Home Energy Management Considering Renewable Resources, Energy Storage, and an Electric Vehicle as a Backup
Abstract
:1. Introduction
- Optimal sizing of a home MG considering actual weather data, energy price, EV batteries as a secondary ESS and limiting the grid power for enhancing the energy self-consumption;
- Energy management system taking into account the availability of the EV;
- Investigate the economic profitability of for the users by considering the electric vehicle as backup in order to mitigate the grid congestion.
2. Microgrid Architecture
2.1. Home MG Components
2.2. Modeling of the Renewable Resources and Energy Storage Devices
2.2.1. PV Panels
- is the PV panels area in m;
- corresponds to the irradiance in the considered location W/m;
- stand for the chosen PV technology efficiency.
2.2.2. Wind Turbine
- is the wind turbine radius in m;
- corresponds to wind velocity, in m/s.
2.2.3. Energy Storage Devices: Battery and EV
- and correspond to battery and EV battery state of charge at time t;
- and stand for power of battery and EV battery. This power can be either positive or negative depending on the operation conditions;
- and are the maximum battery and EV energy capacity.
3. Optimal Sizing and Planning of a Home MG with Technology
3.1. Energy Management Strategy
- : Renewables fully satisfy the load and there is no need for energy from battery, power grid, and EV;
- : In this case, the battery, the grid, and the EV are required the complement renewables underproduction. The use of each of these resources depends on batteries state of charge, power limitations, and EV availability;
