Modeling a Hybrid Reformed Methanol Fuel Cell–Battery System for Telecom Backup Applications
Abstract
:1. Introduction
2. Methodology
Load Profile and Power Outages
3. Hybrid System Model
- The startup time of the reformer and the fuel cell (RMFC) was assumed to be 30 min;
- The the fuel cell dynamics were not considered and no delay was assumed when changing the fuel cell load;
- The PV system provided power to the battery whenever available.
3.1. Fuel Cell and Battery Model
3.2. PV Model
3.3. Energy Management System (EMS)
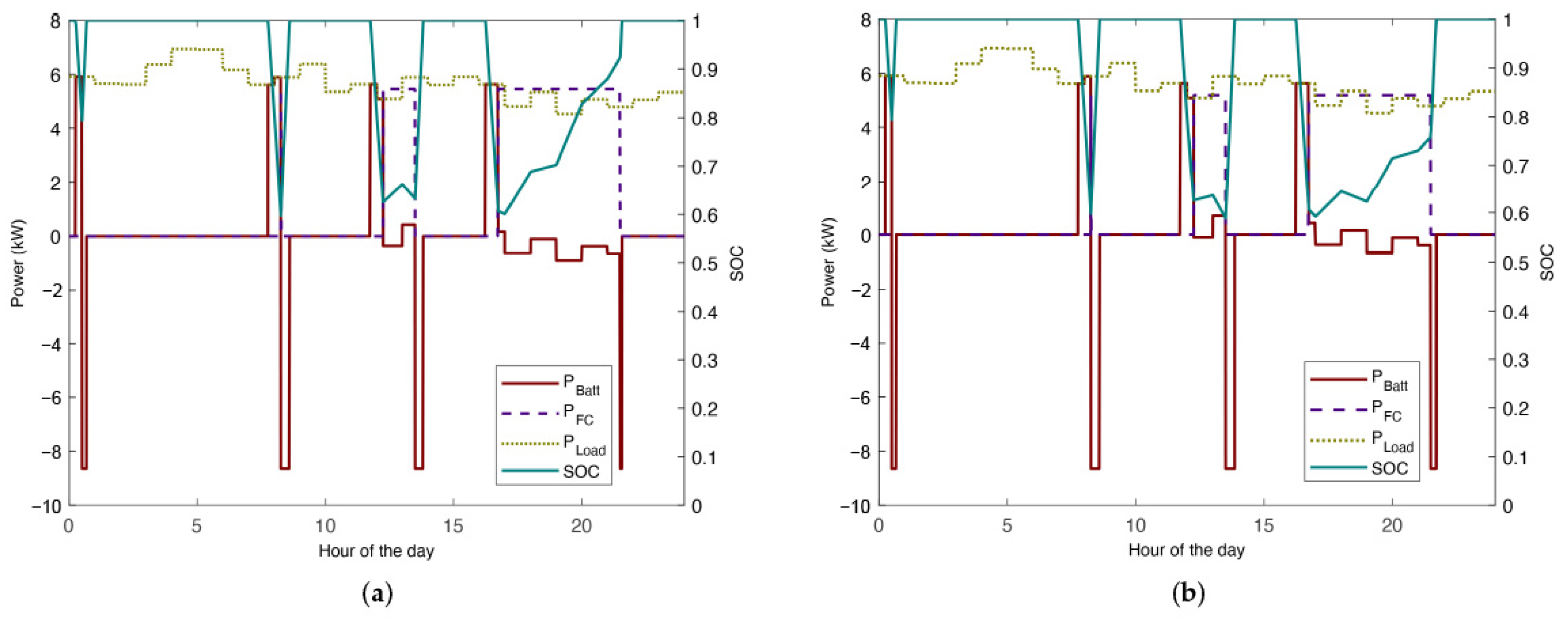
4. Results
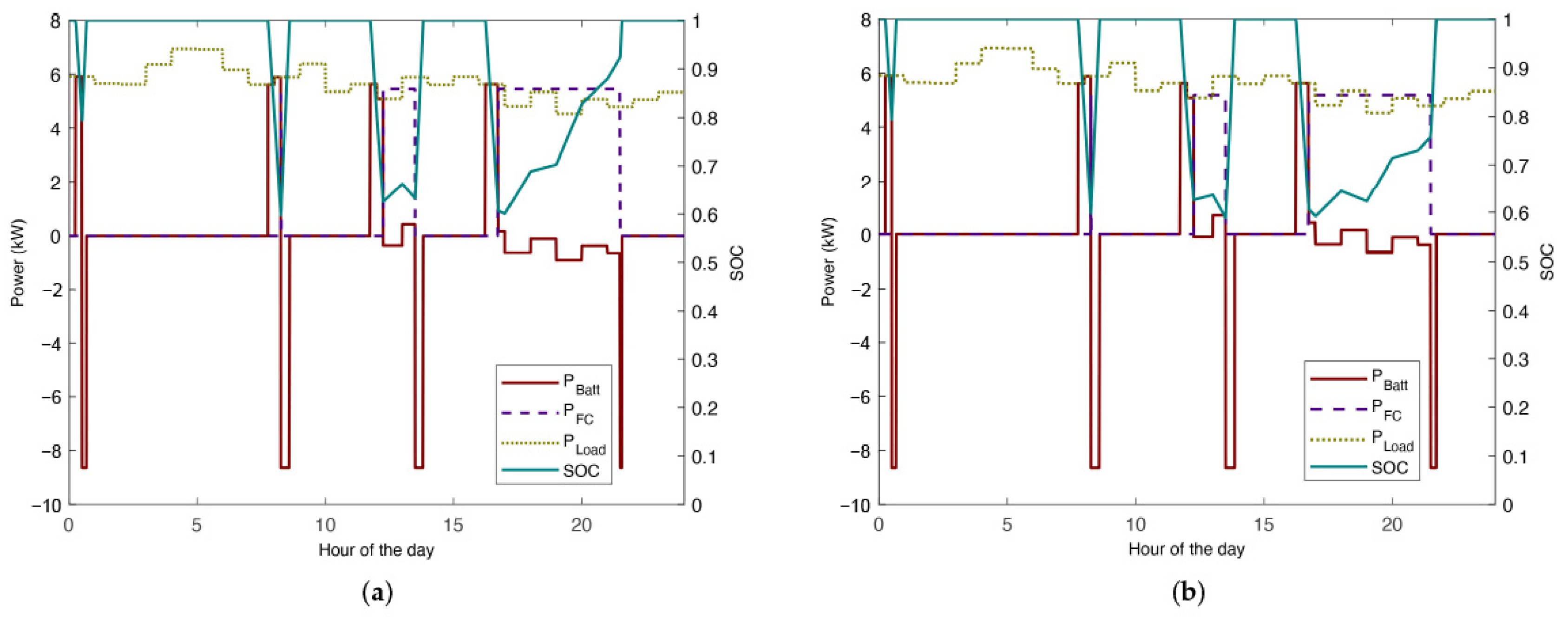
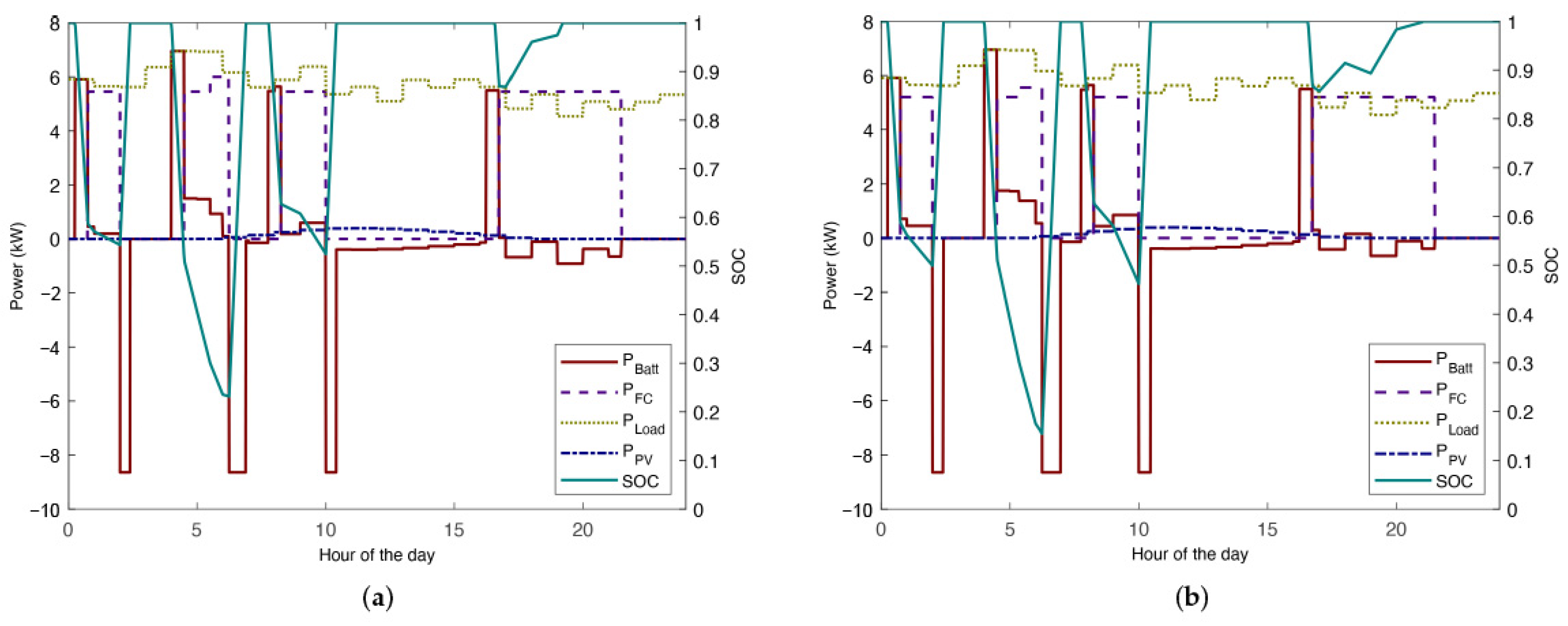
4.1. Possible Daily Scenario
- 15 min from 00:15 h to 00:30 h;
- 30 min from 08:00 h to 08:30 h;
- 1 h and 30 min from 12:00 h to 13:30 h;
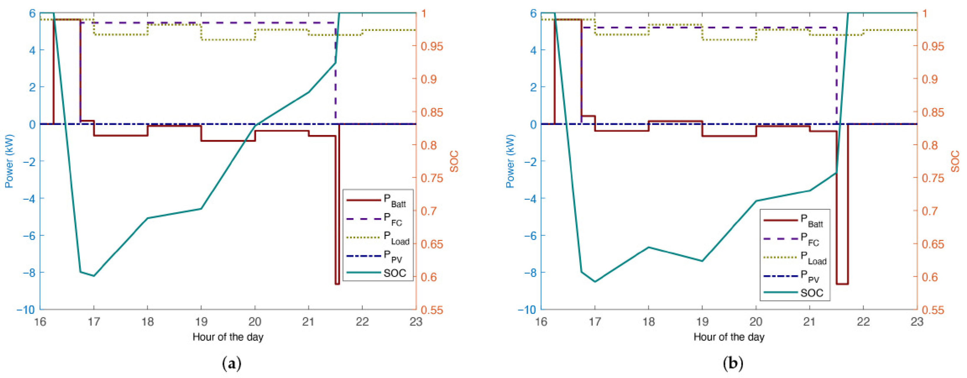
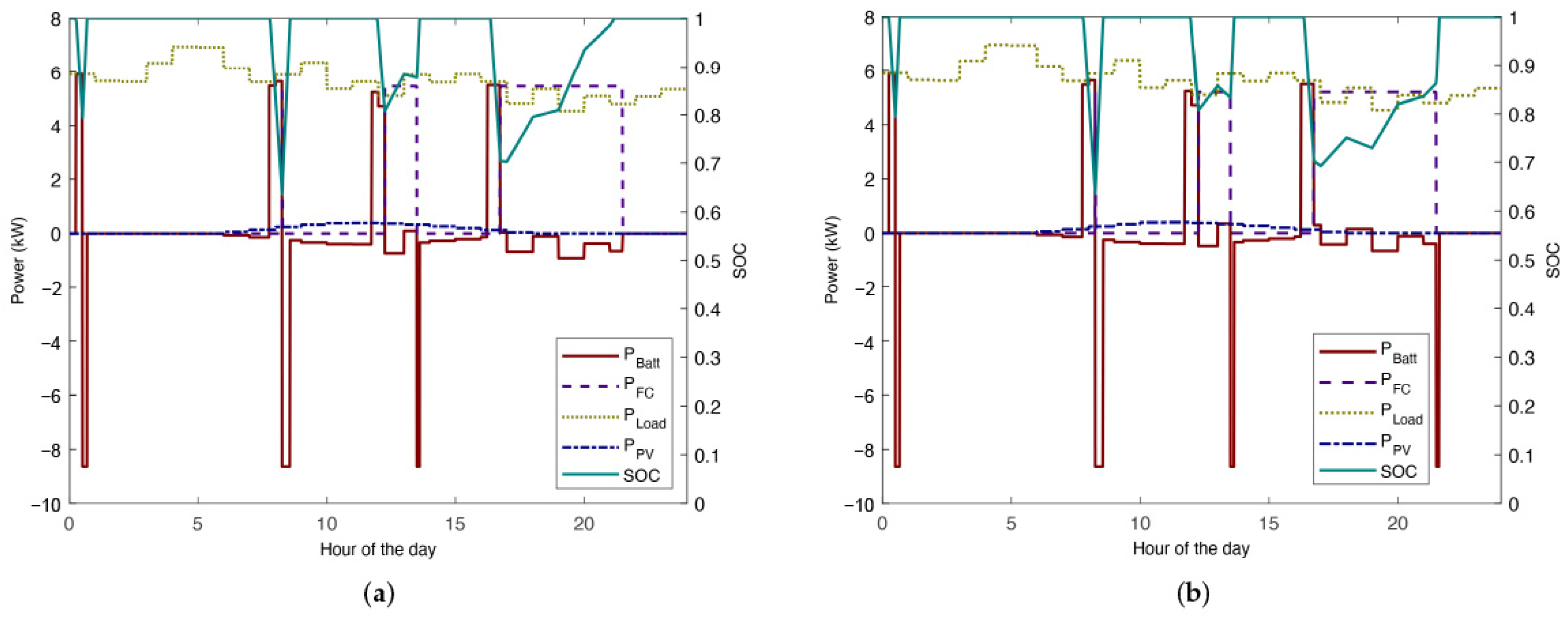
- 5 h from 16:30 h to 21:30 h.
4.1.1. Hybrid System without PV Module
4.1.2. Hybrid System with PV Module
4.2. Long Power Outages Scenario
4.2.1. Hybrid System without PV Module
4.2.2. Hybrid System with PV Module
5. Discussion
6. Conclusions
Author Contributions
Funding
Institutional Review Board Statement
Informed Consent Statement
Data Availability Statement
Conflicts of Interest
Abbreviations
| SOC | State-of-charge |
| EMS | Energy management system |
| PV | Photovoltaic cell |
| PEM/PEMFC | Proton exchange membrane fuel cell |
| HT-PEMFC | High-temperature proton exchange membrane fuel cell |
| EOT | End of test |
| BOL | Beginning of life |
| DC | Direct current |
References
- 5G Power: Creating a Green Grid That Slashes Costs, Emissions & Energy Use. Available online: https://www.huawei.com/us/technology-insights/publications/huawei-tech/89/5g-power-green-grid-slashes-costs-emissions-energy-use#:~:text=In%20the%205G%20era%2C%20the,configuration%20in%20the%205G%20era (accessed on 8 November 2021).
