Analysis of Polarization and Depolarization Currents of Samples of NOMEX®910 Cellulose–Aramid Insulation Impregnated with Synthetic Ester
Abstract
:1. Introduction
2. Materials Used in the Laboratory Tests
2.1. NOMEX®910 Cellulose—Aramid Electrical Paper
2.2. NOMEX®910 Cellulose—Aramid Electrical Paper
3. PDC Method
4. Sample Preparation Method
4.1. Metering Samples Preparation
4.2. Measurement System
5. Experimental Results
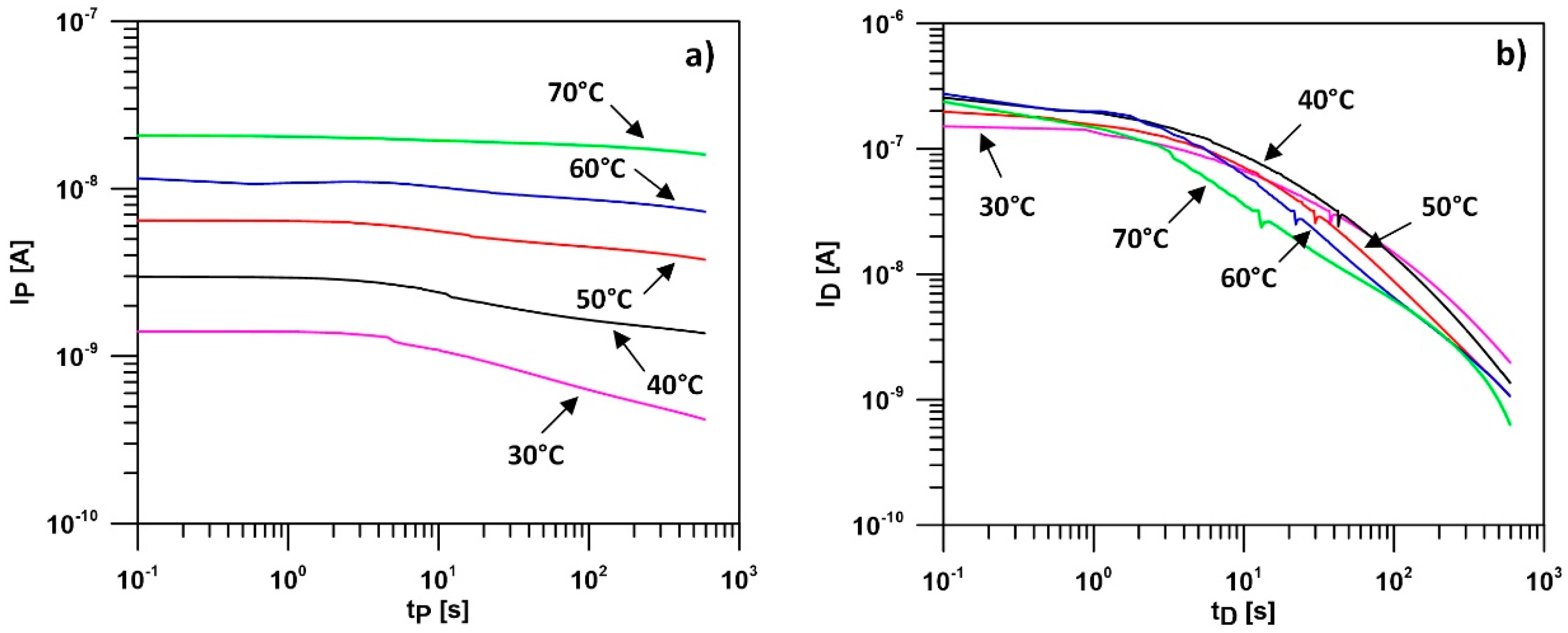
5.1. Effect of Temperature
5.2. Ageing Level Effect
6. Conclusions
- An increase in the measurement temperature causes practically a proportional increase in the polarization current values, regardless of the sample’s ageing level;
- An increase in the measurement temperature causes much smaller changes in the depolarization current; however, its faster disappearance is noticeable, regardless of the sample’s ageing level;
- An increase in the ageing level of the samples causes a significant decrease in the polarization current throughout the whole period registered, regardless of the measurement temperature; however, these changes are more significant at the lowest temperature (30 °C);
- An increase in the ageing level of the samples causes a decrease in the depolarization current throughout the whole period being registered, (which causes its faster disappearance), regardless of the measurement temperature; however, these changes are more significant at the lowest temperature (30 °C);
- An increase in the ageing level of the samples causes a decrease in the activation energy;
- An increase in the measurement temperature causes a decrease in the dominant time constants of the relaxation processes of the aramid and cellulose fibers;
- An increase in the ageing level of the samples causes an increase in the dominant time constants of the relaxation processes of the aramid and cellulose fibers.
