Simulation-Based Analysis of a Novel CO2 Ground Source Heat Pipe (GSHP) to Reduce Temperature Fluctuations in Pavements in Different Climatic Conditions
Abstract
:1. Introduction
2. Materials and Methods
2.1. Governing Equations
2.2. Boundary Conditions
2.3. Climate Locations
3. Results
3.1. Validation
3.1.1. Steady-State Conditions
3.1.2. Transient Modeling Validation
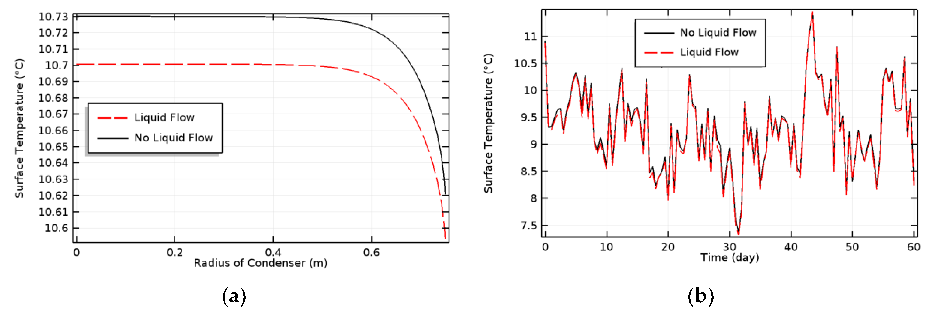
3.1.3. GSHP Transient Analysis with Liquid Flow in the Wick
3.2. Parametric Analysis at Steady-State Conditions
3.3. Transient Analysis of GSHP in Various Climate Zones
3.4. Parametric Analysis
3.4.1. The Effect of the Climatic Conditions
3.4.2. The Effect of the GSHP Size on the Performance
4. Conclusions
Author Contributions
Funding
Institutional Review Board Statement
Informed Consent Statement
Data Availability Statement
Acknowledgments
Conflicts of Interest
Nomenclature
| Fluid pressure, Pa | |
| Universal Gas Constant, 8.314 J/mol/K | |
| Temperature, K | |
| Time, s | |
| Fluid velocity, m/s | |
| Velocity field at z component, m/s | |
| Unit matrix | |
| Specific heat capacity at constant pressure, J/kg/K | |
| Rate of heat transfer, W | |
| Heat flux, W/m2 | |
| Thermal conductivity, W/m2/K | |
| Fluid absolute pressure, Pa | |
| Fluid velocity, m/s | |
| Fluid pressure, Pa | |
| Volumetric mass source, kg/m3/s | |
| Crimping factor | |
| Mesh number | |
| Filament diameter of screen wick | |
| L | Length, m |
| The normal vector of the r-axis | |
| The normal vector of the z-axis | |
| Fluid mass flow rate, kg/s | |
| Convection coefficient, W/m2/K | |
| Wind speed, m/s | |
| Latent heat of vaporization, J/kg | |
| rv | The radius of the vapor channel, m |
| rw | The radius of the wick, m |
| ro | The radius of the outer wall, m |
| Hc | The height of the vapor channel in the disk shape, m |
| Greek | |
| Density, kg/m3 | |
| Dynamic viscosity, Pa·s | |
| τ | Stress tensor, N/m2 |
| ε | Porosity |
| αp | Coefficient of thermal expansion, 1/K |
| Permeability of the wick structure, m2 | |
| βF | Forchheimer coefficient, kg/m4 |
| θs | The total volume fraction of solid material |
| δwall | The heat pipe wall thickness, m |
| δwick | The wick thickness, m |
| Subscripts | |
| Viscous dissipation | |
| Solid | |
| Fluid | |
| e | Evaporator |
| c | Condenser |
References
- Chiasson, A.D. Geothermal Heat Pump and Heat Engine Systems: Theory and Practice; John Wiley & Sons: Hoboken, NJ, USA, 2016. [Google Scholar]
- Pulat, E.; Coskun, S.; Unlu, K.; Yamankaradeniz, N. Experimental study of horizontal ground source heat pump performance for mild climate in Turkey. Energy 2009, 34, 1284–1295. [Google Scholar] [CrossRef]
- Balbay, A.; Esen, M. Temperature distributions in pavement and bridge slabs heated by using vertical ground-source heat pump systems. Acta Scientiarum. Technology 2013, 35, 677–685. [Google Scholar] [CrossRef] [Green Version]
- Mauro, A.; Grossman, J.C. Street-heat: Controlling road temperature via low enthalpy geothermal energy. Appl. Therm. Eng. 2017, 110, 1653–1658. [Google Scholar] [CrossRef]
- Ochsner, K. Carbon dioxide heat pipe in conjunction with a ground source heat pump (GSHP). Appl. Therm. Eng. 2008, 28, 2077–2082. [Google Scholar] [CrossRef]
- Zorn, R.; Steger, H.; Kolbel, T. De-icing and snow melting system with innovative heat pipe technology. In Proceedings of the World Geothermal Congress, Melbourne, Australia, 19–24 April 2015. [Google Scholar]
