and is characterized by values of ΔG and a reactivity very similarly to those of the first DD branch; see Figure 7. The application of the Sackur–Tetrode equation to the reactions (13) and (14) leads to the calculation of the same values of change in entropy and, therefore, the change in Gibbs free energy for these two reactions is very similar. It differs by about 0.76 MeV, due to the slightly different contribution to the ΔG coming from the Qvalue, which is 4.032   MeV and 3.267   MeV for the reactions (13) and (14), respectively.
The limit temperature T* is 26.7 keV (3.10 × 108 K) while at the tokamaks’ temperature the ΔG is −1.77 MeV. The reactivity maximum of 2.19 × 10−22 m3/s is achieved at higher temperatures (1750 keV or 2.03 × 1010 K): in these conditions, the ΔG is positive (+2.43 × 102 MeV) and the reaction turns out to be non-spontaneous.

4.6. Deuterium–3Helium Reaction

As reported in Figure 8, the reaction D3He is characterized by values of change in Gibbs free energy that are very similar to those of the reaction DT. In fact, the Sackur–Tetrode equation assesses the same values of entropy for the reactions (16) and (19): their ΔG differ by 0.76 MeV, i.e., the difference of their Qvalue, 17.586 MeV and 18.351 MeV, respectively for the DT and the D3He reactions. As discussed previously, the reactivity of the reaction D3He is lower than that of reaction DT, which is at least two orders of magnitude at the tokamaks’ temperature, i.e., about 10−24 m3/s (for DT) against 10−22 m3/s (for D3He).
The limit temperature T* is one order of magnitude higher (1.42 × 102 keV or 1.65 × 109 K) than the tokamak’s temperature, at which the reaction exhibits a large spontaneity (ΔG = −16.8 MeV). The reactivity maximum of 3.96 × 10−22 m3/s is achieved at 250 keV (2.90 × 109 K): in these conditions, the ΔG is positive (+9.81 MeV) and the reaction is not spontaneous. As for the two DD reactions, it is not possible to simultaneously maximize the thermodynamic spontaneity and the reaction kinetics. From Figure 8, it is possible to see the effect of the temperature on the ΔG and the reactivity: when increasing the temperature by one order of magnitude from 101 to 102 keV the reactivity moves from 10−25 to 10−22 m3/s while the ΔG passes from −17.2 to −5.67 MeV. This means that when increasing the temperature from 101 to 102 keV, the entropic term (−T ΔS) absorbs 11.5 MeV of the Qvalue and, therefore, a large fraction of the energy released by the reaction is spent to make the system more ordered.