- : Battery free capacity is used to store the overproduction. If the battery is fully charged or the required power is higher than the maximum power, the excess power is supplied to the grid. However, if the EV is available or the grid power is not within its power limitations, the EV battery is used as a backup energy supply.
3.2. Objective Function
- corresponds to the investment cost, which is given by:with:
- –
- , , and are PV panels cost in (€/W), WT cost in (€/W) and battery cost in (€/J), respectively;
- –
- , , and are the installed PV power, wind power, and battery capacity, respectively.
- stand for the energy cost of the power provided by the main grid. It can be expressed as follows:with:
- –
- corresponds to the grid energy cost, which is variable during the day: On peak periods have higher price than off-peak periods;
- –
- is the power fed or supplied by the power grid, which is minimized in this study.
3.3. System Constraints
3.3.1. Generation/Consumption Balance and Power Limitations
3.3.2. Renewable Resources and ESS Constraints
- and are state of charge of battery ESS and EV battery;
- is the installed battery capacity that need to be optimized, which is limited by a maximum capacity ;
- and are depth of discharge of battery ESS anf EV battery.
4. Simulation Results
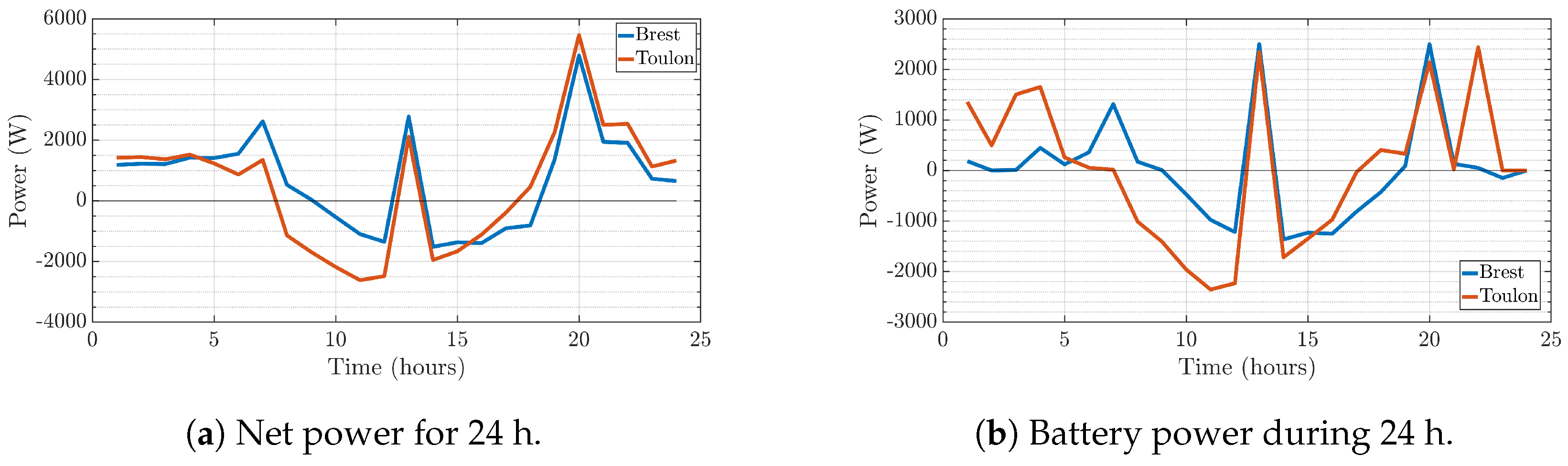
- Grid power: and ;
- Charging and discharging power of the battery: and ;
- Battery capacity: ;
- PV and WT dimensions: and ;
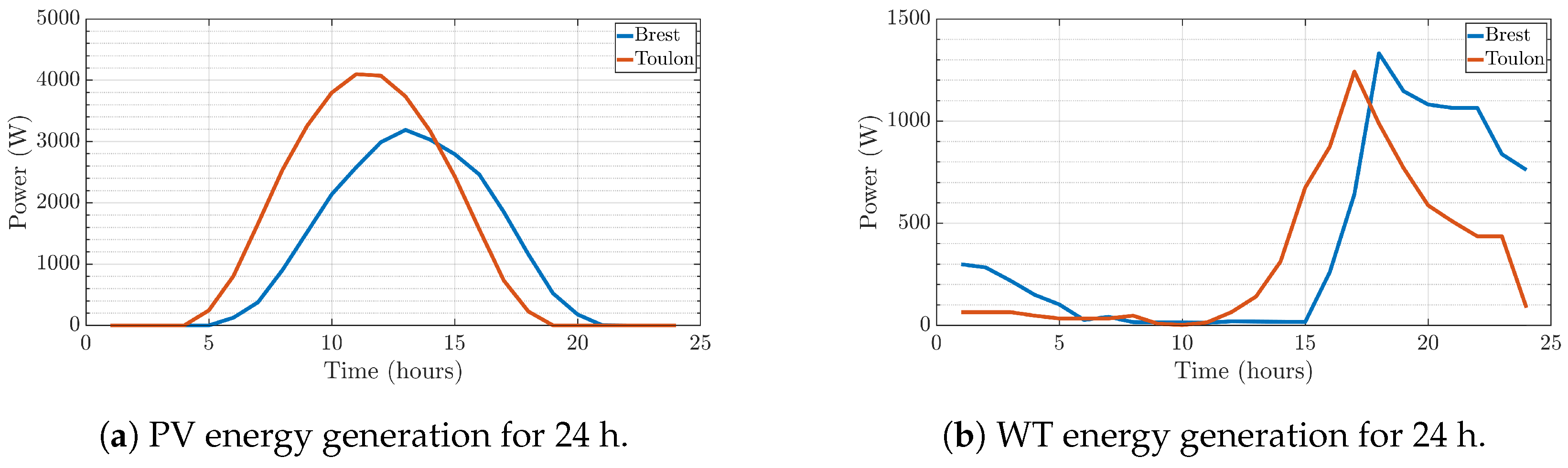
- The evolution of renewable powers during a day: and ;
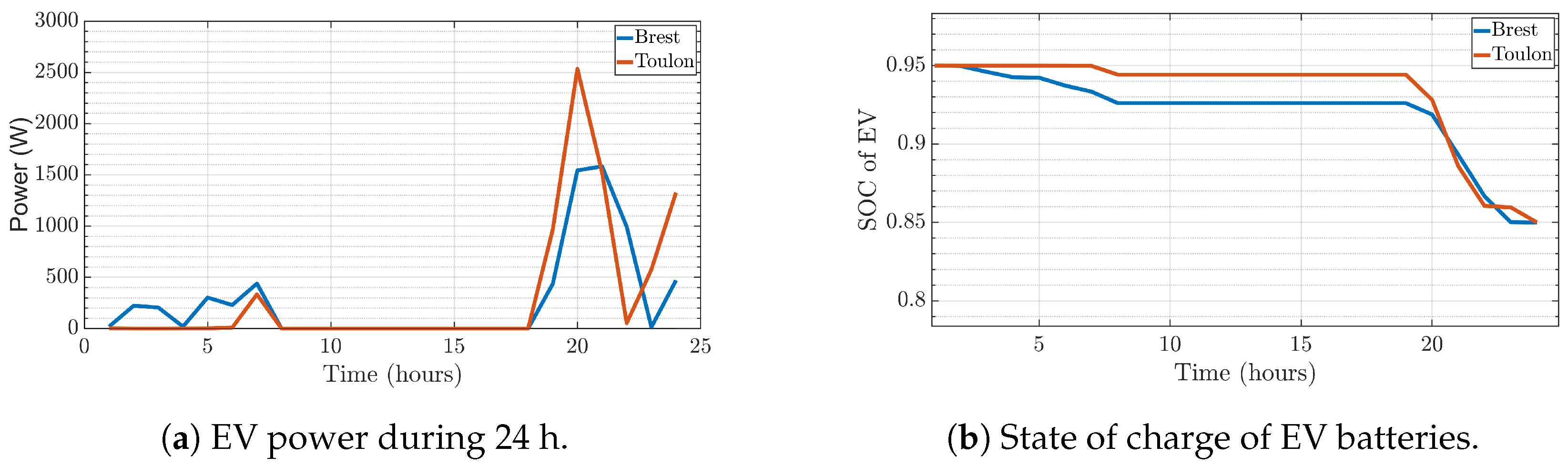
- Vehicle charging and discharging powers: and .
