IBM-LBM-DEM Study of Two-Particle Sedimentation: Drafting-Kissing-Tumbling and Effects of Particle Reynolds Number and Initial Positions of Particles
Abstract
:1. Introduction
2. Model Descriptions
2.1. Lattice Boltzmann Method
2.2. Discrete Element Method
2.3. Immersed Boundary Method
2.4. Phase Coupling
3. Model Validation
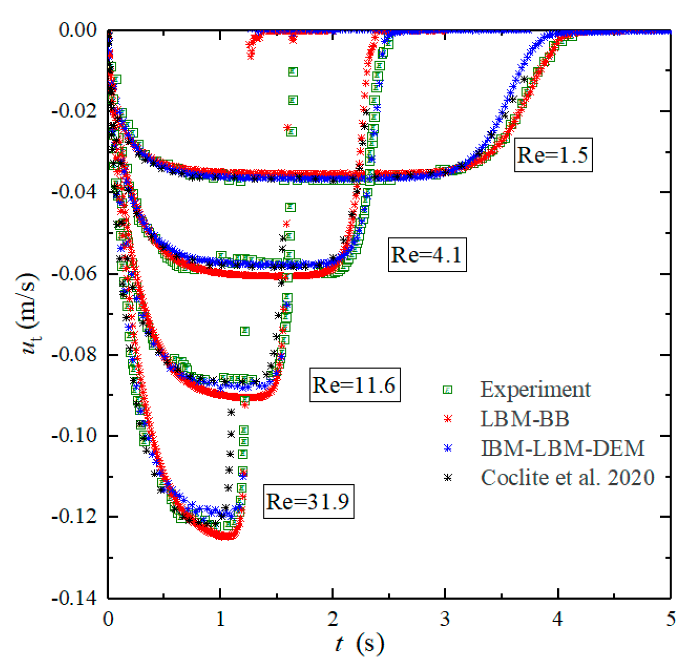
3.1. Single-Particle Sedimentation
3.2. Two-Particle Sedimentation
3.2.1. Simulation of DKT
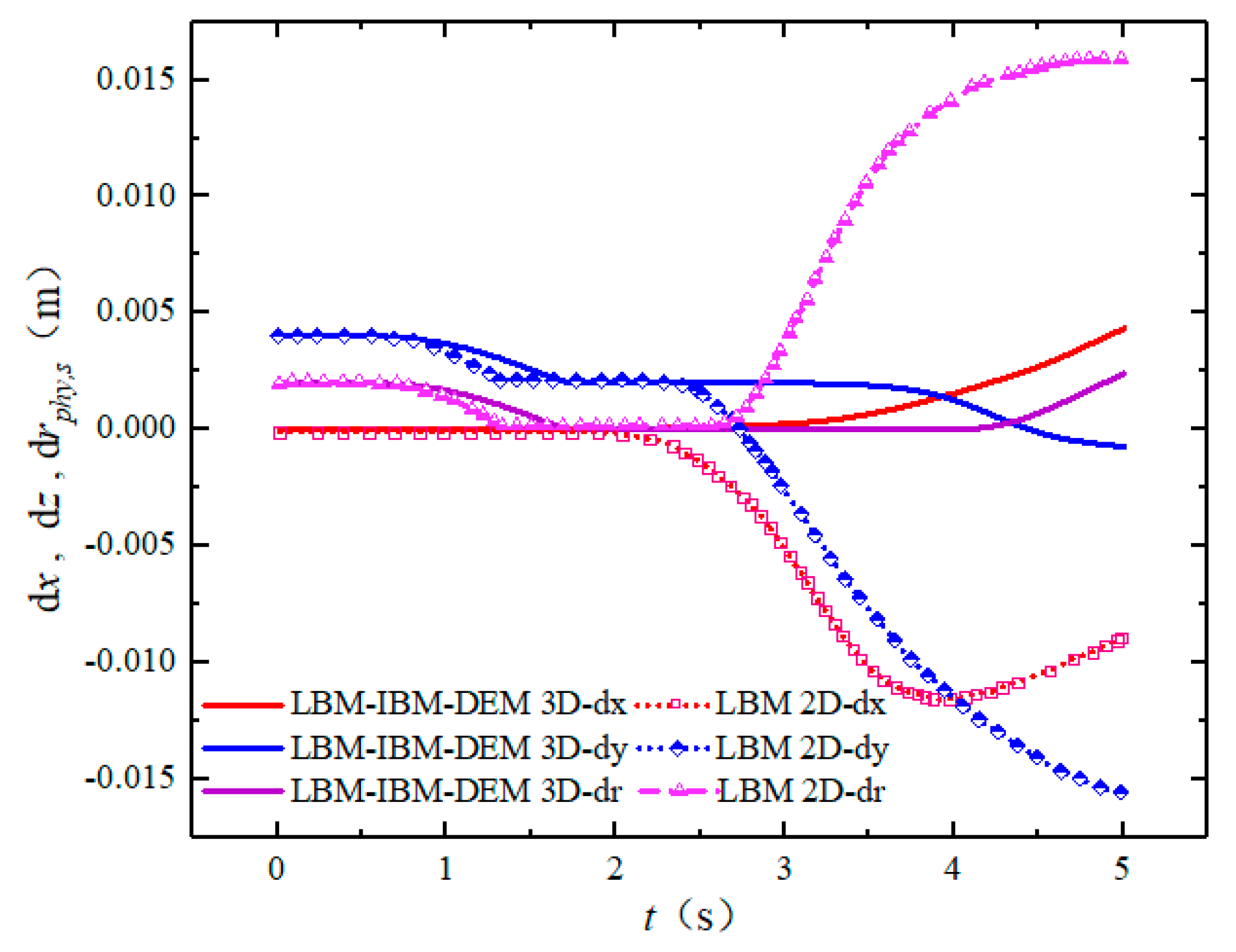
3.2.2. Comparison of 2D and 3D DKT
4. The Effect of Particle relative Position and Rep on DKT
4.1. The Effect of Particle Relative Position
4.2. The Effect of Reynolds Number
5. Conclusions
- Whether the hydrodynamic interaction between particles is attractive or repulsive during sedimentation depends on the relative location of the particles and the Reynolds number.
- Whether a pair of particles has experienced DKT can be viewed from time plots of the distance between the particles (for kissing), the second-order derivative of distance to time (for drafting), and angular velocities of particles (for tumbling). In a DKT, particles should approach each other along the vertical direction to a close distance, develop nearly equal and opposite angular velocities, and then separate along the horizontal direction.
- As expected, not all combinations of initial distance, angle, and Reynolds number lead to DKT. DKT only occurs when the initial positions of particles are nearly vertically aligned. At high Reynolds numbers, due to high particle/fluid inertia, the influence of fluid–particle force on particles’ trajectories becomes less. Particles hence could generally get closer to each other at higher Reynolds numbers, regardless of whether the interaction is DKT or not.
- When Re is low or moderate (O(1–10)), particle pairs with high initial angles do not experience attraction. When Re is high (O(100)), however, our results show that the domain of attractive interaction significantly expanded and particle pairs with initial angles in the range of 40–70° also experienced attraction at long initial distances (2.5 to 3.0 Dp) likely attributed to inviscid potential flow interaction.
- The IBM-LBM-DEM method is consistent with other numerical simulation results and experimental data. Collectively, the proposed approach can be efficiently used for predicting complex particle dynamics relevant flows.
Author Contributions
Funding
Institutional Review Board Statement
Informed Consent Statement
Data Availability Statement
Conflicts of Interest
References
- Di, Y.; Zhao, L.; Mao, J. A resolved CFD-DEM method based on the IBM for sedimentation of dense fluid-particle flows. Comput. Fluids 2021, 226, 104968. [Google Scholar] [CrossRef]