5. Discussion

The four D-based reactions (16)–(19) are characterized by a limit temperature T* higher than 1.5 × 108 K (≈13 keV), the operating temperature foreseen in the tokamaks, which are devices in which a plasma of hydrogen isotopes is magnetically confined to exploit fusion energy. From a thermodynamic point of view, all the fusion reactions considered here are feasible, although with different levels of spontaneity.
At the tokamak’s temperature 1.5 × 108 K (≈13 keV), the two branches of the DD reaction exhibit poor performance in terms of both thermodynamic spontaneity and reactivity. Borrowing the jargon used by chemists, we could say that in tokamak devices the DD plasma reacts a little (i.e., only few D atoms react to produce 3He or tritium) and very slowly, at least two orders of magnitude less than the DT reaction does. Furthermore, any change of the temperature is ineffective to improve the reaction feasibility: the temperature should increase to improve the reaction kinetics but in this way the reaction conversion should further reduce by making the process non-spontaneous, and vice versa. In fact, the higher the temperature, the higher the probability that the atoms react according to the expression (8) but, simultaneously, the higher the share of the energy released by the reaction (Qvalue) that has to be spent to make the system more ordered (“−T ΔS”).
The reaction DT is the most promising among those considered for exploiting the fusion energy in tokamaks: it exhibits a sound spontaneity with a value ΔG = −16.0 MeV at 1.5 × 108 K (≈ 13 keV), a temperature that is close to its reactivity maximum (about 9.1 × 10−22 m3/s) occurring at 64 keV (7.42 × 108 K). Such values of reactivity correspond to a modest probability of reaction that, however, is considered enough to guarantee both the tritium self-sufficiency and the tritium burning rate needed to operate the fusion power plants with a net energy production.
In principle, there are several aspects that make D3He with respect to DT an appealing choice: the use of a non-radioactive fuel (3He instead of tritium) and the possibility to directly convert a part of the plasma energy into electricity [38,39,40]. Further, for the D3He reaction the development of the reactor materials is less challenging than for the DT one due to the smaller neutron damages and the absence of the breeding blanket. The D3He reaction exhibits ΔG values very close to those of the DT reaction: in fact, their limit temperatures T* are 1.42 × 102 keV (1.65 × 109 K) and 1.32 × 102 keV (1.58 × 109 K), respectively, which are both well-above the tokamaks’ temperature.
On the contrary, the D3He reaction kinetics is near that of the DD reactions: at the tokamaks’ temperature, its reactivity is of the order of 10 × 10−24 m3/s, which is at least two orders of magnitude lower than that of the DT reaction. Differently from the DD reactions, in this case there is a margin to take advantage of regarding the temperature increase in order to improve the reaction kinetics. In fact, close to its limit temperature (1.42 × 102 keV or 1.65 × 109 K) the reactivity rises to about 10−22 m3/s, which are values corresponding to the reactivity of the DT reaction studied in the tokamak devices. However, in these conditions the energy made available reduces significantly, from −16.8 MeV (at the tokamak temperature) to few MeV, making the reaction less competitive from an energy point of view. Furthermore, for achieving the DT reaction performances, the D3He reaction should address several complications, mainly due to the much higher plasma confinement and plasma pressure, which have never been demonstrated experimentally.
In the limits of the assumptions done, this study demonstrates that the D-based reactions considered and, particularly, the DT reaction, are thermodynamically spontaneous at the tokamaks’ temperature. However, as a final remark, this analysis provides evidence that, from a thermodynamic point view, the operation at a very high temperature (such as for the hot plasmas) acts to reduce the feasibility of the fusion processes. In fact, the higher the temperature, the higher the share of the energy released by the fusion reaction that is absorbed by the entropic term. These considerations suggest maintaining the development of alternative systems where the energy needed to win the kinetic barriers is provided to the reactants at temperatures as low as possible.

6. Summary, Conclusions, and Outlook

This thermodynamic analysis of nuclear reactions demonstrates the different roles played by entropy in fission and fusion processes. In particular, in the fusion reactions the operation at a very high temperature could involve a positive change in Gibbs free energy and then making the process non-spontaneous. In the fusion reactions that are studied in tokamak devices where a magnetically confined plasma is heated at millions Kelvin, the temperature acts as a very powerful amplifier of the entropic term (−T ΔS), which could absorb all the energy corresponding to the Qvalue. The concept of a limit temperature T* has been introduced as a thermodynamic criterion for establishing the feasibility of these nuclear processes. It is the temperature at which the ΔG equals to zero, i.e., indicating the passage from a spontaneous process (ΔG < 0) to a non-spontaneous one (ΔG > 0).
The assessments carried out in this work have considered four deuterium-based fusion reactions of potential interest for exploiting the fusion energy on the Earth.
At the tokamaks’ temperature, the two branches of the DD reaction exhibit a modest spontaneity (ΔG around −2 MeV) coupled to very low reactivity values (10−24 m3/s). However, raising the temperature to increase the reactivity would be ineffective in improving the feasibility of the reaction as it would also increase the entropic term, thus shifting the ΔG towards positive values. The D3He reaction at the tokamaks’ temperature exhibits reactivity values similar to those of the DD one (around 10−24 m3/s), but has a limit temperature of 1.65 × 109 K, which is about two orders of magnitude higher than that of tokamaks. In this case, an increase of the plasma temperature could augment the reactivity up to values of 10−22 m3/s, which are considered enough for the operations of the tokamaks designed for the DT reaction. However, these operating conditions significantly reduce the energy made available by the D3He reaction and would require the achievement of a plasma confinement and control that have never been demonstrated experimentally.
Finally, this analysis confirms that the DT reaction is the most promising fusion reaction to be realized through tokamak devices. At the temperature of 1.5 × 108 K (≈13 keV) the DT reaction shows a large thermodynamic spontaneity coupled with reactivity values of the order of 10−22 m3/s.