- “5G Will Prompt Energy Consumption to Grow by Staggering 160% in 10 Years”—Datacenter Forum. Available online: https://www.datacenter-forum.com/datacenter-forum/5g-will-prompt-energy-consumption-to-grow-by-staggering-160-in-10-years (accessed on 24 April 2022).
- What Is a 5G Cell Tower? Available online: https://www.anscorporate.com/blog/what-is-a-5g-cell-tower (accessed on 26 January 2022).
- Ahamed, M.M.; Faruque, S. 5G network coverage planning and analysis of the deployment challenges. Sensors 2021, 21, 6608. [Google Scholar] [CrossRef] [PubMed]
- Mobile Subscriptions by Country Worldwide 2019|Statista. Available online: https://www.statista.com/statistics/268232/top-10-countries-by-number-of-mobile-cellular-subscriptions/ (accessed on 5 October 2021).
- Deevela, N.R.; Singh, B.; Kandpal, T.C. Load profile of telecom towers and potential renewable energy power supply configurations. In Proceedings of the 2018 IEEE International Conference on Power Electronics, Drives and Energy Systems (PEDES), Chennai, India, 18–21 December 2018; pp. 1–6. [Google Scholar]
- Gilles, F.; Toth, J.; European Investment Bank; Innovation Finance Advisory. Accelerating the 5G Transition in Europe: How to Boost Investments in Transformative 5G Solutions. Main Report, European Investment Bank, 2021. Available online: https://data.europa.eu/doi/10.2867/252427 (accessed on 24 April 2022).
- California Public Utilities Commission Final Analysis Report Reliability Standards for Telecommunications Emergency Backup Power Systems and Emergency Notification Systems F I L E D. 2008. Available online: https://www.cpuc.ca.gov/EFILE/PD/82464.pdf (accessed on 23 February 2022).
- U.S. Department of Energy (DOE). Fuel Cells for Backup Power in Telecommunications Facilities (Fact Sheet). April 2009. Available online: www.hydrogen.energy.gov (accessed on 23 February 2022).
- Leng, F.; Tan, C.M.; Pecht, M. Effect of Temperature on the Aging rate of Li Ion Battery Operating above Room Temperature. Sci. Rep. 2015, 5, 12967. [Google Scholar] [CrossRef] [PubMed] [Green Version]
- Abraham, K. Prospects and limits of energy storage in batteries. J. Phys. Chem. Lett. 2015, 6, 830–844. [Google Scholar] [CrossRef] [PubMed]
- Wang, Y.; Chen, K.S.; Mishler, J.; Cho, S.C.; Adroher, X.C. A review of polymer electrolyte membrane fuel cells: Technology, applications, and needs on fundamental research. Appl. Energy 2011, 88, 981–1007. [Google Scholar] [CrossRef] [Green Version]
- Ma, Z.; Eichman, J.; Kurtz, J. Fuel cell backup power system for grid service and microgrid in telecommunication applications. J. Energy Resour. Technol. 2019, 141, 062002. [Google Scholar] [CrossRef] [Green Version]
- Vasallo, M.J.; Andújar, J.M.; Garcia, C.; Brey, J.J. A methodology for sizing backup fuel-cell/battery hybrid power systems. IEEE Trans. Ind. Electron. 2009, 57, 1964–1975. [Google Scholar] [CrossRef]
- Garcia, P.; Fernandez, L.M.; Garcia, C.A.; Jurado, F. Energy Management System of Fuel-Cell-Battery Hybrid Tramway. IEEE Trans. Ind. Electron. 2010, 57, 4013–4023. [Google Scholar] [CrossRef]
- Chen, Y.S.; Lin, S.M.; Hong, B.S. Experimental study on a passive fuel cell/battery hybrid power system. Energies 2013, 6, 6413–6422. [Google Scholar] [CrossRef]
- Bassam, A.M.; Phillips, A.B.; Turnock, S.R.; Wilson, P.A. An improved energy management strategy for a hybrid fuel cell/battery passenger vessel. Int. J. Hydrogen Energy 2016, 41, 22453–22464. [Google Scholar] [CrossRef] [Green Version]
- Motapon, S.N.; Dessaint, L.A.; Al-Haddad, K. A comparative study of energy management schemes for a fuel-cell hybrid emergency power system of more-electric aircraft. IEEE Trans. Ind. Electron. 2013, 61, 1320–1334. [Google Scholar] [CrossRef]
- Zhuo, J.; Chakrabarti, C.; Lee, K.; Chang, N.; Vrudhula, S. Maximizing the lifetime of embedded systems powered by fuel cell-battery hybrids. IEEE Trans. Very Large Scale Integr. (VLSI) Syst. 2009, 17, 22–32. [Google Scholar] [CrossRef]
- Prayas-ESMI. Available online: http://www.watchyourpower.org/index.php (accessed on 8 November 2021).
