Effect of Reservoir Heterogeneity on CO2 Flooding in Tight Oil Reservoirs
Abstract
:1. Introduction
2. Simulation Concept and Method
2.1. Simulation Approach
2.2. Mathematical Model and Governing Equations
2.3. Numerical Model Validation
3. Model Generation
3.1. Heterogeneous Porosity and Permeability Fields
3.2. Numerical Model
4. Simulation Results and Discussion
4.1. Effect on Oil/Gas Saturation and Pressure
4.2. Effects on CO2 Storage and Oil Production
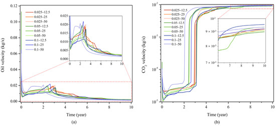
4.3. Effects on CO2 and Oil Flow
4.4. Effect of CO2 Injection Rate and Production Pressure
4.5. Effect of CO2-Alternating-N2 (CAN) Injection
5. Conclusions
Author Contributions
Funding
Acknowledgments
Conflicts of Interest
References
- Hasan, M.M.F.; First, E.L.; Boukouvala, F.; Floudas, C.A. A multi-scale framework for CO2 capture, utilization, and sequestration: CCUS and CCU. Comput. Chem. Eng. 2015, 81, 2–21. [Google Scholar] [CrossRef] [Green Version]
- Liu, H.J.; Were, P.; Li, Q.; Gou, Y.; Hou, Z. Worldwide Status of CCUS Technologies and Their Development and Challenges in China. Geofluids 2017, 2017, 6126505. [Google Scholar] [CrossRef]
- Jiang, K.; Ashworth, P.; Zhang, S.; Liang, X.; Sun, Y.; Angus, D. China’s carbon capture, utilization and storage (CCUS) policy: A critical review. Renew. Sustain. Energy Rev. 2020, 119, 109601. [Google Scholar] [CrossRef]
- Greig, C.; Uden, S. The value of CCUS in transitions to net-zero emissions. Electr. J. 2021, 34, 107004. [Google Scholar] [CrossRef]
- Wu, X.; Tian, Z.; Guo, J. A review of the theoretical research and practical progress of carbon neutrality. Sustain. Oper. Comput. 2022, 3, 54–66. [Google Scholar] [CrossRef]
- Hill, L.B.; Li, X.; Wei, N. CO2-EOR in China: A comparative review. Int. J. Greenh. Gas Control 2020, 103, 103173. [Google Scholar] [CrossRef]
- Godec, M.; Koperna, G.; Gale, J. CO2-ECBM: A Review of its Status and Global Potential. Energy Procedia 2014, 63, 5858–5869. [Google Scholar] [CrossRef] [Green Version]
- Shi, Y.; Jia, Y.; Pan, W.; Huang, L.; Yan, J.; Zheng, R. Potential evaluation on CO2 -EGR in tight and low-permeability reservoirs. Nat. Gas Ind. B 2017, 4, 311–318. [Google Scholar] [CrossRef]
- Liao, J.; Cao, C.; Hou, Z.; Mehmood, F.; Feng, W.; Yue, Y.; Liu, H. Field scale numerical modeling of heat extraction in geothermal reservoir based on fracture network creation with supercritical CO2 as working fluid. Environ. Earth Sci. 2020, 79, 291. [Google Scholar] [CrossRef]
- Cao, H.; Zou, Y.-R.; Lei, Y.; Xi, D.; Wan, X.; Peng, P.A. Shale Oil Assessment for the Songliao Basin, Northeastern China, Using Oil Generation–Sorption Method. Energy Fuels 2017, 31, 4826–4842. [Google Scholar] [CrossRef]
- Cao, X.; Gao, Y.; Cui, J.; Han, S.; Kang, L.; Song, S.; Wang, C. Pore Characteristics of Lacustrine Shale Oil Reservoir in the Cretaceous Qingshankou Formation of the Songliao Basin, NE China. Energies 2020, 13, 2027. [Google Scholar] [CrossRef] [Green Version]
- Cui, J.; Zhu, R.; Mao, Z.; Li, S. Accumulation of unconventional petroleum resources and their coexistence characteristics in Chang7 shale formations of Ordos Basin in central China. Front. Earth Sci. 2019, 13, 575–587. [Google Scholar] [CrossRef]
- Deng, Y.; Chen, S.; Pu, X.; Yan, J. Characteristics and Controlling Factors of Shale Oil Reservoir Spaces in the Bohai Bay Basin. Acta Geol. Sin. Engl. Ed. 2020, 94, 253–268. [Google Scholar] [CrossRef]