- Kim, I.; Elghobashi, S.; Sirignano, W.A. Three-dimensional flow over two spheres placed side by side. J. Fluid Mech. 1993, 246, 465–488. [Google Scholar] [CrossRef]
- Mccullough, J.; Leonardi, C.R.; Jones, B.D.; Aminossadati, S.M.; Williams, J.R. Lattice Boltzmann methods for the simulation of heat transfer in particle suspensions. Int. J. Heat Fluid Flow 2016, 62, 150–165. [Google Scholar] [CrossRef]
- Fortes, A.F.; Joseph, D.D.; Lundgren, T.S. Nonlinear mechanics of fluidization of beds of spherical particles. J. Fluid Mech. 1987, 177, 467–483. [Google Scholar] [CrossRef]
- Feng, J.; Hu, H.H.; Joseph, D.D. Direct simulation of initial value problems for the motion of solid bodies in a Newtonian fluid Part 1. Sedimentation. J. Fluid Mech. 1994, 261, 95–134. [Google Scholar] [CrossRef] [Green Version]
- Patankar, N.A.; Singh, P.; Joseph, D.D.; Glowinski, R.; Pan, T.W. A new formulation of the distributed Lagrange multiplier/fictitious domain method for particulate flows. Int. J. Multiph. Flow 2000, 26, 1509–1524. [Google Scholar] [CrossRef]
- Niu, X.D.; Shu, C.; Chew, Y.T.; Peng, Y. A momentum exchange-based immersed boundary-lattice Boltzmann method for simulating incompressible viscous flows. Phys. Lett. A 2006, 354, 173–182. [Google Scholar] [CrossRef]
- Feng, Z.G.; Michaelides, E.E. The immersed boundary-lattice Boltzmann method for solving fluid–particles interaction problems. J. Comput. Phys. 2004, 195, 602–628. [Google Scholar] [CrossRef]
- Jafari, S.; Yamamoto, R.; Rahnama, M. Lattice-Boltzmann method combined with smoothed-profile method for particulate suspensions. Phys. Rev. E Stat. Nonlinear Soft Matter Phys. 2011, 83, 026702. [Google Scholar] [CrossRef]
- Wang, L.; Guo, Z.L.; Mi, J.C. Drafting, kissing and tumbling process of two particles with different sizes. Comput. Fluids 2014, 96, 20–34. [Google Scholar] [CrossRef]
- Ladd, A.; Verberg, R. Lattice-Boltzmann Simulations of Particle-Fluid Suspensions. J. Stat. Phys. 2001, 104, 1191–1251. [Google Scholar] [CrossRef]
- Hu, Y.; Li, D.; Shu, S.; Niu, X. Modified momentum exchange method for fluid-particle interactions in the lattice Boltzmann method. Phys. Rev. E Stat. Nonlinear Soft Matter Phys. 2015, 91, 033301. [Google Scholar] [CrossRef] [PubMed]
- Cao, C.; Chen, S.; Li, J.; Liu, Z.; Zha, L.; Bao, S.; Zheng, C. Simulating the interactions of two freely settling spherical particles in Newtonian fluid using lattice-Boltzmann method. Appl. Math. Comput. 2015, 250, 533–551. [Google Scholar] [CrossRef]
- Liu, S.; Zhou, T.; Tao, S.; Wu, Z.; Yang, G. Lattice Boltzmann simulation of particle-laden flows using an improved curved boundary condition. Int. J. Mod. Phys. C 2019, 30, 1950041. [Google Scholar] [CrossRef]
- Nie, D.; Guan, G.; Lin, J. Interaction between two unequal particles at intermediate Reynolds numbers: A pattern of horizontal oscillatory motion. Phys. Rev. E 2021, 103, 013105. [Google Scholar] [CrossRef]