- Zhou, F.; Ma, G.; Zhang, X. Winter turf growing season elongation characteristics of a thermosyphon unit that uses a shallow geothermal source. Heat Transf. Asian Res. 2017, 46, 720–731. [Google Scholar] [CrossRef]
- Iyakaremye, V.; Zeng, G.; Yang, X.; Zhang, G.; Ullah, I.; Gahigi, A.; Vuguziga, F.; Asfaw, T.G.; Ayugi, B. Increased high-temperature extremes and associated population exposure in Africa by the mid-21st century. Sci. Total Environ. 2021, 790, 148162. [Google Scholar] [CrossRef] [PubMed]
- Ullah, I.; Saleem, F.; Iyakaremye, V.; Yin, J.; Ma, X.; Syed, S.; Hina, S.; Asfaw, T.G.; Omer, A. Projected changes in socioeconomic exposure to heatwaves in South Asia under changing climate. Earth’s Future 2022, 10, e2021EF002240. [Google Scholar] [CrossRef]
- Mahdavi, M. Numerical and Experimental Analysis of Heat Pipes with Application in Concentrated Solar Power Systems; Temple University: Philadelphia, PA, USA, 2016. [Google Scholar]
- Nydahl, J.; Pell, K.; Lee, R.; Sackos, J. Evaluation of an Earth Heated Bridge Deck; No. FHWA-WY-84-001; State Highway Department: Cheyenne, WY, USA, 1984. [Google Scholar]
- Faghri, A.; Chang, W.S.; Mahefkey, E.T. Analysis of the Performance of Heat Pipes and Phase-Change Materials with Multiple Localized Heat Sources for Space Applications; Wright State University Dayton: Dayton, OH, USA, 1989. [Google Scholar]
- Lemmon, E.W. Thermophysical Properties of Fluid Systems. In NIST Chemistry WebBook; NIST Standard Reference Database Number 69; Linstrom, P.J., Mallard, W.G., Eds.; National Institute of Standards and Technology: Gaithersburg MD, USA, 1998; p. 20899. [Google Scholar] [CrossRef]
- Solaimanian, M.; Kennedy, T.W. Predicting maximum pavement surface temperature using maximum air temperature and hourly solar radiation. In Transportation Research Record; No. 1417; National Academy Press: Washington, DC, USA, 1993; pp. 1–11. [Google Scholar]
- ASHRAE Research. ASHRAE Handbook-HVAC Applications (SI); American Society of Heating, Refrigerating and Air-Conditioning Engineers, Inc.: Atlanta, GA, USA, 2011. [Google Scholar]
- Ivanovski, M.; Sorokin, V.; Yagodkin, I. Physical Principles of Heat Pipes; Oxford University Press: Oxford, UK, 1982. [Google Scholar]
- Deverall, J.E.; Kemme, J.E.; Florschuetz, L.W. Sonic Limitations and Startup Problems of Heat Pipes; Los Alamos National Lab.: Los Alamos, NM, USA, 1970. [Google Scholar]
- Rice, J.; Faghri, A. Analysis of Screen Wick Heat Pipes, Including Capillary Dry-Out Limitations. J. Thermophys. Heat Transf. 2007, 21, 475–486. [Google Scholar] [CrossRef]
- Faghri, A.; Buchko, M. Experimental and numerical analysis of low-temperature heat pipes with multiple heat sources. J. Heat Transf. 1991, 113, 728–734. [Google Scholar] [CrossRef]
- Cao, Y.; Faghri, A. Transient two-dimensional compressible analysis for high-temperature heat pipes with pulsed heat input. Numer. Heat Transf. 1991, 18, 483–502. [Google Scholar] [CrossRef]
















| Material (Object) | γ | ||||
|---|---|---|---|---|---|
| Stainless Steel | 19 | 8030 | 502.48 | --- | --- |
| CO2 (Liquid) at T = 283 K | 0.098097 | 860.99 | 2998.8 | 3.1 | 8.25 × 10−5 |
| CO2 (Vapor) at T = 283 K | 0.024217 | Governed by Ideal gas law | 2559.6 | 2.692 | 1.61 × 10−5 |
