Coupled Electrohydrodynamic and Thermocapillary Instability of Multi-Phase Flows Using an Incompressible Smoothed Particle Hydrodynamics Method
Abstract
:1. Introduction
2. Governing Equations
2.1. Continuity Equation
2.2. Momentum Equation
2.3. Conservation of Energy
2.4. Boundary Conditions
3. Smoothed Particle Hydrodynamics (SPH) Method
3.1. Mathematical Formulation of SPH
3.2. Application of the SPH to the Governing Equations
3.3. Pressure Calculation and Temporal Discretization
4. Results and Discussion
5. Conclusions
- After independently validating the effect of thermocapillary (TC) and electrohydrodynamic (EHD) forces on two-phase flows, the coupled EHD-TC effects on a single droplet migration is studied.
- The two-phase system is analysed first at each isolated condition through which multiple field parameters such as system’s velocity and pressure are validated.
- The behaviour of the droplet subject to EHD forces and TC phenomena is characterized using the deformation values for different material properties.
- By choosing the appropriate ratios of electrical permitivity, electrical conductivity, thermal gradient and electric potential gradient, it is now possible to use simulations to predict and control the migration and deformation of a droplet using SPH method.
- The results show strong agreement with previous literature. Simulation results for a single droplet subject to direct current electric field and Marangoni flow induced by thermal gradient in the absence of gravity reveal an insight to the evolution of the droplet migration and deformation.
- Results show that the main parameters that influence the droplet topology include the and corresponding to electrical permitivitty and electrical conductivity, respectively as well as the orientation of the applied electric field with respect to thermal gradient.
- For and thermal and electric gradient applied both in the vertical direction, a prolate deformation of the droplet is observed.
- Having and an electric field perpendicular to the thermal gradient results in symmetric and oblate deformation of the droplet while displacing the droplet in the opposing direction of the thermal gradient.
- The investigation of the droplet break-up process under the coupled effect of the thermal and electric field demonstrates that in the case of with both electric and thermal gradients applied vertically, the droplet’s topology evolves towards a break-up state.
- Nevertheless, the different time-scales of each phenomenon motivates further researches to provide better understanding of EHD-TC instabilities where gravity effects are neglected.
- Regarding the limitations of this research work, it is worth mentioning that despite having some similarities with topics such as EHD Heat transfer enhancement, it is yet to be found sufficiently related numerical or experimental studies with the close physics, dimensions and parameters to compare with. The approach that we decided to choose is to validate our model extensively, using available related recent studies, and propose our solution to a novel coupled multi-physics problem which we believe is valid based on the validated components. We expect that new experimental and numerical studies emerge to discuss this configuration following to the pioneer appearance of this work.
- For future works, we believe that uncertainty quantification and reliability analysis of this model can be subject of future directions. In that scope, a meta-model is used to couple the mechanical and probabilistic models.
- In this study, given that the foundations of the mathematical model, in its general form, to explain the contribution of each force and the general mechanism affecting the deformation of the droplet are established in this work, the parametric and sensitivity analysis can be subject of further studies.