Author Contributions
Funding
Institutional Review Board Statement
Informed Consent Statement
Data Availability Statement
Conflicts of Interest
References
- Aslam, M.; Arbab, M.N.; Basit, A.; Haq, I.U.; Saher, S.; Khan, A.D.; Khattak, A.N. Improved Insulation Durability to Improve Transformer Aging. Int. J. Emerg. Electr. Power Syst. 2020, 21, 20190173. [Google Scholar] [CrossRef]
- Liao, R.; Hao, J.; Chen, G.; Ma, Z.; Yang, L. A Comparative Study of physicochemical, dielectric and thermal properties of pressboard insulation impregnated with natural ester and mineral oil. IEEE Trans. Dielectr. Electr. Insul. 2011, 18, 1626–1637. [Google Scholar] [CrossRef] [Green Version]
- Fofana, I.; Borsi, H.; Gockenbach, E.; Farzaneh, M. Aging of transformer insulating materials under selective conditions. Eur. Trans. Electr. Power 2007, 17, 450–470. [Google Scholar] [CrossRef]
- Przybylek, P.; Moranda, H.; Mościcka-Grzesiak, H.; Cybulski, M. Laboratory Model Studies on the Drying Efficiency of Transformer Cellulose Insulation Using Synthetic Ester. Energies 2020, 13, 3467. [Google Scholar] [CrossRef]
- Munajad, A.; Suwarno, C. Study on the Effects of Thermal Aging on Insulating Paper for High Voltage Transformer Composite with Natural Ester from Palm Oil Using Fourier Transform Infrared Spectroscopy (FTIR) and Energy Dispersive X-ray Spectroscopy (EDS). Energies 2017, 10, 1857. [Google Scholar] [CrossRef] [Green Version]
- Dombek, G.; Nadolny, Z.; Przybylek, P.; Lopatkiewicz, R.; Marcinkowska, A.; Druzynski, L.; Boczar, T.; Tomczewski, A. Effect of Moisture on the Thermal Conductivity of Cellulose and Aramid Paper Impregnated with Various Dielectric Liquids. Energies 2020, 13, 4433. [Google Scholar] [CrossRef]
- Wolny, S. Aging degree evaluation for paper-oil insulation, carried out using the recovery voltage method. IEEE Trans. Dielectr. Electr. Insul. 2015, 22, 2455–2462. [Google Scholar] [CrossRef]
- Münster, T.; Werle, P.; Hämel, K.; Preusel, J. Thermally Accelerated Aging of Insulation Paper for Transformers with Different Insulating Liquids. Energies 2021, 14, 3036. [Google Scholar] [CrossRef]
- Gorgan, B.; Nothingher, P.V.; Wetzer, J.M.; Verhaart, H.F.A.; Wouters, P.A.A.F.; van Schijndel, A.; Tanasescu, G. Calculation of the remaining lifetime of power transformers paper insulation. In Proceedings of the 2012 13th International Conference on Optimization of Electrical and Electronic Equipment (OPTIM), Brasov, Romania, 22–24 May 2012; pp. 293–300. [Google Scholar]
- Why Nomex® for Electrical Infrastructure? Available online: https://www.dupont.com/nomex-for-electrical-infrastructure.html (accessed on 21 November 2021).
- Zdanowski, M. Streaming Electrification Phenomenon of Electrical Insulating Oils for Power Transformers. Energies 2020, 13, 3225. [Google Scholar] [CrossRef]
- Zdanowski, M. Streaming Electrification of Mineral Insulating Oil and Synthetic Ester MIDEL 7131. IEEE Trans. Dielectr. Electr. Insul. 2014, 21, 1127–1132. [Google Scholar] [CrossRef]
- DuPontTH NOMEX® T910. Technical Data Sheet. Available online: https://www.dupont.com/content/dam/dupont/amer/us/en/safety/public/documents/en/DPT16_21921_Nomex_910_Tech_Data_Sheet_me06.pdf (accessed on 12 January 2022).
- MIDEL 7131. Technical Data Sheet. Available online: https://www.midel.com/app/uploads/2018/05/MIDEL-7131-Product-Brochure.pdf (accessed on 13 January 2022).