- Dash, S.M.; Lee, T.S. Two spheres sedimentation dynamics in a viscous liquid column. Comput. Fluids 2015, 123, 218–234. [Google Scholar] [CrossRef]
- Liao, C.C.; Hsiao, W.W.; Lin, T.Y.; Lin, C.A. Simulations of two sedimenting-interacting spheres with different sizes and initial configurations using immersed boundary method. Comput. Mech. 2015, 55, 1191–1200. [Google Scholar] [CrossRef]
- Yang, B.; Chen, S.; Xiong, Y.; Zhang, R.; Zheng, C. Size and thermal effects on sedimentation behaviors of two spheres. Int. J. Heat Mass Transf. 2017, 114, 198–206. [Google Scholar] [CrossRef] [Green Version]
- Nie, D.; Lin, J. Simulation of sedimentation of two spheres with different densities in a square tube. J. Fluid Mech. 2020, 896, 1–27. [Google Scholar] [CrossRef]
- Tao, S.; Guo, Z.; Wang, L. Numerical study on the sedimentation of single and multiple slippery particles in a Newtonian fluid. Powder Technol. Int. J. Sci. Technol. Wet Dry Part. Syst. 2017, 315, 126–138. [Google Scholar] [CrossRef] [Green Version]
- Zhang, J.F.; Maa, P.Y.; Zhang, Q.H.; Shen, X.T. Direct numerical simulations of collision efficiency of cohesive sediments. Estuar. Coast. Shelf Sci. 2016, 178, 92–100. [Google Scholar] [CrossRef]
- Vowinckel, B.; Withers, J.; Luzzatto-Fegiz, P.; Meiburg, E. Settling of cohesive sediment: Particle-resolved simulations. J. Fluid Mech. 2018, 858, 5–44. [Google Scholar] [CrossRef] [Green Version]
- Chen, H.; Liu, W.; Chen, Z.; Zheng, Z. A numerical study on the sedimentation of adhesive particles in viscous fluids using LBM-LES-DEM. Powder Technol. 2021, 391, 461–478. [Google Scholar] [CrossRef]
- Liu, J.; Zhang, P.; Xiao, Y.; Wang, Z.; Yuan, S.; Tang, H. Interaction between dual spherical particles during settling in fluid. Phys. Fluids 2021, 33, 013312. [Google Scholar] [CrossRef]
- Karvelas, E.; Liosis, C.; Theodorakakos, A.; Sarris, I.; Karakasidis, T. An Optimized Method for 3D Magnetic Navigation of Nanoparticles inside Human Arteries. Fluids 2021, 6, 97. [Google Scholar] [CrossRef]
- Lampropoulos, N.K.; Karvelas, E.G.; Sarris, I.E. Computational study of the particles interaction distance under the influence of steady magnetic field. Adv. Syst. Sci. Appl. 2015, 15, 233–241. [Google Scholar]
- Karvelas, E.G.; Lampropoulos, N.K.; Sarris, I.E. A numerical model for aggregations formation and magnetic driving of spherical particles based on OpenFOAM. Comput. Methods Programs Biomed. 2017, 142, 21–30. [Google Scholar] [CrossRef]
- Griffith, B.E.; Patankar, N.A. Immersed Methods for Fluid–Structure Interaction. Annu. Rev. Fluid Mech. 2020, 52, 421–448. [Google Scholar] [CrossRef] [Green Version]
- Peskin, C.S. The immersed boundary method. Acta Numer. 2002, 11, 479–517. [Google Scholar] [CrossRef] [Green Version]