- x: Decision variables;
- : Linear inequality constraints;
- : Linear equality constraints;
- : Non-linear inequality constraints;
- : Non-linear equality constraints.
- Case study 1: Numerical studies for a grid-connected renewables-based MG without EV integration for Brest and Toulon;
- Case study 2: Numerical studies for a grid-connected renewables-based MG with EV integration for Brest and Toulon.
4.1. Optimization Input Data
4.2. Simulation Results for Home MG without EV Integration
4.3. Simulation Results for a Home MG with EV Integration
4.4. Discussion
5. Conclusions and Perspectives
Author Contributions
Funding
Conflicts of Interest
Nomenclature
| Irradiance of the day W/m | |
| Installed PV power (computed considering maximum irradiance) | |
| Power produced by PV at time t | |
| Installed wind power (computed considering maximum wind speed) | |
| Power produced by WT at time t | |
| Battery discharge power at time t | |
| Battery charging power at time t | |
| Power supplied by the grid at time t | |
| Power sent to the grid at time t | |
| Grid power at time t at for the ith year | |
| Electric Vehicle discharge power at time t | |
| Electric Vehicle charging power at time t | |
| Maximum discharge power of the battery | |
| Maximum charging power of the battery | |
| Maximum power supplied by the grid | |
| Maximum power sent to the grid | |
| Capacity of the installed battery (J) | |
| Capacity of the electric vehicle (J) | |
| Battery state of charge at time t | |
| Electric Vehicle state of charge at time t | |
| Battery depth of discharge | |
| Electric vehicle depth of discharge | |
| PV surface m | |
| Surface limit of the PV | |
| Radius of the wind turbine | |
| Radius limit of the WT | |
| Battery charging efficiency | |
| Battery discharging efficiency | |
| Electric vehicle charging efficiency | |
| Electric vehicle discharging efficiency | |
| PV efficiency | |
| Air density | |
| Power coefficient | |
| Wind velocity (m/s) | |
| Power application time (1 h) | |
| Total PV investment, maintenance, and operating costs in €/kW | |
| Total wind turbine investment, maintenance, and operating costs in €/kW | |
| Total batteries investment, maintenance, and operating costs in in €/kWh | |
| Cost of energy purchased from the grid in €/kWh | |
| ESS | Energy storage system |
| MG | Microgrid |
| PV | Photovoltaic |
| WT | WInd turbine |
| Vehicle to home | |
| Vehicle to grid | |
| RER | Renewable energy resources |
| SOC | State of charge |
| DOD | Depth of charge |
References
- Tan, K.M.; Ramachandaramurthy, V.K.; Yong, J.Y. Integration of electric vehicles in smart grid: A review on vehicle to grid technologies and optimization techniques. Renew. Sustain. Energy Rev. 2016, 53, 720–732. [Google Scholar] [CrossRef]
- Zeng, X.; Li, M.; Abd El-Hady, D.; Alshitari, W.; Al-Bogami, A.S.; Lu, J.; Amine, K. Commercialization of lithium battery technologies for electric vehicles. Adv. Energy Mater. 2019, 9, 1900161. [Google Scholar] [CrossRef]
- Sharma, A.; Sharma, S. Review of power electronics in vehicle-to-grid systems. J. Energy Storage 2019, 21, 337–361. [Google Scholar] [CrossRef]
- Ouramdane, O.; Elbouchikhi, E.; Amirat, Y.; Gooya, E.S. Optimal Sizing and Energy Management of Microgrids with Vehicle-to-Grid Technology: A Critical Review and Future Trends. Energies 2021, 14, 4166. [Google Scholar] [CrossRef]