Funding

This research received no external funding.

Data Availability Statement

Data sharing not applicable. Data was obtained by employing the equations described in this study and using the literature sources mentioned.

Conflicts of Interest

The author declares no conflict of interest.

References

  1. 2021 Strategic Foresight Report—The EU’s Capacity and Freedom to Act. Available online: https://ec.europa.eu/info/sites/default/files/strategic_foresight_report_2021_en.pdf (accessed on 5 May 2023).
  2. bp Statistical Review of World Energy 2022—71st Edition. Available online: https://www.google.com/url?sa=t&rct=j&q=&esrc=s&source=web&cd=&ved=2ahUKEwjen5uc44z8AhV0RvEDHQhzA2oQFnoECBcQAQ&url=https%3A%2F%2Fwww.bp.com%2Fcontent%2Fdam%2Fbp%2Fbusiness-sites%2Fen%2Fglobal%2Fcorporate%2Fpdfs%2Fenergy-economics%2Fstatistical-review%2Fbp-stats-review-2022-full-report.pdf&usg=AOvVaw1M37wlAu6qujo7XTIb-KW8 (accessed on 5 May 2023).
  3. Sustainable Development Goals (SDGs). Available online: https://unric.org/en/united-nations-sustainable-development-goals/ (accessed on 5 May 2023).
  4. Marseglia, G.; Rivieccio, E.; Medaglia, C.M. The dynamic role of Italian Energy strategies in the worldwide scenario. Kybernetes 2019, 48, 636–649. [Google Scholar] [CrossRef]
  5. Capurso, T.; Stefanizzi, M.; Torresi, M.; Camporeale, S.M. Perspective of the role of hydrogen in the 21st century energy transition. Energy Convers. Manag. 2022, 251, 114898. [Google Scholar] [CrossRef]
  6. Maestre, V.M.; Ortiz, A.; Ortiz, I. Challenges and prospects of renewable hydrogen-based strategies for full decarbonization of stationary power applications. Renew. Sustain. Energy Rev. 2021, 152, 111628. [Google Scholar] [CrossRef]
  7. Trelles, J.P. Solar-plasma reactors for CO2 conversion. J. Phys. D Appl. Phys. 2022, 55, 103001. [Google Scholar] [CrossRef]
  8. Tosti, S.; Pozio, A.; Farina, L.; Santucci, A. Hydrogen and Oxygen Production via Water Splitting in a Solar-Powered Membrane Reactor—A Conceptual Study. Hydrogen 2021, 2, 18–32. [Google Scholar] [CrossRef]
  9. Nuclear Power in a Clean Energy System, IEA Report, May 2019. Available online: https://iea.blob.core.windows.net/assets/ad5a93ce-3a7f-461d-a441-8a05b7601887/Nuclear_Power_in_a_Clean_Energy_System.pdf (accessed on 5 May 2023).
  10. Li, C.-j.; Zhang, C.-m.; Chen, Y.; Zuo, J.-x.; Chen, J.-y. The Study on Safety Goals and Public Acceptance of Nuclear Power. Energy Procedia 2013, 39, 415–422. [Google Scholar]
  11. Roh, S.; Kim, D. The relationship between public acceptance of nuclear power generation and spent nuclear fuel reuse: Implications for promotion of spent nuclear fuel reuse and public engagement. Nucl. Eng. Technol. 2022, 54, 2062–2066. [Google Scholar]
  12. Artsimovich, L. The Road to Controlled Nuclear Fusion. Nature 1972, 239, 18–22. [Google Scholar] [CrossRef]
  13. Toschi, R. Nuclear fusion, an energy source. Fusion Eng. Des. 1997, 36, 1–8. [Google Scholar] [CrossRef]
  14. Ongena, J. Fusion: A true challenge for an enormous reward. EPJ Web Conf. 2018, 189, 00015. [Google Scholar] [CrossRef]
  15. Moir, R.W. Feasibility study of a magnetic fusion production reactor. J. Fusion Energy 1986, 5, 257–269. [Google Scholar] [CrossRef]
  16. Carruthers, R. The Fusion Dilemma. Interdiscip. Sci. Rev. 1981, 6, 127–141. [Google Scholar] [CrossRef]
  17. Sheffield, J. Physics requirements for an attractive magnetic fusion reactor. Nucl. Fusion 1985, 25, 1733. [Google Scholar] [CrossRef]