- Ryan Ahmed. MATLAB/SIMULINK Bible—Udemy. Available online: https://www.udemy.com/course/matlabsimulink-biblego-from-zero-to-hero/ (accessed on 30 November 2021).
- Li, X.; Xu, L.; Hua, J.; Lin, X.; Li, J.; Ouyang, M. Power management strategy for vehicular-applied hybrid fuel cell/battery power system. J. Power Sources 2009, 191, 542–549. [Google Scholar] [CrossRef]
- Korthauer, R. Lithium-Ion Batteries: Basics and Applications; Springer: Berlin/Heidelberg, Germany, 2018. [Google Scholar]
- Barbir, F. PEM Fuel Cells: Theory and Practice (Second Edition); Academic Press: Cambridge, MA, USA, 2013. [Google Scholar]
- Sharma, C.; Jain, A. Solar panel mathematical modelling using simulink. Int. J. Eng. Res. Appl. 2014, 4, 67–72. [Google Scholar]
- Global Solar Atlas. Available online: https://globalsolaratlas.info/detail?c=26.894822,81.057816,11&a=80.67041,26.757383,80.67041,27.031728,81.443848,27.031728,81.443848,26.757383,80.67041,26.757383&s=26.875531,80.918427&m=site (accessed on 30 November 2021).
- Tie, S.F.; Tan, C.W. A review of energy sources and energy management system in electric vehicles. Renew. Sustain. Energy Rev. 2013, 20, 82–102. [Google Scholar] [CrossRef]
- Chen, L.; Lü, Z.; Lin, W.; Li, J.; Pan, H. A new state-of-health estimation method for lithium-ion batteries through the intrinsic relationship between ohmic internal resistance and capacity. Measurement 2018, 116, 586–595. [Google Scholar] [CrossRef]
- Barelli, L.; Bidini, G.; Ottaviano, A. Optimization of a PEMFC/battery pack power system for a bus application. Appl. Energy 2012, 97, 777–784. [Google Scholar] [CrossRef]
- Chao, C.H.; Shieh, J.J. A new control strategy for hybrid fuel cell-battery power systems with improved efficiency. Int. J. Hydrogen Energy 2012, 37, 13141–13146. [Google Scholar] [CrossRef]
- Thounthong, P.; Raël, S.; Davat, B. Energy management of fuel cell/battery/supercapacitor hybrid power source for vehicle applications. J. Power Sources 2009, 193, 376–385. [Google Scholar] [CrossRef]
- Han, J.; Charpentier, J.F.; Tang, T. An energy management system of a fuel cell/battery hybrid boat. Energies 2014, 7, 2799–2820. [Google Scholar] [CrossRef] [Green Version]
- Krishnamoorthy, M.; Raj, P.A.D. Optimum design and analysis of HRES for rural electrification: A case study of Korkadu district. Soft Comput. 2020, 24, 13051–13068. [Google Scholar] [CrossRef]
- Krishnamoorthy, M.; Periyanayagam, A.D.R.; Kumar, C.S.; Kumar, B.P.; Srinivasan, S.; Kathiravan, P. Optimal Sizing, Selection, and Techno-Economic Analysis of Battery Storage for PV/BG-based Hybrid Rural Electrification System. AHEAD-OF-PRINT. IETE J. Res. 2020, 1–16. [Google Scholar] [CrossRef]