Author Contributions
Funding
Acknowledgments
Conflicts of Interest
Nomenclature
| Curvature | |
| Thermal diffusivity () | |
| Dynamic viscosity () | |
| Surface tension () | |
| R | Initial droplet radius (m) |
| Electric force (N) | |
| g | Gravity acceleration () |
| Specific heat capacity at constant pressure ( K) | |
| Density () | |
| Electric permittivity () | |
| Electric conductivity () | |
| p | Static pressure () |
| T | Temperature (K) |
| Maxwell stress tensor | |
| Marangoni number | |
| v | Local average fluid velocity |
| Stress tensor | |
| Free electric charge density () | |
| Domain of integration of the kernel function | |
| Dirac-delta function | |
| Normalisation constant of the kernel function | |
| Kernel function | |
| h | Smoothing length of the kernel function |
| Volume of the particle i | |
| Inter-particle average of the electric potential | |
| Thermal conductivity (W/m K) | |
| Characteristic length (m) | |
| Bulk relaxation time (s) | |
| Electrical conductivity of the droplet to bulk ratio | |
| Electric field vector magnitude () set to be unless stated otherwise | |
| Electrical permittivity of the droplet to bulk ratio | |
| Electric potential across the domain | |
| U | Characteristic velocity |
| + | High-electric potential |
| − | Low-electric potential |
| b | Bulk conditions |
| d | Droplet conditions |
| v | viscous stress |
| c | capillary stress |
| Reference conditions | |
| T | Gradient with respect to temperature |
| * | Dimensionless quantity |
| H | Hot conditions |
| C | Cold conditions |
| Tangential component |
References
- Eow, J.; Ghadiri, M.; Sharif, A.; Williams, T. Electrostatic enhancement of coalescence of water droplets in oil: A review of the current understanding. Chem. Eng. J. 2001, 84, 173–192. [Google Scholar] [CrossRef]
- Zolfaghari, R.; FakhrulRazi, A.; Luqman Chuah, A.; Elnashaie, S.S.; Pendashteh, A. Demulsification techniques of water-in-oil and oil-in-water emulsions in petroleum industry. Sep. Purif. Technol. 2016, 170, 377–407. [Google Scholar] [CrossRef]
- Yue, X.; Li, Z.; Zhang, T.; Yang, D.; Qiu, F. Design and fabrication of superwetting fiber-based membranes for oil/water separation applications. Chem. Eng. J. 2019, 364, 292–309. [Google Scholar] [CrossRef]
- Das, R.; Cleary, P. Three-dimensional modelling of coupled flow dynamics, heat transfer and residual stress generation in arc welding processes using the mesh-free SPH method. J. Comput. Sci. 2016, 16, 200–216. [Google Scholar] [CrossRef]
- Brennen, C.E. Fundamentals of Multiphase Flow; Cambridge University Press: Cambridge, UK, 2005; ISBN 9780511807169. [Google Scholar] [CrossRef] [Green Version]
- Necati, O.M.; Orlande, H.R.B.; Colaco, M.J.; Cotta, R.M. Finite Difference Methods in Heat Transfer; Taylor and Francis, Chemical Rubber Company (CRC) Press: Boca Raton, FL, USA, 2017. [Google Scholar]
- Lewis, R.W.; Schrefler, B.A. The Finite Element Method in the Deformation and Consolidation of Porous Media; Wiley: Hoboken, NJ, USA, 2000. [Google Scholar]
