Implementation of Non-Destructive Condition Monitoring Techniques on Low-Voltage Nuclear Cables: II. Thermal Aging of EPR/CSPE Cables
Abstract
:1. Introduction
2. Materials and Methods
2.1. Cable Specimen
2.2. Accelerated Thermal Aging
2.3. Measurement
2.3.1. Capacitance and tanδ
2.3.2. Extended Voltage Response
2.3.3. Polarization–Depolarization Current
2.3.4. Elongation at Break
3. Results
3.1. Capacitance and tanδ
3.2. Extended Voltage Response
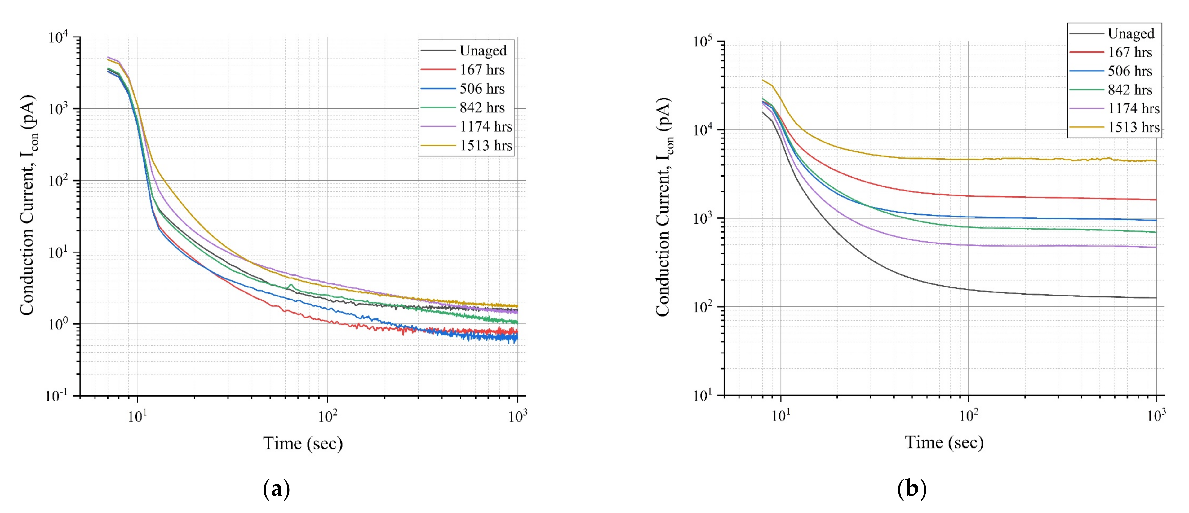
3.3. Polarization—Depolarization Current
3.4. Elongation at Break
4. Discussion
4.1. EPR Insulation
4.2. CSPE Jacket
5. Electrical Aging Markers and Correlation with Elongation at Break
6. Conclusions
Author Contributions
Funding
Institutional Review Board Statement
Informed Consent Statement
Data Availability Statement
Conflicts of Interest
References
- International Atomic Energy Agency. Ageing Management for Nuclear Power Plants: International Generic Ageing Lessons Learned (IGALL), Safety Reports Series No. 82 (Rev. 1); International Atomic Energy Agency: Vienna, Austria, 2020. [Google Scholar]
- International Atomic Energy Agency. Benchmark Analysis for Condition Monitoring Test Techniques of Aged Low Voltage Cables in Nuclear Power Plants; International Atomic Energy Agency: Vienna, Austria, 2017. [Google Scholar]
- Chang, Y.S.; Mosleh, A. Probabilistic model of degradation of cable insulations in nuclear power plants. Proc. Inst. Mech. Eng. Part O J. Risk Reliab. 2019, 233, 803–814. [Google Scholar] [CrossRef]
- Mustafa, E.; Afia, R.S.A.; Tamus, Z.Á. Condition Monitoring Uncertainties and Thermal-Radiation Multistress Accelerated Aging Tests for Nuclear Power Plant Cables: A Review. Period. Polytech. Electr. Eng. Comput. Sci. 2019, 64, 20–32. [Google Scholar] [CrossRef]
- Gao, Y.; Du, B.X. Effect of gamma-ray irradiation on permittivity and dielectric loss of polymer insulating materials. In Proceedings of the 2012 International Conference on High Voltage Engineering and Application, Shanghai, China, 17–20 September 2012; pp. 229–232. [Google Scholar] [CrossRef]
- Chen, G.; Banford, H.M.; Davies, A.E. Influence of radiation environments on space charge formation in y-irradiated LDPE. IEEE Trans. Dielectr. EI. V01. 1999, 6, 882–886. [Google Scholar] [CrossRef]
- Suraci, S.V.; Fabiani, D.; Xu, A.; Roland, S.; Colin, X. Ageing Assessment of XLPE LV Cables for Nuclear Applications through Physico-Chemical and Electrical Measurements. IEEE Access 2020, 8, 27086–27096. [Google Scholar] [CrossRef]
- Shao, Z.; Byler, M.I.; Liu, S.; Bowler, N.; Fifield, L.S.; Murphy, M.K. Dielectric Response of Cross-Linked Polyethylene (XLPE) Cable Insulation Material to Radiation and Thermal Aging. In Proceedings of the 2018 IEEE 2nd International Conference on Dielectrics (ICD), Budapest, Hungary, 1–5 July 2018; pp. 1–4. [Google Scholar] [CrossRef]
- Verardi, L.; Fabiani, D.; Montanari, G.C. Correlation of electrical and mechanical properties in accelerated aging of LV nuclear power plant cables. In Proceedings of the 2014 ICHVE International Conference on High Voltage Engineering and Application, Poznan, Poland, 8–11 September 2014; pp. 1–4. [Google Scholar] [CrossRef]
- Verardi, L.; Fabiani, D.; Montanari, G.C. Electrical aging markers for EPR-based low-voltage cable insulation wiring of nuclear power plants. Radiat. Phys. Chem. 2014, 94, 166–170. [Google Scholar] [CrossRef]