- Chen, S.; Chen, H.; Martnez, D.; Matthaeus, W. Lattice Boltzmann model for simulation of magnetohydrodynamics. Phys. Rev. Lett. 1991, 67, 3776–3779. [Google Scholar] [CrossRef]
- Qian, Y.H.; D’Humieres, D.; Lallermand, P. Lattice BGK models for Navier-Stokes equation. Europhys. Lett. 1992, 17, 479–484. [Google Scholar] [CrossRef]
- Xie, J.; Zhong, W.; Shao, Y. Study on the char combustion in a fluidized bed by CFD-DEM simulations: Influences of fuel properties. Powder Technol. 2021, 394, 20–34. [Google Scholar] [CrossRef]
- Xia, T.; Feng, Q.; Wang, S.; Zhang, J.; Zhang, W.; Zhang, X. Numerical Study and Force Chain Network Analysis of Sand Production Process Using Coupled LBM-DEM. Energies 2022, 15, 1788. [Google Scholar] [CrossRef]
- Han, Y.; Cundall, P.A. Resolution sensitivity of momentum-exchange and immersed boundary methods for solid-fluid interaction in the lattice Boltzmann method. Int. J. Numer. Methods Fluids 2011, 67, 314–327. [Google Scholar] [CrossRef]
- Brilliantov, N.V.; Spahn, F.; Hertzsch, J.M.; Pöschel, T. Model for collisions in granular gases. Phys. Rev. E Stat. Phys. Plasmas. Fluids Relat. Interdiscip. Top. 2002, 53, 5382–5392. [Google Scholar] [CrossRef] [PubMed] [Green Version]
- Coclite, A.; de Tullio, M.D.; Pascazio, G.; Decuzzi, P. A combined Lattice Boltzmann and Immersed Boundary approach for predicting the vascular transport of differently shaped particles. Comput. Fluids 2016, 136, 260–271. [Google Scholar] [CrossRef] [Green Version]
- Coclite, A.; Ranaldo, S.; De Tullio, M.D.; Decuzzi, P.; Pascazio, G. Kinematic and dynamic forcing strategies for predicting the transport of inertial capsules via a combined lattice Boltzmann—Immersed Boundary method. Comput. Fluids 2018, 180, 41–53. [Google Scholar] [CrossRef] [Green Version]
- Coclite, A.; Pascazio, G.; de Tullio, M.D.; Decuzzi, P. Predicting the vascular adhesion of deformable drug carriers in narrow capillaries traversed by blood cells. J. Fluids Struct. 2018, 82, 638–650. [Google Scholar] [CrossRef]
- Noble, D.R.; Torczynski, J.R. A Lattice-Boltzmann Method for Partially Saturated Computational Cells. Int. J. Mod. Phys. C 1998, 9, 1189–1201. [Google Scholar] [CrossRef]
- Seil, P.; Pirker, S. LBDEMcoupling: Open-Source Power for Fluid-Particle Systems. In International Conference on Discrete Element Methods; Springer: Singapore, 2016. [Google Scholar]
- Latt, J.; Malaspinas, O.; Kontaxakis, D.; Parmigiani, A.; Lagrava, D.; Brogi, F.; Belgacem, M.B.; Thorimbert, Y.; Leclaire, S.; Li, S.; et al. Palabos: Parallel Lattice Boltzmann Solver. Applications 2019, 81, 334–350. [Google Scholar] [CrossRef]
- Coclite, A.; Ranaldo, S.; Pascazio, G.; de Tullio, M.D. A Lattice Boltzmann dynamic-Immersed Boundary scheme for the transport of deformable inertial capsules in low-Re flows. Comput. Math. Appl. 2020, 80, 2860–2876. [Google Scholar] [CrossRef]