- Moukalled, F.; Mangani, L.; Darwish, M. The Finite Volume Method in Computational Fluid Dynamics: An Advanced Introduction with OpenFOAM® and Matlab®; Springer: Berlin/Heidelberg, Germany, 2016; Volume 113, 791p. [Google Scholar]
- Sethian, J.A.; Smereka, P. Level Set Methods for Fluid Interfaces. Annu. Rev. Fluid Mech. 2003, 35, 341–372. [Google Scholar] [CrossRef] [Green Version]
- Subramaniam, S. Lagrangian-Eulerian methods for multiphase flows. Prog. Energy Combust. Sci. 2013, 39, 215–245. [Google Scholar] [CrossRef] [Green Version]
- Besagni, G.; Inzoli, F.; Ziegenhein, T. Two-Phase Bubble Columns: A Comprehensive Review. ChemEngineering 2018, 2, 13. [Google Scholar] [CrossRef] [Green Version]
- Ishii, M. Thermo-Fluid Dynamic Theory of Two-Phase Flow; Eyrolles: Paris, France, 1975. [Google Scholar]
- Li, S.; Liu, W.K. Meshfree and particle methods and their applications. Appl. Mech. Rev. 2002, 55, 1–34. [Google Scholar] [CrossRef]
- P Fries, T.; G Matthies, H. Classification and Overview of Meshfree Methods; Technical University Braunschweig: Brunswick, Germany, 2003. [Google Scholar]
- Shadloo, M.; Oger, G.; Touzé, D.L. Smoothed particle hydrodynamics method for fluid flows, towards industrial applications: Motivations, current state, and challenges. Comput. Fluids 2016, 136, 11–34. [Google Scholar] [CrossRef]
- Nazaripoor, H. Electrohydrodynamic and Thermocapillary Instability of Thin Liquid Films. Ph.D. Thesis, University of Alberta, Edmonton, AB, Canada, 2016. [Google Scholar]
- Corbett, A.; Kumar, S. Combined thermal and electrohydrodynamic patterning of thin liquid films. J. Eng. Math. 2015, 94, 81–96. [Google Scholar] [CrossRef]
- Lau, C.Y.; Russel, W.B. Fundamental Limitations on Ordered Electrohydrodynamic Patterning. Macromolecules 2011, 44, 7746–7751. [Google Scholar] [CrossRef]
- Hopp-Hirschler, M.; Shadloo, M.S.; Nieken, U. A Smoothed Particle Hydrodynamics approach for thermo-capillary flows. Comput. Fluids 2018, 176, 1–19. [Google Scholar] [CrossRef]
- Brackbill, J.; Kothe, D.; Zemach, C. A continuum method for modeling surface tension. J. Comput. Phys. 1992, 100, 335–354. [Google Scholar] [CrossRef]
- Saville, D.A. Electrohydrodynamics: The Taylor-Melcher Leaky Dielectric Model. Annu. Rev. Fluid Mech. 1997, 29, 27–64. [Google Scholar] [CrossRef]
- Taylor, G. Electrically Driven Jets. Proc. R. Soc. Lond. Ser. A Math. Phys. Sci. 1969, 313, 453–475. [Google Scholar]
- Shadloo, M.S. Improved Multiphase Smoothed Particle Hydrodynamics. Ph.D. Thesis, Sabanci University, Tuzla, Bosnia and Herzegovina, 2013. [Google Scholar]
- Cummins, S.J.; Rudman, M. An SPH Projection Method. J. Comput. Phys. 1999, 152, 584–607. [Google Scholar] [CrossRef]
- Szewc, K.; Pozorski, J.; Minier, J.P. Analysis of the incompressibility constraint in the smoothed particle hydrodynamics method. Int. J. Numer. Methods Eng. 2012, 92, 343–369. [Google Scholar] [CrossRef] [Green Version]
- Hirschler, M.; Kunz, P.; Huber, M.; Hahn, F.; Nieken, U. Open boundary conditions for ISPH and their application to micro-flow. J. Comput. Phys. 2016, 307, 614–633. [Google Scholar] [CrossRef]