- Boukezzi, L.; Boubakeur, A. Effect of Thermal Aging on the Electrical Characteristics of XLPE for HV Cables. Trans. Electr. Electron. Mater. 2018, 19, 344–351. [Google Scholar] [CrossRef]
- Chi, X.; Li, J.; Ji, M.; Liu, W.; Li, S. Thermal-oxidative aging effects on the dielectric properties of nuclear cable insulation. Materials 2020, 13, 2215. [Google Scholar] [CrossRef]
- Suraci, S.V.; Fabiani, D. Aging Modeling of Low-Voltage Cables Subjected to Radio-Chemical Aging. IEEE Access 2021, 9, 83569–83578. [Google Scholar] [CrossRef]
- Fabiani, D.; Suraci, S.V. Broadband dielectric spectroscopy: A viable technique for aging assessment of low-voltage cable insulation used in nuclear power plants. Polymers 2021, 13, 494. [Google Scholar] [CrossRef]
- Suraci, S.V.; Fabiani, D.; Roland, S.; Colin, X. Multi scale aging assessment of low-voltage cables subjected to radio-chemical aging: Towards an electrical diagnostic technique. Polym. Test. 2021, 103, 107352. [Google Scholar] [CrossRef]
- Ekelund, M.; Fantoni, P.F.; Gedde, U.W. Thermal ageing assessment of EPDM-chlorosulfonated polyethylene insulated cables using line resonance analysis (LIRA). Polym. Test. 2011, 30, 86–93. [Google Scholar] [CrossRef]
- Lee, C.-K.; Kwon, G.-Y.; Shin, Y.-J. Condition Assessment of I&C Cables in Nuclear Power Plants via Stepped-Frequency Waveform Reflectometry. IEEE Trans. Instrum. Meas. 2019, 68, 215–224. [Google Scholar] [CrossRef]
- Linde, E.; Verardi, L.; Fabiani, D.; Gedde, U.W. Dielectric spectroscopy as a condition monitoring technique for cable insulation based on crosslinked polyethylene. Polym. Test. 2015, 44, 135–142. [Google Scholar] [CrossRef]
- Afia, R.S.A.; Mustafa, E.; Tamus, Z.Á. Comparison of Mechanical and Low-Frequency Dielectric Properties of Thermally and Thermo-Mechanically Aged Low Voltage CSPE/XLPE Nuclear Power Plant Cables. Electronics 2021, 10, 2728. [Google Scholar] [CrossRef]
- Mustafa, E.; Afia, R.S.A.; Nouini, O.; Tamus, Z.Á. Implementation of Non-Destructive Electrical Condition Monitoring Techniques on Low-Voltage Nuclear Cables: I. Irradiation Aging of EPR/CSPE Cables. Energies 2021, 14, 5139. [Google Scholar] [CrossRef]
- Mustafa, E.; Afia, R.S.A.; Tamus, Z.A. Application of Non-Destructive Condition Monitoring Techniques on Irradiated Low Voltage Unshielded Nuclear Power Cables. IEEE Access 2020, 8, 166024–166033. [Google Scholar] [CrossRef]
- Mustafa, E.; Afia, R.S.A.; Tamus, Z.Á. Dielectric loss and extended voltage response measurements for low-voltage power cables used in nuclear power plant: Potential methods for aging detection due to thermal stress. Electr. Eng. 2020, 103, 899–908. [Google Scholar] [CrossRef]
- Bowler, N.; Liu, S. Aging Mechanisms and Monitoring of Cable Polymers. Progn. Heal. Manag. Soc. 2015, 6, 1–12. [Google Scholar] [CrossRef]
- Csányi, G.M.; Bal, S.; Tamus, Z.Á. Dielectric Measurement Based Deducted Quantities to Track Repetitive, Short-Term Thermal Aging of Polyvinyl Chloride (PVC) Cable Insulation. Polymers 2020, 12, 2809. [Google Scholar] [CrossRef]
- Mustafa, E.; Afia, R.S.A.; Tamus, Z.Á. Condition Assessment of Low Voltage Photovoltaic DC Cables under Thermal Stress Using Non-Destructive Electrical Techniques. Trans. Electr. Electron. Mater. 2020, 21, 503–512. [Google Scholar] [CrossRef]
- Saha, T.K.; Purkait, P.; Müller, F. Deriving an equivalent circuit of transformers insulation for understanding the dielectric response measurements. IEEE Trans. Power Deliv. 2005, 20, 149–157. [Google Scholar] [CrossRef] [Green Version]