  18. Parkins, W.E. Energy. Fusion Power: Will It Ever Come? Science 2006, 311, 16527955. [Google Scholar] [CrossRef]
  19. Ongena, J.; Koch, R.; Wolf, R.; Zohm, H. Magnetic-confinement fusion. Nat. Phys. 2016, 12, 398–410. [Google Scholar] [CrossRef]
  20. Campbell, D.J.; Akiyama, T.; Barnsley, R.; Bassan, M.; Baylor, L.R.; Bertalot, L. Innovations in Technology and Science R&D for ITER. J. Fusion Energy 2019, 38, 11–71. [Google Scholar] [CrossRef]
  21. Atzeni, S.; Meyer-ter-Vehn, J. The Physics of Inertial Fusion: Beam Plasma Interaction, Hydrodynamics, Hot Dense Matter; Oxford University Press: Oxford, UK, 2008. [Google Scholar] [CrossRef]
  22. Tosti, S. Spontaneity of Nuclear Fusion: A Qualitative Analysis via Classical Thermodynamics. Open Res. Eur. 2021, 1, 67. Available online: https://open-research-europe.ec.europa.eu/articles/1-67 (accessed on 5 May 2023). [CrossRef]
  23. Tosti, S.; Marrelli, L. Classical Thermodynamic Analysis of Deuterium-Based Fusion Reactions. Hydrogen 2022, 3, 53–61. Available online: https://www.mdpi.com/2673-4141/3/1/4 (accessed on 5 May 2023). [CrossRef]
  24. Denbigh, K.G. The Principles of Chemical Equilibrium: With Applications in Chemistry and Chemical Engineering; Cambridge University Press: Cambridge, UK, 1981. [Google Scholar] [CrossRef]
  25. Bosch, H.-S.; Hale, G.M. Improved Formulas for Fusion Cross-Sections and Thermal Reactivities. Nucl. Fusion 1992, 2, 611. Available online: https://iopscience.iop.org/article/10.1088/0029-5515/32/4/I07/pdf (accessed on 5 May 2023). [CrossRef]
  26. Hively, L.M. Convenient Computational Forms for Maxwellian Reactivities. Nucl. Fusion 1977, 17, 873. Available online: https://iopscience.iop.org/article/10.1088/0029-5515/17/4/019 (accessed on 5 May 2023). [CrossRef]
  27. Hively, L.M. A simple computational form for Maxwellian reactivities. Nucl. Technol. Fusion 1983, 3, 199–200. [Google Scholar] [CrossRef]
  28. Isvoranu, D.; Badescu, V. Radiation exergy: The case of thermal and nuclear energy. Int. J. Nucl. Gov. Ance Econ. Ecol. 2008, 2, 90–112. [Google Scholar] [CrossRef]
  29. Badescu, V. Exergy of nuclear radiation—A quantum statistical thermodynamics approach. Open Phys. 2009, 7, 141–146. [Google Scholar] [CrossRef]
  30. Siccinio, M.; Biel, W.; Cavedon, M.; Fable, E.; Federici, G.; Janky, F.; Lux, H.; Maviglia, F.; Morris, J.; Palermo, F.; et al. DEMO physics challenges beyond ITER. Fusion Eng. Des. 2020, 156, 111603. [Google Scholar] [CrossRef]
  31. Kembleton, R. Technological features of a commercial fusion power plant, and the gap from DEMO. Fusion Eng. Des. 2023, 190, 113544. [Google Scholar] [CrossRef]
  32. Garcia, J.; Challis, C.; Gallart, D.; Garzotti, L.; Görler, T.; King, D.; Mantsinen, M.; JET Contributors. Challenges in the Extrapolation from DD to DT Plasmas: Experimental Analysis and Theory Based Predictions for JET-DT. Plasma Phys. Control. Fusion 2017, 59, 014023. Available online: https://iopscience.iop.org/article/10.1088/0741-3335/59/1/014023 (accessed on 5 May 2023). [CrossRef]
  33. Giegerich, T.; Day, C.; Gliss, C.; Luo, X.; Strobel, H.; Wilde, A.; Jimenez, S. Preliminary configuration of the torus vacuum pumping system installed in the DEMO lower port. Fusion Eng. Des. 2019, 146, 2180–2183. [Google Scholar] [CrossRef]