- Gingold, R.A.; Monaghan, J.J. Smoothed particle hydrodynamics: Theory and application to non-spherical stars. Mon. Not. R. Astron. Soc. 1977, 181, 375–389. [Google Scholar] [CrossRef]
- Lucy, L.B. A numerical approach to the testing of the fission hypothesis. Astron. J. 1977, 82, 1013–1024. [Google Scholar] [CrossRef]
- Ye, T.; Pan, D.; Huang, C.; Liu, M. Smoothed particle hydrodynamics (SPH) for complex fluid flows: Recent developments in methodology and applications. Phys. Fluids 2019, 31, 011301. [Google Scholar] [CrossRef]
- Monaghan, J.J. Smoothed Particle Hydrodynamics. Annu. Rev. Astron. Astrophys. 1992, 30, 543–574. [Google Scholar] [CrossRef]
- Wendland, H. Piecewise polynomial, positive definite and compactly supported radial functions of minimal degree. Adv. Comput. Math. 1995, 4, 389–396. [Google Scholar] [CrossRef]
- Shadloo, M.S.; Zainali, A.; Yildiz, M.; Suleman, A. A robust weakly compressible SPH method and its comparison with an incompressible SPH. Int. J. Numer. Methods Eng. 2012, 89, 939–956. [Google Scholar] [CrossRef]
- Almasi, F.; Shadloo, M.; Hadjadj, A.; Ozbulut, M.; Tofighi, N.; Yildiz, M. Numerical simulations of multi-phase electro-hydrodynamics flows using a simple incompressible smoothed particle hydrodynamics method. Comput. Math. Appl. 2019, 81, 772–785. [Google Scholar] [CrossRef]
- Monaghan, J.J. Smoothed particle hydrodynamics. Rep. Prog. Phys. 2005, 68, 1703–1759. [Google Scholar] [CrossRef]
- Hu, X.; Adams, N. A multi-phase SPH method for macroscopic and mesoscopic flows. J. Comput. Phys. 2006, 213, 844–861. [Google Scholar] [CrossRef]
- Kim, J.; Moin, P. Application of a fractional-step method to incompressible Navier–Stokes equations. J. Comput. Phys. 1985, 59, 308–323. [Google Scholar] [CrossRef]
- Morris, J.P.; Fox, P.J.; Zhu, Y. Modeling low Reynolds number incompressible flows using SPH. J. Comput. Phys. 1997, 136, 214–226. [Google Scholar] [CrossRef]
- Hu, X.; Adams, N. An incompressible multi-phase SPH method. J. Comput. Phys. 2007, 227, 264–278. [Google Scholar] [CrossRef]
- Hosseini, S.M.; Feng, J.J. Pressure boundary conditions for computing incompressible flows with SPH. J. Comput. Phys. 2011, 230, 7473–7487. [Google Scholar] [CrossRef]
- Tong, M.; Browne, D.J. An incompressible multi-phase smoothed particle hydrodynamics (SPH) method for modelling thermocapillary flow. Int. J. Heat Mass Transf. 2014, 73, 284–292. [Google Scholar] [CrossRef]
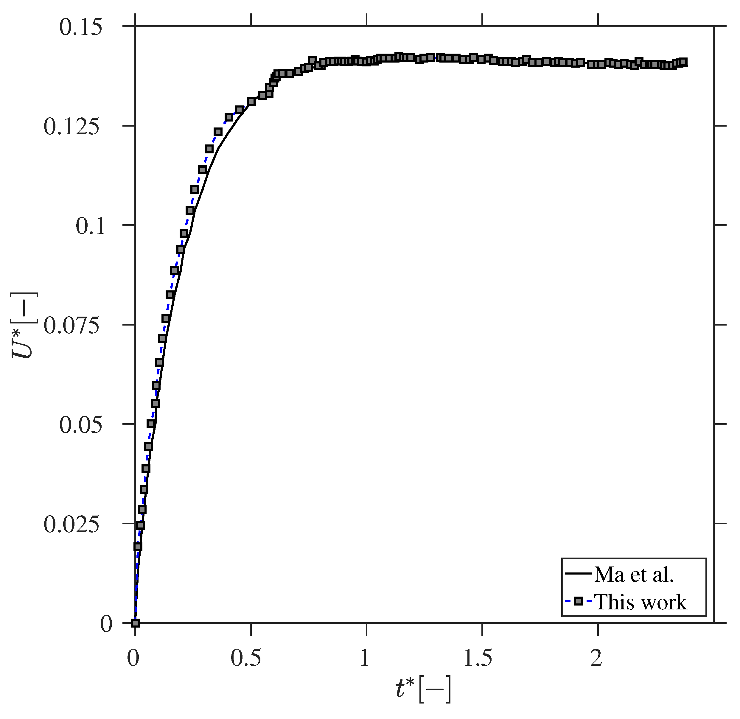
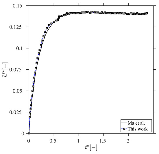
- Ma, C.; Bothe, D. Direct numerical simulation of thermocapillary flow based on the Volume of Fluid method. Int. J. Multiph. Flow 2011, 37, 1045–1058. [Google Scholar] [CrossRef]
- Taylor, G.I.; McEwan, A.D.; de Jong, L.N.J. Studies in electrohydrodynamics. I. The circulation produced in a drop by an electric field. Proc. R. Soc. Lond. Ser. A Math. Phys. Sci. 1966, 291, 159–166. [Google Scholar] [CrossRef]