- Corchero, C.; Cruz-Zambrano, M.; Heredia, F.J. Optimal energy management for a residential microgrid including a vehicle-to-grid system. IEEE Trans. Smart Grid 2014, 5, 2163–2172. [Google Scholar]
- Borge-Diez, D.; Icaza, D.; Açıkkalp, E.; Amaris, H. Combined vehicle to building (V2B) and vehicle to home (V2H) strategy to increase electric vehicle market share. Energy 2021, 237, 121608. [Google Scholar] [CrossRef]
- Kataoka, R.; Shichi, A.; Yamada, H.; Iwafune, Y.; Ogimoto, K. Comparison of the economic and environmental performance of V2H and residential stationary battery: Development of a multi-objective optimization method for homes of EV owners. World Electr. Veh. J. 2019, 10, 78. [Google Scholar] [CrossRef] [Green Version]
- Khaligh, A.; Li, Z. Battery, ultracapacitor, fuel cell, and hybrid energy storage systems for electric, hybrid electric, fuel cell, and plug-in hybrid electric vehicles: State of the art. IEEE Trans. Veh. Technol. 2010, 59, 2806–2814. [Google Scholar] [CrossRef]
- Chan, C.C.; Bouscayrol, A.; Chen, K. Electric, hybrid, and fuel-cell vehicles: Architectures and modeling. IEEE Trans. Veh. Technol. 2009, 59, 589–598. [Google Scholar] [CrossRef]
- Mwasilu, F.; Justo, J.J.; Kim, E.K.; Do, T.D.; Jung, J.W. Electric vehicles and smart grid interaction: A review on vehicle to grid and renewable energy sources integration. Renew. Sustain. Energy Rev. 2014, 34, 501–516. [Google Scholar] [CrossRef]
- Yilmaz, M.; Krein, P.T. Review of the impact of vehicle-to-grid technologies on distribution systems and utility interfaces. IEEE Trans. Power Electron. 2012, 28, 5673–5689. [Google Scholar] [CrossRef]
- Gope, P.; Sikdar, B. An efficient privacy-preserving authentication scheme for energy internet-based vehicle-to-grid communication. IEEE Trans. Smart Grid 2019, 10, 6607–6618. [Google Scholar] [CrossRef]
- Farzin, H.; Fotuhi-Firuzabad, M.; Moeini-Aghtaie, M. A practical scheme to involve degradation cost of lithium-ion batteries in vehicle-to-grid applications. IEEE Trans. Sustain. Energy 2016, 7, 1730–1738. [Google Scholar] [CrossRef]
- Liu, H.; Huang, K.; Yang, Y.; Wei, H.; Ma, S. Real-time vehicle-to-grid control for frequency regulation with high frequency regulating signal. Prot. Control Mod. Power Syst. 2018, 3, 13. [Google Scholar] [CrossRef]
- Colmenar-Santos, A.; Muñoz-Gómez, A.M.; Rosales-Asensio, E.; López-Rey, Á. Electric vehicle charging strategy to support renewable energy sources in Europe 2050 low-carbon scenario. Energy 2019, 183, 61–74. [Google Scholar] [CrossRef]
- Gao, F.; Zhu, L.; Shen, M.; Sharif, K.; Wan, Z.; Ren, K. A blockchain-based privacy-preserving payment mechanism for vehicle-to-grid networks. IEEE Netw. 2018, 32, 184–192. [Google Scholar] [CrossRef]
- Mehrjerdi, H.; Rakhshani, E. Vehicle-to-grid technology for cost reduction and uncertainty management integrated with solar power. J. Clean. Prod. 2019, 229, 463–469. [Google Scholar] [CrossRef]
- Quddus, M.A.; Kabli, M.; Marufuzzaman, M. Modeling electric vehicle charging station expansion with an integration of renewable energy and Vehicle-to-Grid sources. Transp. Res. Part E Logist. Transp. Rev. 2019, 128, 251–279. [Google Scholar] [CrossRef]