  34. Cismondi, F.; Boccaccini, L.V.; Aiello, G.; Aubert, J.; Bachmann, C.; Barrett, T.; Zanino, R. Progress in EU Breeding Blanket design and integration. Fusion Eng. Des. 2018, 136, 782–792. [Google Scholar] [CrossRef]
  35. Abdou, M.; Riva, M.; Ying, A.; Day, C.; Loarte, A.; Baylor, L.R. Physics and technology considerations for the deuterium–tritium fuel cycle and conditions for tritium fuel self sufficiency. Nucl. Fusion 2021, 61, 013001. [Google Scholar] [CrossRef]
  36. Xie, H.; Chan, V.S.; Ding, R.; Shi, N.; Jian, X.; Zagórski, R.; Li, J.; The CFETR Team. Evaluation of tritium burnup fraction for CFETR scenarios with core-edge coupling simulations. Nucl. Fusion 2020, 60, 046022. [Google Scholar] [CrossRef]
  37. Day, C.; Battes, K.; Butler, B.; Davies, S.; Farina, L.; Frattolillo, A.; George, R.; Giegerich, T.; Hanke, S.; Hartl, T.; et al. The pre-con cept design of the DEMO tritium, matter injection and vacuum systems. Fusion Eng. Des. 2022, 179, 113139. [Google Scholar] [CrossRef]
  38. Mazzucato, E. A First Generation Fusion Reactor Using the D-3He Cycle. Fusion Sci. Technol. 2021, 77, 173–179. [Google Scholar] [CrossRef]
  39. Stott, P.E. The feasibility of using D–3He and D–D fusion fuels. Plasma Phys. Control Fusion 2005, 47, 1305–1338. [Google Scholar] [CrossRef]
  40. De Temmerman, G. The helium bubble: Prospects for 3He-fuelled nuclear fusion. Future Energy Joule 2021, 5, 1312–1315. [Google Scholar] [CrossRef]
Figure 1. The distribution of the average binding energy per nucleon (neutron or proton) vs. the mass number (see also Ref. [22]).
Figure 1. The distribution of the average binding energy per nucleon (neutron or proton) vs. the mass number (see also Ref. [22]).
Energies 16 03996 g001
Figure 2. Changes in enthalpy, entropy, and free Gibbs energy (arbitrary units) in chemical reactions vs. the temperature (arbitrary units): the value of ΔG calculated through the expression (4) is reported along the temperature for the different cases (exothermic/endothermic reactions occurring with positive or negative change in entropy).
Figure 2. Changes in enthalpy, entropy, and free Gibbs energy (arbitrary units) in chemical reactions vs. the temperature (arbitrary units): the value of ΔG calculated through the expression (4) is reported along the temperature for the different cases (exothermic/endothermic reactions occurring with positive or negative change in entropy).
Energies 16 03996 g002
Figure 3. Change in Gibbs free energy vs. the temperature. Comparison of the behavior of chemical and nuclear reactions. ΔHchem and ΔHnucl indicate the change in enthalpy of chemical and nuclear reactions, respectively. ΔGFIS and ΔGFUS indicate the change in Gibbs free energy of fission and fusion reactions, respectively.
Figure 3. Change in Gibbs free energy vs. the temperature. Comparison of the behavior of chemical and nuclear reactions. ΔHchem and ΔHnucl indicate the change in enthalpy of chemical and nuclear reactions, respectively. ΔGFIS and ΔGFUS indicate the change in Gibbs free energy of fission and fusion reactions, respectively.
Energies 16 03996 g003
Figure 4. Values of the Maxwell-averaged reactivities “σ v” of D-based reactions calculated from literature [26,27]. “DT” is indicating the reaction (12), “DD -> p” the reaction (13), “DD -> n” the reaction (14) and “D3He” the reaction (15).
Figure 4. Values of the Maxwell-averaged reactivities “σ v” of D-based reactions calculated from literature [26,27]. “DT” is indicating the reaction (12), “DD -> p” the reaction (13), “DD -> n” the reaction (14) and “D3He” the reaction (15).