| Soil (ground) | 1.5 | 1742 | 1175 | --- | --- |
| Grout (borehole) | 1.61 | 1613.01 | 1372 | --- | --- |
| Concrete (pavement) | 1.8 | 2300 | 880 | --- | --- |
| Insulation | 0.03 | 24 | 2500 | --- | --- |
| Parameter | Value |
|---|---|
| Heat pipe | |
| Le (m) | From 1 to 40 |
| L (m) | 10 (m) + Le |
| Wc (m) | From 0.25 to 1 |
| (m) | 0.0312 |
| δwall (m) | 0.001 |
| δwick (m) | 0.00376 |
| Hc (m) | 0.0216 |
| Ground | |
| Pavement thickness (m) | 0.064 |
| Insulation length (m) | 10 |
| Insulation thickness (m) | 0.060 |
| Total soil length (m) | 50.1 |
| Total soil width (m) | 10 |
| City | 1 | 2 | 3 | 4 | 5 | 6 |
|---|---|---|---|---|---|---|
| Albuquerque NM | Amarillo TX | Baltimore MD | Columbus OH | Lexington KY | Portland OR | |
| , max. (°C) | 16.1 | 21.6 | 20.6 | 17.2 | 13.3 | 14.4 |
| , min. (°C) | −7.8 | −11.3 | −13.9 | −17.8 | −20 | −2.2 |
| (°C) | 16 | 16.5 | 13 | 12.5 | 14 | 13 |
| Snowfall rate (h/year) | 44 | 64 | 56 | 92 | 50 | 15 |
| Configuration 1 | Configuration 2 | |
|---|---|---|
| Total length, m | 25 | 50 |
| Evaporator length (Le), m | 15 | 40 |
| The radius of the condenser (Wc), m | 1 | 0.25 |
| City | 1 | 2 | 3 | 4 | 5 | 6 |
|---|---|---|---|---|---|---|
| , max. (°C) | 16.1 | 21.6 | 20.6 | 17.2 | 13.3 | 14.4 |
| , min. (°C) | −7.8 | −11.3 | −13.9 | −17.8 | −20 | −2.2 |
| Tg (°C) | 16 | 16.5 | 13 | 12.5 | 14 | 13 |
| Configuration 1 | ||||||
| Le (m) | 15 | 15 | 15 | 15 | 15 | 15 |
| Wc (m) | 1 | 1 | 1 | 1 | 1 | 1 |
| Tsurface, max. (°C) | 12.2 | 16.4 | 15.4 | 13.9 | 11.7 | 12 |
| Tsurface, min. (°C) | 0.42 | −2.65 | −3.7 | −5.3 | −7 | 4 |
| Configuration 2 | ||||||
| Le (m) | 40 | 40 | 40 | 40 | 40 | 40 |
| Wc (m) | 0.25 | 0.25 | 0.25 | 0.25 | 0.25 | 0.25 |
| Tsurface, max. (°C) | - | 18.2 | 16.3 | 15 | 13.35 | - |
| Tsurface, min. (°C) | - | 2.2 | −0.82 | −0.8 | −1.73 | - |
| Heat pipe optimization (ΔTmin) | - | 4.85 | 2.88 | 4.5 | 5.27 | - |
Publisher’s Note: MDPI stays neutral with regard to jurisdictional claims in published maps and institutional affiliations. |
© 2022 by the authors. Licensee MDPI, Basel, Switzerland. This article is an open access article distributed under the terms and conditions of the Creative Commons Attribution (CC BY) license (https://creativecommons.org/licenses/by/4.0/).
Share and Cite
Alhajjaji, A.; Chiasson, A.; Aljabr, A. Simulation-Based Analysis of a Novel CO2 Ground Source Heat Pipe (GSHP) to Reduce Temperature Fluctuations in Pavements in Different Climatic Conditions. Energies 2022, 15, 3343. https://doi.org/10.3390/en15093343
Alhajjaji A, Chiasson A, Aljabr A. Simulation-Based Analysis of a Novel CO2 Ground Source Heat Pipe (GSHP) to Reduce Temperature Fluctuations in Pavements in Different Climatic Conditions. Energies. 2022; 15(9):3343. https://doi.org/10.3390/en15093343
Chicago/Turabian StyleAlhajjaji, Amr, Andrew Chiasson, and Ahmad Aljabr. 2022. "Simulation-Based Analysis of a Novel CO2 Ground Source Heat Pipe (GSHP) to Reduce Temperature Fluctuations in Pavements in Different Climatic Conditions" Energies 15, no. 9: 3343. https://doi.org/10.3390/en15093343
APA StyleAlhajjaji, A., Chiasson, A., & Aljabr, A. (2022). Simulation-Based Analysis of a Novel CO2 Ground Source Heat Pipe (GSHP) to Reduce Temperature Fluctuations in Pavements in Different Climatic Conditions. Energies, 15(9), 3343. https://doi.org/10.3390/en15093343