- Alirezaei, M.; Noori, M.; Tatari, O. Getting to net zero energy building: Investigating the role of vehicle to home technology. Energy Build. 2016, 130, 465–476. [Google Scholar] [CrossRef]
- Staudt, P.; Schmidt, M.; Gärttner, J.; Weinhardt, C. A decentralized approach towards resolving transmission grid congestion in Germany using vehicle-to-grid technology. Appl. Energy 2018, 230, 1435–1446. [Google Scholar] [CrossRef]
- Amamra, S.A.; Marco, J. Vehicle-to-grid aggregator to support power grid and reduce electric vehicle charging cost. IEEE Access 2019, 7, 178528–178538. [Google Scholar] [CrossRef]
- Monteiro, V.; Exposto, B.; Ferreira, J.C.; Afonso, J.L. Improved vehicle-to-home (iV2H) operation mode: Experimental analysis of the electric vehicle as off-line UPS. IEEE Trans. Smart Grid 2016, 8, 2702–2711. [Google Scholar] [CrossRef]
- Mehrjerdi, H. Resilience oriented vehicle-to-home operation based on battery swapping mechanism. Energy 2021, 218, 119528. [Google Scholar] [CrossRef]
- Zeynali, S.; Rostami, N.; Ahmadian, A.; Elkamel, A. Two-stage stochastic home energy management strategy considering electric vehicle and battery energy storage system: An ANN-based scenario generation methodology. Sustain. Energy Technol. Assess. 2020, 39, 100722. [Google Scholar] [CrossRef]
- von Bonin, M.; Dörre, E.; Al-Khzouz, H.; Braun, M.; Zhou, X. Impact of Dynamic Electricity Tariff and Home PV System Incentives on Electric Vehicle Charging Behavior: Study on Potential Grid Implications and Economic Effects for Households. Energies 2022, 15, 1079. [Google Scholar] [CrossRef]
- Lee, S.; Choi, D.H. Energy management of smart home with home appliances, energy storage system and electric vehicle: A hierarchical deep reinforcement learning approach. Sensors 2020, 20, 2157. [Google Scholar] [CrossRef] [Green Version]
- Turker, H.; Bacha, S. Optimal minimization of plug-in electric vehicle charging cost with vehicle-to-home and vehicle-to-grid concepts. IEEE Trans. Veh. Technol. 2018, 67, 10281–10292. [Google Scholar] [CrossRef]
- Sausen, J.P.; Binelo, M.d.F.B.; Campos, M.; Sausen, A.Z.R.; Sausen, P.S. Economic feasibility study of using an electric vehicle and photovoltaic microgeneration in a smart home. IEEE Lat. Am. Trans. 2018, 16, 1907–1913. [Google Scholar] [CrossRef]
- Hou, X.; Wang, J.; Huang, T.; Wang, T.; Wang, P. Smart home energy management optimization method considering energy storage and electric vehicle. IEEE Access 2019, 7, 144010–144020. [Google Scholar] [CrossRef]
- Bull, S.R. Renewable energy today and tomorrow. Proc. IEEE 2001, 89, 1216–1226. [Google Scholar] [CrossRef]
- Ota, Y.; Taniguchi, H.; Nakajima, T.; Liyanage, K.M.; Baba, J.; Yokoyama, A. Autonomous distributed V2G (vehicle-to-grid) satisfying scheduled charging. IEEE Trans. Smart Grid 2011, 3, 559–564. [Google Scholar] [CrossRef]
- Roos, C.; Terlaky, T.; Vial, J.P. Interior Point Methods for Linear Optimization; Springer: Berlin/Heidelberg, Germany, 2005. [Google Scholar]
- Hazem Mohammed, O.; Amirat, Y.; Benbouzid, M. Economical evaluation and optimal energy management of a stand-alone hybrid energy system handling in genetic algorithm strategies. Electronics 2018, 7, 233. [Google Scholar] [CrossRef] [Green Version]
- European Commission. Photovoltaic Geographical Information System. Available online: https://re.jrc.ec.europa.eu/pvg_tools/en/tools.html#PVP (accessed on 4 April 2022).