- Hu, T.; Pang, X.; Wang, Q.; Jiang, S.; Wang, X.; Huang, C.; Xu, Y.; Li, L.; Li, H.; Chen, Z.Q. Geochemical and geological characteristics of Permian Lucaogou Formation shale of the well Ji174, Jimusar Sag, Junggar Basin, China: Implications for shale oil exploration. Geol. J. 2017, 53, 2371–2385. [Google Scholar] [CrossRef]
- Huo, Z.; Hao, S.; Liu, B.; Zhang, J.; Ding, J.; Tang, X.; Li, C.; Yu, X. Geochemical characteristics and hydrocarbon expulsion of source rocks in the first member of the Qingshankou Formation in the Qijia-Gulong Sag, Songliao Basin, Northeast China: Evaluation of shale oil resource potential. Energy Sci. Eng. 2020, 8, 1450–1467. [Google Scholar] [CrossRef]
- Wang, Y.; Li, Z.; Gong, J.; Zhu, J.; Hao, Y.; Hao, X.; Wang, Y. An evaluation workflow for shale oil and gas in the Jiyang Depression, Bohai Bay Basin, China: A case study from the Luojia area in the Zhanhua Sag. Pet. Res. 2016, 1, 70–80. [Google Scholar] [CrossRef]
- Zhou, L.; Pang, X.; Wu, L.; Kuang, L.; Pang, H.; Jiang, F.; Bai, H.; Peng, J.; Pan, Z.; Zheng, D. Petroleum generation and expulsion in middle Permian Lucaogou Formation, Jimusar Sag, Junggar Basin, northwest China: Assessment of shale oil resource potential. Geol. J. 2017, 52, 1032–1048. [Google Scholar] [CrossRef]
- Yang, H.; Niu, X.; Xu, L.; Feng, S.; You, Y.; Liang, X.; Wang, F.; Zhang, D. Exploration potential of shale oil in Chang7 Member, Upper Triassic Yanchang Formation, Ordos Basin, NW China. Pet. Explor. Dev. 2016, 43, 560–569. [Google Scholar] [CrossRef]
- Zhao, W.; Hu, S.; Hou, L.; Yang, T.; Li, X.; Guo, B.; Yang, Z. Types and resource potential of continental shale oil in China and its boundary with tight oil. Pet. Explor. Dev. 2020, 47, 1–11. [Google Scholar] [CrossRef]
- Zhi, Y.; Caineng, Z.; Songtao, W.; Senhu, L.; Songqi, P.; Xiaobing, N.; Guangtian, M.; Zhenxing, T.; Guohui, L.; Jiahong, Z.; et al. Formation, distribution and resource potential of the “sweet areas (sections)” of continental shale oil in China. Mar. Pet. Geol. 2019, 102, 48–60. [Google Scholar] [CrossRef]
- Zou, C.; Dong, D.; Wang, S.; Li, J.; Li, X.; Wang, Y.; Li, D.; Cheng, K. Geological characteristics and resource potential of shale gas in China. Pet. Explor. Dev. 2010, 37, 641–653. [Google Scholar] [CrossRef]
- Du Jinhu, H.S.; Zhenglian, P.; Senhu, L.; Lianhua, H.; Rukai, Z. The types, potentials and prospects of continental shale oil in China. China Pet. Explor. 2019, 24, 560. [Google Scholar]
- Song, Z.; Li, Y.; Song, Y.; Bai, B.; Hou, J.; Song, K.; Jiang, A.; Su, S. A Critical Review of CO2 North America and China Enhanced Oil Recovery in Tight Oil Reservoirs of North America and China. In Proceedings of the SPE/IATMI Asia Pacific Oil & Gas Conference and Exhibition, Bali, Indonesia, 29–31 October 2019. [Google Scholar]
- Vitali, M.; Corvaro, F.; Marchetti, B.; Terenzi, A. Thermodynamic challenges for CO2 pipelines design: A critical review on the effects of impurities, water content, and low temperature. Int. J. Greenh. Gas Control 2022, 114, 103605. [Google Scholar] [CrossRef]
- Vitali, M.; Zuliani, C.; Corvaro, F.; Marchetti, B.; Terenzi, A.; Tallone, F. Risks and Safety of CO2 Transport via Pipeline: A Review of Risk Analysis and Modeling Approaches for Accidental Releases. Energies 2021, 14, 4601. [Google Scholar] [CrossRef]
- Ampomah, W.; Balch, R.S.; Grigg, R.B.; McPherson, B.; Will, R.A.; Lee, S.Y.; Dai, Z.; Pan, F. Co-optimization of CO2-EOR and storage processes in mature oil reservoirs. Greenh. Gases Sci. Technol. 2016, 7, 128–142. [Google Scholar] [CrossRef]