- Zaengl, W.S. Dielectric spectroscopy in time and frequency domain for HV power equipment. I. Theoretical considerations. IEEE Electr. Insul. Mag. 2003, 19, 5–19. [Google Scholar] [CrossRef]
- Saha, T.K.; Purkait, P.; Muller, F. An attempt to correlate time & frequency domain polarisation measurements for the insulation diagnosis of power transformer. In Proceedings of the IEEE Power Engineering Society General Meeting, Denver, CO, USA, 6–10 June 2004; IEEE: Piscataway, NJ, USA, 2004; Volume 2, pp. 1793–1798. [Google Scholar]
- Saha, T.K.; Purkait, P. Investigations of Temperature Effects on the Dielectric Response Measurements of Transformer Oil-Paper Insulation System. IEEE Trans. Power Deliv. 2008, 23, 252–260. [Google Scholar] [CrossRef]
- Saha, T.K.; Purkait, P. Understanding the impacts of moisture and thermal ageing on transformer’s insulation by dielectric response and molecular weight measurements. IEEE Trans. Dielectr. Electr. Insul. 2008, 15, 568–582. [Google Scholar] [CrossRef]
- Ye, G.; Li, H.; Lin, F.; Tong, J.; Wu, X.; Huang, Z. Condition assessment of XLPE insulated cables based on polarization/depolarization current method. IEEE Trans. Dielectr. Electr. Insul. 2016, 23, 721–729. [Google Scholar] [CrossRef]
- Banerjee, S. Condition Monitoring of Thermally Aged Low Voltage Cables with Polarization-Depolarization Current Testing. In Proceedings of the 10th International Conference on Insulated Power Cables, Paris, France, 23–27 June 2019. [Google Scholar]
- 62582-3-2012-IIEC/IEEE; International Standard-Nuclear Power Plants-Instrumentation and Control Important to Safety-Electrical Equipment Condition Monitoring Methods-Part 3 Elongation at Break. IEEE: Piscataway, NJ, USA, 2012; ISBN 978-0-7381-8088-5.
- Kim, M.H.; Seo, H.J.; Lee, S.K.; Lee, M.C. Influence of Thermal Aging on the Combustion Characteristics of Cables in Nuclear Power Plants. Energies 2021, 7, 2003. [Google Scholar] [CrossRef]
- Chailan, J.F.; Chauchard, J.; Seytre, G.; Boiteux, G.; Escoubes, M.; Pinel, B. Effects of radiation and thermal ageing on physico-chemical properties of elastomeric materials (EPR-CSPE) for cable insulation and sheathing. In Proceedings of the Sixth International Conference on Dielectric Materials, Measurements and Applications, Xi′an, China, 21–26 June 1992; pp. 418–421. [Google Scholar]
- Gong, Y.; Hu, S.M.; Yang, X.L.; Fei, J.L.; Yang, Z.G.; Shi, X.Q.; Xie, Y.C.; Guo, A.H.; Xu, J.F. Comparative study on degradation of ethylene-propylene rubber for nuclear cables from gamma and beta irradiation. Polym. Test. 2017, 60, 102–109. [Google Scholar] [CrossRef]
- Suraci, S.V.; Fabiani, D.; Mazzocchetti, L.; Giorgini, L. Degradation assessment of polyethylene-based material through electrical and chemical-physical analyses. Energies 2020, 13, 650. [Google Scholar] [CrossRef] [Green Version]
- Gillen, K.T.; Bernstein, R.; Clough, R.L.; Celina, M. Lifetime predictions for semi-crystalline cable insulation materials: I. Mechanical properties and oxygen consumption measurements on EPR materials. Polym. Degrad. Stab. 2006, 91, 2146–2156. [Google Scholar] [CrossRef]
- Bussi, P. Thermal oxidation of cross-linked PE and EPR used as insulation materials: Multi-scale correlation over a wide range of temperatures. Polym. Test. 2021, 93, 106913. [Google Scholar] [CrossRef]