- Shadloo, M.S.; Rahmat, A.; Yildiz, M. A smoothed particle hydrodynamics study on the electrohydrodynamic deformation of a droplet suspended in a neutrally buoyant Newtonian fluid. Comput. Mech. 2013, 52, 693–707. [Google Scholar] [CrossRef]
- Feng, J.Q. Electrohydrodynamic behaviour of a drop subjected to a steady uniform electric field at finite electric Reynolds number. Proc. R. Soc. Lond. Ser. A Math. Phys. Eng. Sci. 1999, 455, 2245–2269. [Google Scholar] [CrossRef]








| Mesh Resolution | Absolute Value of Norm | Maximum Norm |
|---|---|---|
| 60 | 0.049 | 0.937 |
| 100 | 0.044 | 0.854 |
| 140 | 0.025 | 0.821 |
| Particle Spacing [m] | Numerical Result [N] | Analytical Solution [N] | Relative Error Percentage |
|---|---|---|---|
| 45 | 0.394421 | 0.4 | 0.013947 |
| 90 | 0.394411 | 0.4 | 0.013971 |
| 180 | 0.394425 | 0.4 | 0.013975 |
| Case | [F/m] | [S/m] | S | R | [N/m] |
|---|---|---|---|---|---|
| 0.3 | 40 | 0.5 | 2 | 0.01 | |
| 00.5 | 40 | 0.5 | 2 | 0.01 | |
| 0.5 | 150 | 0.5 | 3 | 0.01 | |
| 0.5 | 1 | 0.5 | 0.05 | 0.01 | |
| 3 | 10 | 5 | 0.5 | 0.03 |
| Case | Bubble Shape | |||
|---|---|---|---|---|
| 0.077 | 0.065 | 0.061 | ![]() | |
| 0.121 | 0.109 | 0.101 | ![]() | |
| 0.157 | 0.143 | 0.119 | ![]() | |
| −0.040 | −0.045 | −0.063 | ![]() | |
| −0.097 | −0.139 | −0.196 | ![]() |
| Case | Electric Field Direction | [F/m] | [S/m] | [F/m] | [S/m] |
|---|---|---|---|---|---|
| 1 | V | 1 | 50 | 0.5 | 150 |
| 2 | H | 1 | 50 | 0.5 | 150 |
| 3 | V | 0.5 | 150 | 1 | 50 |
Publisher’s Note: MDPI stays neutral with regard to jurisdictional claims in published maps and institutional affiliations. |
© 2022 by the authors. Licensee MDPI, Basel, Switzerland. This article is an open access article distributed under the terms and conditions of the Creative Commons Attribution (CC BY) license (https://creativecommons.org/licenses/by/4.0/).
Share and Cite
Almasi, F.; Hopp-Hirschler, M.; Hadjadj, A.; Nieken, U.; Safdari Shadloo, M. Coupled Electrohydrodynamic and Thermocapillary Instability of Multi-Phase Flows Using an Incompressible Smoothed Particle Hydrodynamics Method. Energies 2022, 15, 2576. https://doi.org/10.3390/en15072576
Almasi F, Hopp-Hirschler M, Hadjadj A, Nieken U, Safdari Shadloo M. Coupled Electrohydrodynamic and Thermocapillary Instability of Multi-Phase Flows Using an Incompressible Smoothed Particle Hydrodynamics Method. Energies. 2022; 15(7):2576. https://doi.org/10.3390/en15072576
Chicago/Turabian StyleAlmasi, Fatemeh, Manuel Hopp-Hirschler, Abdellah Hadjadj, Ulrich Nieken, and Mostafa Safdari Shadloo. 2022. "Coupled Electrohydrodynamic and Thermocapillary Instability of Multi-Phase Flows Using an Incompressible Smoothed Particle Hydrodynamics Method" Energies 15, no. 7: 2576. https://doi.org/10.3390/en15072576
APA StyleAlmasi, F., Hopp-Hirschler, M., Hadjadj, A., Nieken, U., & Safdari Shadloo, M. (2022). Coupled Electrohydrodynamic and Thermocapillary Instability of Multi-Phase Flows Using an Incompressible Smoothed Particle Hydrodynamics Method. Energies, 15(7), 2576. https://doi.org/10.3390/en15072576