- EDF. Open Data Wind Measurements—île de Sein. Available online: https://opendata-iles-ponant.edf.fr/explore/dataset/mesures-de-vent-ile-de-sein/information/?sort=date_heure (accessed on 4 April 2022).
- Liu, H.; Wang, B.; Wang, N.; Wu, Q.; Yang, Y.; Wei, H.; Li, C. Enabling strategies of electric vehicles for under frequency load shedding. Appl. Energy 2018, 228, 843–851. [Google Scholar] [CrossRef]












| Solar Panels (€/kW) | Battery ESS (€/kWh) | Wind Turbine (€/kW) | Grid Energy Price (€/kWh) | |
|---|---|---|---|---|
| Investment cost | On-peak periods: | |||
| Maintenance and operating costs | Off-peak periods: |
| Variables | (MJ) | (m) | |||||||
|---|---|---|---|---|---|---|---|---|---|
| Bounds | 100 | 2500 | 1000 | 30 | 2 |
| PV Power (kW) | PV Surface (m) | Wind Turbine Power (kW) | Wind Turbine Radius (m) | Battery Energy (kWh) | |
|---|---|---|---|---|---|
| Brest | |||||
| Toulon |
| Total Energy Consumption (MWh) | Cost without RER (€) | Local Generation (MWh) | Investment Cost (€) | Grid Energy (MWh) | Grid Energy Cost (€) | Battery Energy (MWh) | Total Cost (€) | Achieved Autonomy (%) | |
|---|---|---|---|---|---|---|---|---|---|
| Brest | 377.24 | 70,703 | 322.89 | 28,152 | 92.2 | 12,296 | 50.771 | 40,449 | 75.56 |
| Toulon | 377.24 | 70,703 | 272.19 | 27,424 | 126.95 | 18,680 | 98.984 | 46,105 | 66.35 |
| PV Power (kW) | PV Surface (m) | Wind Turbine Power (kW) | Wind Turbine Radius (m) | Battery Energy (kWh) | |
|---|---|---|---|---|---|
| Brest | |||||
| Toulon | 29 |
| Total Energy Consumption (MWh) | Cost without RER (€) | Local Generation (MWh) | Investment Cost (€) | Grid Energy (MWh) | Grid Energy Cost (€) | Battery Energy (MWh) | EV Energy (MWh) | Total Cost (€) | Achieved Autonomy (%) | |
|---|---|---|---|---|---|---|---|---|---|---|
| Brest | 70,703 | 21,880 | 13,182 | 57.642 | 35,063 | |||||
| Toulon | 70,703 | 29,476 | 9350 | 95.126 | 38,827 |
| MG without EV | MG with EV | |
|---|---|---|
| Brest |
|
|
| Toulon |
|
|
Publisher’s Note: MDPI stays neutral with regard to jurisdictional claims in published maps and institutional affiliations. |
© 2022 by the authors. Licensee MDPI, Basel, Switzerland. This article is an open access article distributed under the terms and conditions of the Creative Commons Attribution (CC BY) license (https://creativecommons.org/licenses/by/4.0/).
Share and Cite
Ouramdane, O.; Elbouchikhi, E.; Amirat, Y.; Le Gall, F.; Sedgh Gooya, E. Home Energy Management Considering Renewable Resources, Energy Storage, and an Electric Vehicle as a Backup. Energies 2022, 15, 2830. https://doi.org/10.3390/en15082830
Ouramdane O, Elbouchikhi E, Amirat Y, Le Gall F, Sedgh Gooya E. Home Energy Management Considering Renewable Resources, Energy Storage, and an Electric Vehicle as a Backup. Energies. 2022; 15(8):2830. https://doi.org/10.3390/en15082830
Chicago/Turabian StyleOuramdane, Oussama, Elhoussin Elbouchikhi, Yassine Amirat, Franck Le Gall, and Ehsan Sedgh Gooya. 2022. "Home Energy Management Considering Renewable Resources, Energy Storage, and an Electric Vehicle as a Backup" Energies 15, no. 8: 2830. https://doi.org/10.3390/en15082830
APA StyleOuramdane, O., Elbouchikhi, E., Amirat, Y., Le Gall, F., & Sedgh Gooya, E. (2022). Home Energy Management Considering Renewable Resources, Energy Storage, and an Electric Vehicle as a Backup. Energies, 15(8), 2830. https://doi.org/10.3390/en15082830