- Saha, T.K.; Purkait, P. Investigation of Polarization and Depolarization Current Measurements for the Assessment of Oil-paper Insulation of Aged Transformers. IEEE Trans. Dielectr. Electr. Insul. 2004, 11, 144–154. [Google Scholar] [CrossRef] [Green Version]
- Wolny, S.; Kędzia, J. The assessment of the influence of temperature of selected parameters of the approximation method of depolarization current analysis of paper–oil insulation. J. Non-Cryst. Solids 2010, 356, 809–814. [Google Scholar] [CrossRef]
- Jonscher, A. The Universal Dielectric Response and its Physical Significance. IEEE Trans. Electr. Insul. 1992, 27, 407–423. [Google Scholar] [CrossRef]
- Wolny, S.; Adamowicz, A.; Lepich, M. Influence of Temperature and Moisture Level in Paper-Oil Insulation on the Parameters of the Cole-Cole Model. IEEE Trans. Power Deliv. 2013, 29, 246–250. [Google Scholar] [CrossRef]
- Hao, J.; Liao, R.; Chen, G.; Ma, Z.; Yang, L. Quantitative analysis ageing status of natural ester-paper insulation and mineral oil-paper insulation by polarization/depolarization current. IEEE Trans. Dielectr. Electr. Insul. 2012, 19, 188–199. [Google Scholar]
- Girgis, R.; Bernesjo, M.; Frimpong, G.K. Detailed performance of a 50 MVA transformer filled with a natural ester fluid versus mineral oil. Water Energy Int. 2011, 68, 66. [Google Scholar]
- Wolny, S.; Krotowski, A. Analysis of Polarization and Depolarization Currents of Samples of NOMEX® 910 Cellulose–Aramid Insulation Impregnated with Mineral Oil. Energies 2020, 13, 6075. [Google Scholar] [CrossRef]
- Li, X.; Liao, R.; Li, M.; Yang, L.; Yang, J.; Qi, C. Influence of aging degree on polariaztion and deloparization currents of oil-paper insulation. In Proceedings of the 2013 Annual Report Conference on Electrical Insulation and Dielectric Phrnomena, Chenzhen, China, 20–23 October 2013; pp. 612–616. [Google Scholar]














| Property | Units | Value | Test Method |
|---|---|---|---|
| Basis weight | g/m2 | 80 | ASTM D646 |
| Burst strength | N/cm2 | 27 | ASTM D828 |
| Tensile strength, MD 1 | N/cm | 70 | ASTM D828 |
| Tensile strength, XD 2 | N/cm | 17 | ASTM D828 |
| Elongation, MD | % | 2.2 | ASTM D828 |
| Elongation, XD | % | 6.9 | ASTM D828 |
| Tear strength, MD | N | 0.45 | TAPPI 414 |
| Tear strength, XD | N | 0.70 | TAPPI 414 |
| AC rapid rise breakdown in Ester Liquid | kV/mm | 87 | ASTM D149 |
| Dielectric Constant at 60 Hz, 23 °C, Ester Liquid | - | 4.2 | ASTM D150 |
| Dissipation Factor at 60 Hz, 23 °C, Ester Liquid | % | 0.9 | ASTM D150 |
| Property | Units | Value | Test Method |
|---|---|---|---|
| Density, 20 °C | kg/dm3 | 0.97 | ISO 3675 |
| Viscosity, 40 °C | mm2/s | 29 | ISO 3104 |
| Viscosity, −30 °C | mm2/s | 1440 | ISO 3104 |
| Fresh point | °C | 260 | ISO 2719 |
| Biodegradation | Readily Biodegradable | ||
| Fire point | °C | 316 | ISO 2592 |
| Pour point | °C | −56 | ISO 3016 |
| Water content | mg/kg | 50 | IEC 60814 |
| Crystalization | - | No crystals | IEC 61099 |
| Power factor at 90 °C | - | <0.008 | IEC 60247 |
| Dielectric Breakdown | kV | >75 | IEC 60156 |
| DC Resistivity at 90 °C | GΩ·m | >20 | IEC 60247 |
Publisher’s Note: MDPI stays neutral with regard to jurisdictional claims in published maps and institutional affiliations. |
© 2022 by the authors. Licensee MDPI, Basel, Switzerland. This article is an open access article distributed under the terms and conditions of the Creative Commons Attribution (CC BY) license (https://creativecommons.org/licenses/by/4.0/).
Share and Cite
Krotowski, A.; Wolny, S. Analysis of Polarization and Depolarization Currents of Samples of NOMEX®910 Cellulose–Aramid Insulation Impregnated with Synthetic Ester. Energies 2022, 15, 3107. https://doi.org/10.3390/en15093107
Krotowski A, Wolny S. Analysis of Polarization and Depolarization Currents of Samples of NOMEX®910 Cellulose–Aramid Insulation Impregnated with Synthetic Ester. Energies. 2022; 15(9):3107. https://doi.org/10.3390/en15093107
Chicago/Turabian StyleKrotowski, Adam, and Stefan Wolny. 2022. "Analysis of Polarization and Depolarization Currents of Samples of NOMEX®910 Cellulose–Aramid Insulation Impregnated with Synthetic Ester" Energies 15, no. 9: 3107. https://doi.org/10.3390/en15093107
APA StyleKrotowski, A., & Wolny, S. (2022). Analysis of Polarization and Depolarization Currents of Samples of NOMEX®910 Cellulose–Aramid Insulation Impregnated with Synthetic Ester. Energies, 15(9), 3107. https://doi.org/10.3390/en15093107