- Ettehadtavakkol, A.; Lake, L.W.; Bryant, S.L. CO2-EOR and storage design optimization. Int. J. Greenh. Gas Control 2014, 25, 79–92. [Google Scholar] [CrossRef]
- Alfarge, D.; Wei, M.; Bai, B. Factors Affecting CO2-EOR in Shale-Oil Reservoirs: Numerical Simulation Study and Pilot Tests. Energy Fuels 2017, 31, 8462–8480. [Google Scholar] [CrossRef]
- Bai, B.; Hu, Q.; Li, Z.; Lü, G.; Li, X. Evaluating the Sealing Effectiveness of a Caprock-Fault System for CO2-EOR Storage: A Case Study of the Shengli Oilfield. Geofluids 2017, 2017, 8536724. [Google Scholar] [CrossRef] [Green Version]
- Pan, F.; McPherson, B.J.; Dai, Z.; Jia, W.; Lee, S.-Y.; Ampomah, W.; Viswanathan, H.; Esser, R. Uncertainty analysis of carbon sequestration in an active CO2-EOR field. Int. J. Greenh. Gas Control 2016, 51, 18–28. [Google Scholar] [CrossRef] [Green Version]
- Jia, W.; McPherson, B.; Pan, F.; Dai, Z.; Moodie, N.; Xiao, T. Impact of three-phase relative permeability and hysteresis models on forecasts of storage associated with CO2-EOR. Water Resour. Res 2018, 54, 1109–1126. [Google Scholar] [CrossRef]
- Chen, C. Effect of Reservoir Heterogeneity on Improved Shale Oil Recovery by CO2 Huff-n-Puff. In Proceedings of the SPE Unconventional Resources Conference, The Woodlands, TX, USA, 10–12 April 2013. [Google Scholar]
- Yu, W.; Lashgari, H.R.; Wu, K.; Sepehrnoori, K. CO2 injection for enhanced oil recovery in Bakken tight oil reservoirs. Fuel 2015, 159, 354–363. [Google Scholar] [CrossRef]
- Jia, B.; Tsau, J.-S.; Barati, R. A review of the current progress of CO2 injection EOR and carbon storage in shale oil reservoirs. Fuel 2019, 236, 404–427. [Google Scholar] [CrossRef]
- Wang, J.; Zhang, Y.; Xie, J. Influencing factors and application prospects of CO2 flooding in heterogeneous glutenite reservoirs. Sci. Rep. 2020, 10, 1839. [Google Scholar] [CrossRef] [PubMed] [Green Version]
- Al-Bayati, D. Influence of Permeability Heterogeneity on Miscible CO2 Flooding Efficiency in Sandstone Reservoirs: An Experimental Investigation. Transp. Porous Media 2018, 125, 341–356. [Google Scholar] [CrossRef]
- Ding, M. Oil recovery from a CO2 injection in heterogeneous reservoirs: The influence of permeability heterogeneity, CO2-oil miscibility and injection pattern. J. Nat. Gas Sci. Eng. 2017, 44, 140–149. [Google Scholar] [CrossRef]
- Wu, S.; Li, Z.; Wang, Z.; Sarma, H.K.; Zhang, C.; Wu, M. Investigation of CO2 /N2 injection in tight oil reservoirs with confinement effect. Energy Sci. Eng. 2020, 8, 1194–1208. [Google Scholar] [CrossRef] [Green Version]
- Pruess, K. ECO2N: A TOUGH2 Fluid Property Module for Mixtures of Water, NaCl, and CO2; Lawrence Berkeley National Laboratory: Berkeley, CA, USA, 2005. [Google Scholar]
- Battistelli, A.; Marcolini, M. TMGAS: A new TOUGH2 EOS module for the numerical simulation of gas mixtures injection in geological structures. Int. J. Greenh. Gas Control 2009, 3, 481–493. [Google Scholar] [CrossRef]
- Pruess, K. ECO2M: A TOUGH2 Fluid Property Module for Mixtures of Water, NaCl, and CO2, Including Super-and Sub-Critical Conditions, and Phase Change between Liquid and Gaseous CO2; Lawrence Berkeley National Lab. (LBNL): Berkeley, CA, USA, 2011. [Google Scholar]