- Gillen, K.T.; Celina, M.; Clough, R.L. Density measurements as a condition monitoring approach for following the aging of nuclear power plant cable materials. Radiat. Phys. Chem. 1999, 56, 429–447. [Google Scholar] [CrossRef]
- Chailan, J.F.; Boiteux, G.; Chauchard, J.; Pinel, B.; Seytre, G. Effects of thermal degradation on the viscoelastic and dielectric properties of chlorosulfonated polyethylene (CSPE) compounds. Polym. Degrad. Stab. 1995, 48, 61–65. [Google Scholar] [CrossRef]
- Mustafa, E.; Tamus, Á.Z.; Afia, R.S.A.; Asipuela, A. Thermal Degradation and Condition Monitoring of Low Voltage Power Cables in Nuclear Power Industry. IFIP Adv. Inf. Commun. Technol. 2019, 553, 405–413. [Google Scholar] [CrossRef]
- Foucault, F.; Esnouf, S.; Le Moël, A. Irradiation/temperature synergy effects on degradation and ageing of chlorosulphonated polyethylene. Nucl. Instrum. Methods Phys. Res. Sect. B Beam Interact. Mater. Atoms 2001, 185, 311–317. [Google Scholar] [CrossRef]
- Gueguen, V.; Audouin, L.; Pinel, B.; Verdu, J. General and kinetic aspects of radiochemical and thermal oxidation of a chlorosulfonated polyethylene. Eur. Polym. J. 1994, 30, 1157–1164. [Google Scholar] [CrossRef]
- Gillen, K.T.; Bernstein, R.; Celina, M. Non-Arrhenius behavior for oxidative degradation of chlorosulfonated polyethylene materials. Polym. Degrad. Stab. 2005, 87, 335–346. [Google Scholar] [CrossRef]
- Gillen, K.T.; Assink, R.; Bernstein, R.; Celina, M. Condition monitoring methods applied to degradation of chlorosulfonated polyethylene cable jacketing materials. Polym. Degrad. Stab. 2006, 91, 1273–1288. [Google Scholar] [CrossRef]
- Calmet, J.F.; Carlin, F.; Nguyen, T.M.; Bousquet, S.; Quinot, P. Irradiation ageing of CSPE/EPR control command electric cables. Correlation between mechanical properties and oxidation. Radiat. Phys. Chem. 2002, 63, 235–239. [Google Scholar] [CrossRef]
















| Frequency Range | Device | Input Voltage |
|---|---|---|
| 10 mHz–1 kHz | OMICRON Dirana | 100 Vrms |
| 2 kHz–500 kHz | Wayne Kerr Component Analyzer | 5 Vrms |
Publisher’s Note: MDPI stays neutral with regard to jurisdictional claims in published maps and institutional affiliations. |
© 2022 by the authors. Licensee MDPI, Basel, Switzerland. This article is an open access article distributed under the terms and conditions of the Creative Commons Attribution (CC BY) license (https://creativecommons.org/licenses/by/4.0/).
Share and Cite
Mustafa, E.; Afia, R.S.A.; Nawaz, A.; Nouini, O.; Tamus, Z.Á. Implementation of Non-Destructive Condition Monitoring Techniques on Low-Voltage Nuclear Cables: II. Thermal Aging of EPR/CSPE Cables. Energies 2022, 15, 3231. https://doi.org/10.3390/en15093231
Mustafa E, Afia RSA, Nawaz A, Nouini O, Tamus ZÁ. Implementation of Non-Destructive Condition Monitoring Techniques on Low-Voltage Nuclear Cables: II. Thermal Aging of EPR/CSPE Cables. Energies. 2022; 15(9):3231. https://doi.org/10.3390/en15093231
Chicago/Turabian StyleMustafa, Ehtasham, Ramy S. A. Afia, Aamir Nawaz, Oumaima Nouini, and Zoltán Ádám Tamus. 2022. "Implementation of Non-Destructive Condition Monitoring Techniques on Low-Voltage Nuclear Cables: II. Thermal Aging of EPR/CSPE Cables" Energies 15, no. 9: 3231. https://doi.org/10.3390/en15093231
APA StyleMustafa, E., Afia, R. S. A., Nawaz, A., Nouini, O., & Tamus, Z. Á. (2022). Implementation of Non-Destructive Condition Monitoring Techniques on Low-Voltage Nuclear Cables: II. Thermal Aging of EPR/CSPE Cables. Energies, 15(9), 3231. https://doi.org/10.3390/en15093231