Energies 16 03996 g004
Figure 5. Reactivity (square and black line) and change of Gibbs free energy (blue line) vs. temperature for the deuterium–tritium reaction (the red dashed line indicates ΔG = 0: below it the reaction occurs spontaneously).
Figure 5. Reactivity (square and black line) and change of Gibbs free energy (blue line) vs. temperature for the deuterium–tritium reaction (the red dashed line indicates ΔG = 0: below it the reaction occurs spontaneously).
Energies 16 03996 g005
Figure 6. Reactivity (square and black line) and change in Gibbs free energy (blue line) vs. temperature for the deuterium–deuterium reaction branch to produce Tritium and a proton (the red dashed line indicates ΔG = 0: below it the reaction occurs spontaneously).
Figure 6. Reactivity (square and black line) and change in Gibbs free energy (blue line) vs. temperature for the deuterium–deuterium reaction branch to produce Tritium and a proton (the red dashed line indicates ΔG = 0: below it the reaction occurs spontaneously).
Energies 16 03996 g006
Figure 7. Reactivity (square and black line) and change in Gibbs free energy (blue line) vs. temperature for the deuterium–deuterium reaction branch to produce 3Helium and a neutron (the red dashed line indicates ΔG = 0: below it the reaction occurs spontaneously).
Figure 7. Reactivity (square and black line) and change in Gibbs free energy (blue line) vs. temperature for the deuterium–deuterium reaction branch to produce 3Helium and a neutron (the red dashed line indicates ΔG = 0: below it the reaction occurs spontaneously).
Energies 16 03996 g007
Figure 8. Reactivity (square and black line) and change in Gibbs free energy (blue line) vs. temperature for the deuterium–3helium reaction (the red dashed line indicates ΔG = 0: below it the reaction occurs spontaneously).
Figure 8. Reactivity (square and black line) and change in Gibbs free energy (blue line) vs. temperature for the deuterium–3helium reaction (the red dashed line indicates ΔG = 0: below it the reaction occurs spontaneously).
Energies 16 03996 g008
Disclaimer/Publisher’s Note: The statements, opinions and data contained in all publications are solely those of the individual author(s) and contributor(s) and not of MDPI and/or the editor(s). MDPI and/or the editor(s) disclaim responsibility for any injury to people or property resulting from any ideas, methods, instructions or products referred to in the content.

Share and Cite

MDPI and ACS Style

Tosti, S. Classical Thermodynamic Analysis of D-Based Nuclear Fusion Reactions: The Role of Entropy. Energies 2023, 16, 3996. https://doi.org/10.3390/en16103996

AMA Style

Tosti S. Classical Thermodynamic Analysis of D-Based Nuclear Fusion Reactions: The Role of Entropy. Energies. 2023; 16(10):3996. https://doi.org/10.3390/en16103996

Chicago/Turabian Style

Tosti, Silvano. 2023. "Classical Thermodynamic Analysis of D-Based Nuclear Fusion Reactions: The Role of Entropy" Energies 16, no. 10: 3996. https://doi.org/10.3390/en16103996

APA Style

Tosti, S. (2023). Classical Thermodynamic Analysis of D-Based Nuclear Fusion Reactions: The Role of Entropy. Energies, 16(10), 3996. https://doi.org/10.3390/en16103996

Note that from the first issue of 2016, this journal uses article numbers instead of page numbers. See further details here.

Article Metrics

Back to TopTop