- Sams, W.N.; Bromhal, G.; Olufemi, O.; Sinisha, J.; Ertekin, T.; Smith, D.H. Simulating Carbon Dioxide Sequestration/ECBM Production in Coal Seams: Effects of Coal Properties and Operational Parameters. In Proceedings of the SPE Eastern Regional Meeting, Lexington, KT, USA, 23–25 October 2002; Society of Petroleum Engineers: Lexington, KT, USA, 2002. [Google Scholar]
- Parker, J.; Lenhard, R. Engineering, Determining three-phase permeability—Saturation—Pressure relations from two-phase system measurements. J. Pet. Sci. Eng. 1990, 4, 57–65. [Google Scholar] [CrossRef]
- De Marsily, G. Quantitative Hydrogeology; Paris School of Mines: Fontainebleau, France, 1986. [Google Scholar]
- Ju, B.; Wu, Y.S.; Qin, J. Computer Modeling of the Displacement Behavior of Carbon Dioxide in Undersaturated Oil Reservoirs. Oil Gas Sci. Technol. 2015, 70, 951–965. [Google Scholar] [CrossRef]
- Mehmood, F.; Hou, M.Z.; Liao, J.; Haris, M.; Cao, C.; Luo, J. Multiphase Multicomponent Numerical Modeling for Hydraulic Fracturing with N-Heptane for Efficient Stimulation in a Tight Gas Reservoir of Germany. Energies 2021, 14, 3111. [Google Scholar] [CrossRef]
- Haris, M.; Hou, M.Z.; Feng, W.; Luo, J.; Zahoor, M.K.; Liao, J. Investigative Coupled Thermo-Hydro-Mechanical Modelling Approach for Geothermal Heat Extraction through Multistage Hydraulic Fracturing from Hot Geothermal Sedimentary Systems. Energies 2020, 13, 3504. [Google Scholar] [CrossRef]
- Cao, C.; Liao, J.; Hou, Z.; Xu, H.; Mehmood, F.; Wu, X. Utilization of CO2 as Cushion Gas for Depleted Gas Reservoir Transformed Gas Storage Reservoir. Energies 2020, 13, 576. [Google Scholar] [CrossRef] [Green Version]
- Dong, M.; Huang, S.; Dyer, S.B.; Mourits, F.M. A comparison of CO2 minimum miscibility pressure determinations for Weyburn crude oil. J. Pet. Sci. Eng. 2001, 31, 13–22. [Google Scholar] [CrossRef]
- Guo, B.; Fu, P.; Hao, Y.; Peters, C.A.; Carrigan, C.R. Thermal drawdown-induced flow channeling in a single fracture in EGS. Geothermics 2016, 61, 46–62. [Google Scholar] [CrossRef] [Green Version]
- Pebesma, E.J. Multivariable geostatistics in S: The gstat package. Comput. Geosci. 2004, 30, 683–691. [Google Scholar] [CrossRef]
- Chen, X.; Yao, G. An improved model for permeability estimation in low permeable porous media based on fractal geometry and modified Hagen-Poiseuille flow. Fuel 2017, 210, 748–757. [Google Scholar] [CrossRef]
- Zheng, W.; Tannant, D.D. Improved estimate of the effective diameter for use in the Kozeny–Carman equation for permeability prediction. Géotech. Lett. 2017, 7, 1–5. [Google Scholar] [CrossRef]
- Wang, H.; Liao, X.; Zhao, Z.; Ye, H.; Dou, X.; Zhao, D.; Lu, N. The Study of CO2 Flooding of Horizontal Well with SRV in Tight Oil Reservoir. In Proceedings of the SPE Energy Resources Conference, Port-of-Spain, Trinidad and Tobago, 9–11 June 2014. [Google Scholar]
- Pruess, K.; Battistelli, A. TMVOC, a Numerical Simulator for Three-Phase Non-Isothermal Flows of Multicomponent Hydrocarbon Mixtures in Saturated-Unsaturated Heterogeneous Media; Lawrence Berkeley National Laboratory: Berkeley, CA, USA, 2002. [Google Scholar]
- Wang, S.; Di, Y.; Wu, Y.S.; Winterfeld, P. A General Framework Model for Fully Coupled Thermal-Hydraulic-Mechanical Simulation of CO2 EOR Operations. In Proceedings of the SPE Reservoir Simulation Conference, Galveston, TX, USA, 10–11 April 2019. [Google Scholar]
- Yu, Y.; Sheng, J.J. An experimental investigation of the effect of pressure depletion rate on oil recovery from shale cores by cyclic N2 injection. In Proceedings of the SPE/AAPG/SEG Unconventional Resources Technology Conference, San Antonio, TX, USA, 22–24 July 2015; OnePetro: San Antonio, TX, USA, 2015. [Google Scholar]