- Harris, K.; Grim, R.G.; Tao, L. A Comparative Techno-Economic Analysis of Renewable Methanol Synthesis Pathways from Biomass and CO2 Preprint; NREL/CP-5100-78547; National Renewable Energy Laboratory: Golden, CO, USA, 2021. [Google Scholar]












| Parameters | Value | Unit |
|---|---|---|
| Number of Cells in the Fuel Cell Stack | 75 | - |
| P | 5.455 | kW |
| P | 3.5 | kW |
| P | 6 | kW |
| Active Area of the Fuel Cell | 0.2975 | m |
| Battery | 8.640 | kW |
| Anode Stoichiometric Ratio | 1.3 | - |
| Initial SOC | 1 | - |
| Battery SOC | Required Backup Power P | Required Fuel Cell Power (P |
|---|---|---|
| P ≤ P | P | |
| P < P ≤ P | P | |
| P < P ≤ P | P | |
| P > P | P | |
| P ≤ P | P | |
| P < P ≤ P | P | |
| P < P ≤ P | P | |
| P > P | P | |
| > 0.8 | P ≤ P | P |
| P < P ≤ P | P | |
| P < P ≤ P | P | |
| P > P | P |
| Parameters | BOL | EOT | Unit |
|---|---|---|---|
| P | 3.500 | 3.483 | kW |
| P | 5.455 | 5.198 | kW |
| P | 6.000 | 5.647 | kW |
| 0.240 | 0.240 | A/cm | |
| 0.400 | 0.400 | A/cm | |
| 0.4566 | 0.4566 | A/cm | |
| 53.02 | 52.03 | % | |
| 49.19 | 46.55 | % | |
| 47.75 | 44.34 | % |
Publisher’s Note: MDPI stays neutral with regard to jurisdictional claims in published maps and institutional affiliations. |
© 2022 by the authors. Licensee MDPI, Basel, Switzerland. This article is an open access article distributed under the terms and conditions of the Creative Commons Attribution (CC BY) license (https://creativecommons.org/licenses/by/4.0/).
Share and Cite
Martinho, D.L.; Simon Araya, S.; Sahlin, S.L.; Liso, V.; Li, N.; Berg, T.L. Modeling a Hybrid Reformed Methanol Fuel Cell–Battery System for Telecom Backup Applications. Energies 2022, 15, 3218. https://doi.org/10.3390/en15093218
Martinho DL, Simon Araya S, Sahlin SL, Liso V, Li N, Berg TL. Modeling a Hybrid Reformed Methanol Fuel Cell–Battery System for Telecom Backup Applications. Energies. 2022; 15(9):3218. https://doi.org/10.3390/en15093218
Chicago/Turabian StyleMartinho, Diogo Loureiro, Samuel Simon Araya, Simon Lennart Sahlin, Vincenzo Liso, Na Li, and Thomas Leopold Berg. 2022. "Modeling a Hybrid Reformed Methanol Fuel Cell–Battery System for Telecom Backup Applications" Energies 15, no. 9: 3218. https://doi.org/10.3390/en15093218
APA StyleMartinho, D. L., Simon Araya, S., Sahlin, S. L., Liso, V., Li, N., & Berg, T. L. (2022). Modeling a Hybrid Reformed Methanol Fuel Cell–Battery System for Telecom Backup Applications. Energies, 15(9), 3218. https://doi.org/10.3390/en15093218