- Ten Cate, A.; Nieuwstad, C.H.; Derksen, J.J.; Van den Akker, H.E.A. Particle imaging velocimetry experiments and lattice-Boltzmann simulations on a single sphere settling under gravity. Phys. Fluids 2002, 14, 4012–4025. [Google Scholar] [CrossRef]
- Yin, X.; Koch, D.L. Hindered settling velocity and microstructure in suspensions of solid spheres with moderate Reynolds numbers. Phys. Fluids 2007, 19, 093302. [Google Scholar] [CrossRef]
- Biesheuvel, A.; Wijngaarden, L.V. The motion of pairs of gas bubbles in a perfect liquid. J. Eng. Math. 1982, 16, 349–365. [Google Scholar] [CrossRef] [Green Version]
- Kok, J. Dynamics of a pair of gas bubbles moving through liquid. Part I. Theory. Eur. J. Mech. B/Fluids 1993, 12, 515–540. [Google Scholar]
- Kok, J. Dynamics of a pair of gas bubbles moving through liquid. Part II. Experiment. Eur. J. Mech. B/Fluids 1993, 12, 541–560. [Google Scholar]


















| Case Number | (kg/m³) | (Ns/m²) | (m/s) | Re | St |
|---|---|---|---|---|---|
| Case 1 | 970 | 373 | 0.038 | 1.5 | 0.19 |
| Case 2 | 965 | 212 | 0.060 | 4.1 | 0.53 |
| Case 3 | 962 | 113 | 0.091 | 11.6 | 1.50 |
| Case 4 | 960 | 58 | 0.128 | 31.9 | 4.13 |
| Parameter | Value |
|---|---|
| particle centroid distance | 1.5 Dp, 2.0 Dp, 3.0 Dp, 4 Dp |
| initial angle, ° | 0, 15, 30, 45, 60 and 90 |
| Re | 1.82, 18.18, 180.18 |
Publisher’s Note: MDPI stays neutral with regard to jurisdictional claims in published maps and institutional affiliations. |
© 2022 by the authors. Licensee MDPI, Basel, Switzerland. This article is an open access article distributed under the terms and conditions of the Creative Commons Attribution (CC BY) license (https://creativecommons.org/licenses/by/4.0/).
Share and Cite
Li, X.; Liu, G.; Zhao, J.; Yin, X.; Lu, H. IBM-LBM-DEM Study of Two-Particle Sedimentation: Drafting-Kissing-Tumbling and Effects of Particle Reynolds Number and Initial Positions of Particles. Energies 2022, 15, 3297. https://doi.org/10.3390/en15093297
Li X, Liu G, Zhao J, Yin X, Lu H. IBM-LBM-DEM Study of Two-Particle Sedimentation: Drafting-Kissing-Tumbling and Effects of Particle Reynolds Number and Initial Positions of Particles. Energies. 2022; 15(9):3297. https://doi.org/10.3390/en15093297
Chicago/Turabian StyleLi, Xiaohui, Guodong Liu, Junnan Zhao, Xiaolong Yin, and Huilin Lu. 2022. "IBM-LBM-DEM Study of Two-Particle Sedimentation: Drafting-Kissing-Tumbling and Effects of Particle Reynolds Number and Initial Positions of Particles" Energies 15, no. 9: 3297. https://doi.org/10.3390/en15093297
APA StyleLi, X., Liu, G., Zhao, J., Yin, X., & Lu, H. (2022). IBM-LBM-DEM Study of Two-Particle Sedimentation: Drafting-Kissing-Tumbling and Effects of Particle Reynolds Number and Initial Positions of Particles. Energies, 15(9), 3297. https://doi.org/10.3390/en15093297