- Yu, Y.; Meng, X.; Sheng, J. Experimental and numerical evaluation of the potential of improving oil recovery from shale plugs by nitrogen gas flooding. J. Unconv. Oil Gas Resour. 2016, 15, 56–65. [Google Scholar] [CrossRef] [Green Version]
- Lu, T.; Li, Z.; Li, J.; Hou, D.; Zhang, D. Flow behavior of N2 huff and puff process for enhanced oil recovery in tight oil reservoirs. Sci. Rep. 2017, 7, 15695. [Google Scholar] [CrossRef] [Green Version]
- Bai, J.; Liu, H.; Wang, J.; Qian, G.; Peng, Y.; Gao, Y.; Yan, L.; Chen, F. CO2, water and N2 injection for enhanced oil recovery with spatial arrangement of fractures in tight-oil reservoirs using huff-‘n-puff. Energies 2019, 12, 823. [Google Scholar] [CrossRef] [Green Version]



















| Parameter | Value | Parameter | Value |
|---|---|---|---|
| Grid block length (m) | 10 × 1 × 1 | Water saturation | 0.2 |
| Grid numbers | 10 | Oil saturation | 0.8 |
| Porosity | 0.3 | CO2 injection rate (kg/s) | 0.0001 |
| Initial temperature (°C) | 90 | Initial pressure (MPa) | 30 |
| Mean | Standard Deviation (-) | Correlation Length (m) | |
|---|---|---|---|
| Set 1: | 0.07 | 0.025 | 12.5 |
| 0.07 | 0.025 | 25 | |
| 0.07 | 0.025 | 50 | |
| 0.07 | 0.05 | 12.5 | |
| Set 2: | 0.07 | 0.05 | 25 |
| 0.07 | 0.05 | 50 | |
| 0.07 | 0.1 | 12.5 | |
| Set 3: | 0.07 | 0.1 | 25 |
| 0.07 | 0.1 | 50 |
| Component | Mole Fraction, % | Critical Temperature, K | Critical Pressure, MPa | Boiling Point, K | Molecular Weight, g/mol | Density (289 K), kg/m3 |
|---|---|---|---|---|---|---|
| COMP1 | 0.36 | 630.3 | 3.73 | 417.6 | 106.2 | 880.0 |
| COMP2 | 0.64 | 591.8 | 4.1 | 383.8 | 92.1 | 867.1 |
| Property | Value | Unit |
|---|---|---|
| Grid block length | 100 × 160 × 10 | m |
| Mean matrix porosity | 0.07 | dimensionless |
| Fracture length | 80 | m |
| Fracture porosity | 0.5 | dimensionless |
| Initial temperature | 90 | °C |
| Injection temperature | 40 | °C |
| Initial pressure | 20 | Mpa |
| Injection rate | 0.01 | kg/s |
| Production pressure | 15 | Mpa |
| Water saturation | 0.4 | dimensionless |
| Oil saturation | 0.6 | dimensionless |
| Production time | 10 | year |
Publisher’s Note: MDPI stays neutral with regard to jurisdictional claims in published maps and institutional affiliations. |
© 2022 by the authors. Licensee MDPI, Basel, Switzerland. This article is an open access article distributed under the terms and conditions of the Creative Commons Attribution (CC BY) license (https://creativecommons.org/licenses/by/4.0/).
Share and Cite
Luo, J.; Hou, Z.; Feng, G.; Liao, J.; Haris, M.; Xiong, Y. Effect of Reservoir Heterogeneity on CO2 Flooding in Tight Oil Reservoirs. Energies 2022, 15, 3015. https://doi.org/10.3390/en15093015
Luo J, Hou Z, Feng G, Liao J, Haris M, Xiong Y. Effect of Reservoir Heterogeneity on CO2 Flooding in Tight Oil Reservoirs. Energies. 2022; 15(9):3015. https://doi.org/10.3390/en15093015
Chicago/Turabian StyleLuo, Jiashun, Zhengmeng Hou, Guoqing Feng, Jianxing Liao, Muhammad Haris, and Ying Xiong. 2022. "Effect of Reservoir Heterogeneity on CO2 Flooding in Tight Oil Reservoirs" Energies 15, no. 9: 3015. https://doi.org/10.3390/en15093015
APA StyleLuo, J., Hou, Z., Feng, G., Liao, J., Haris, M., & Xiong, Y. (2022). Effect of Reservoir Heterogeneity on CO2 Flooding in Tight Oil Reservoirs. Energies, 15(9), 3015. https://doi.org/10.3390/en15093015

