Optimal Design of Passive Power Filters Using the MRFO Algorithm and a Practical Harmonic Analysis Approach including Uncertainties in Distribution Networks
Abstract
1. Introduction
1.1. Background
1.2. Literature Survey
1.3. Aim and Contributions
1.4. Paper Organization
2. Optimization Problem Formulation
2.1. Modeling of the System Equivalent and the PPF
2.2. Decision on PPF Optimization Objectives
2.3. Optimization Constraints for PPF Design
3. Brief Description of the Novel Algorithms
3.1. MRFO Algorithm
3.2. GEO Algorithm
3.3. RFO Algorithm
3.4. CSA Algorithm
4. Modeling of the MRFO Algorithm
4.1. Chain Foraging Strategy
4.2. Cyclone Foraging Strategy
4.3. Somersault Foraging Strategy
5. Development of the Proposed MCS-Based Harmonic Analysis Method
Origins of Uncertainties
- Probability distribution functions in which the system variables are defined and represented can be defined by normal distribution (Gaussian distribution), continuous or discrete uniform distribution functions. Thus, parameters such as mean, standard deviation, minimum, maximum, or discrete values should be defined.
- The number of runs or number of samples over which the MCS is performed should also be carefully defined for extensive performance evaluation. The larger the number of runs, the more value combinations are encompassed in the simulation.
6. Results and Discussion
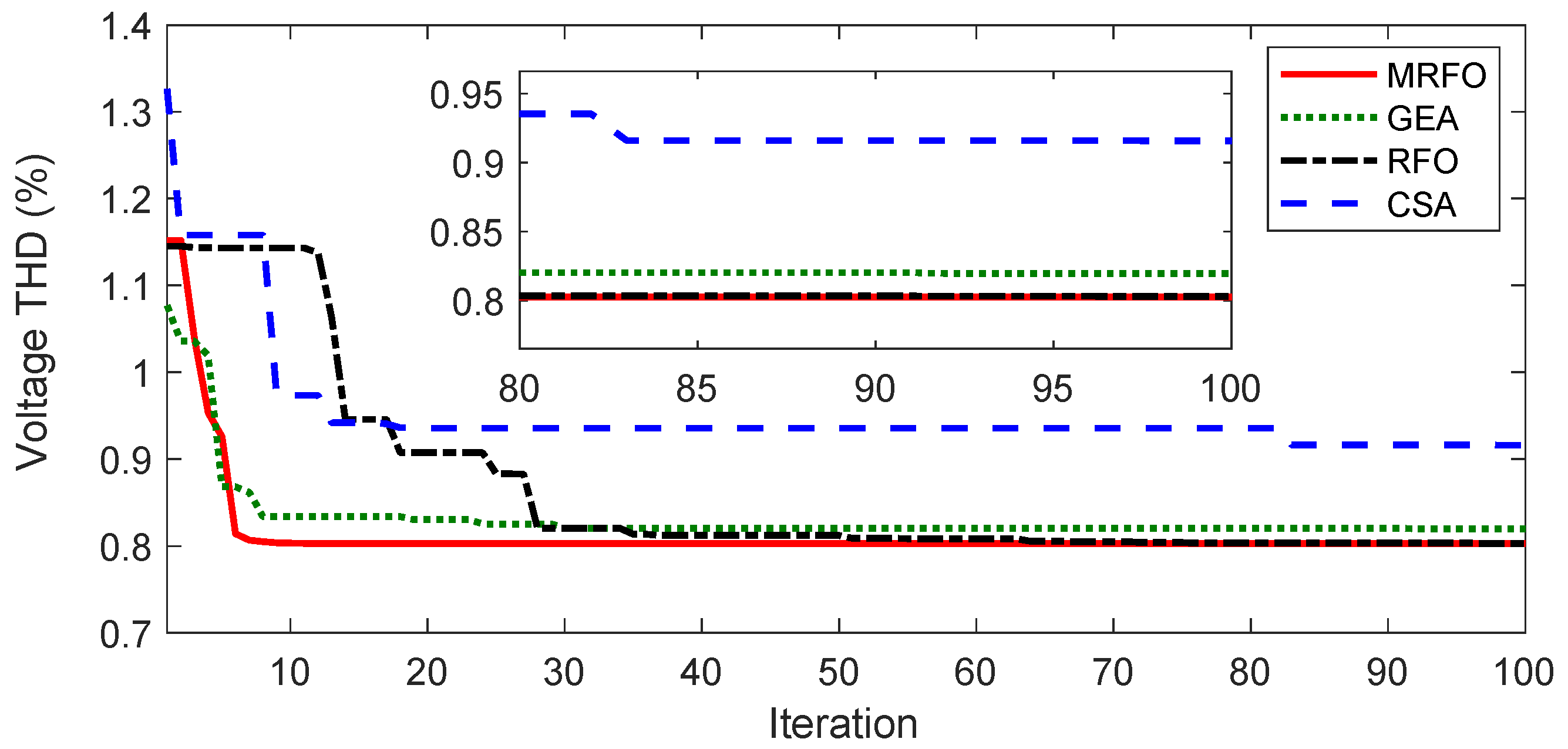
6.1. Algorithms Performance Evaluation
6.2. PPF Performance Analysis including Uncertainties
6.2.1. Handling Uncertainties Using the MCS-Based Method
6.2.2. System Performance Analysis
7. Conclusions
Author Contributions
Funding
Informed Consent Statement
Acknowledgments
Conflicts of Interest
References
- Rezkallah, M.; Chandra, A.; Hamadi, A.; Ibrahim, H.; Ghandour, M. Power quality in smart grids. In Pathways to a Smarter Power System; Elsevier: London, UK, 2019. [Google Scholar]
- Ismael, S.M.; Abdel Aleem, S.H.E.; Abdelaziz, A.Y.; Zobaa, A.F. State-of-the-art of hosting capacity in modern power systems with distributed generation. Renew. Energy 2019, 130, 1002–1020. [Google Scholar] [CrossRef]
- Joseph, T.; Ming, W.; Li, G.; Liang, J.; Moon, A.; Smith, K.; Yu, J. Analysis of harmonic transfer through an MVDC link. In Proceedings of the 15th IET International Conference on AC and DC Power Transmission (ACDC 2019), Coventry, UK, 5–7 February 2019. [Google Scholar]
- Arrillaga, J.; Smith, B.C.; Watson, N.R.; Wood, A.R. Power System Harmonic Analysis; John Wiley & Sons, Ltd.: West Sussex, UK, 1997. [Google Scholar]
- Bajaj, M.; Singh, A.K. Optimal design of passive power filter for enhancing the harmonic-constrained hosting capacity of renewable DG systems. Comput. Electr. Eng. 2021, 97, 107646. [Google Scholar] [CrossRef]
- Wang, Y.; Chen, P.; Yong, J.; Xu, W.; Xu, S.; Liu, K. A Comprehensive Investigation on the Selection of High-Pass Harmonic Filters. IEEE Trans. Power Deliv. 2022, 1. [Google Scholar] [CrossRef]
- Das, J.C. Design and application of a second order high pass damped filter for 8000-hp ID fan drives-a case study. In Proceedings of the 2014 Annual Pulp and Paper Industry Technical Conference, Atlanta, GA, USA, 22–26 June 2014. [Google Scholar]
- Sharaf, A.M.; Fisher, M.E. An optimization based technique for power system harmonic filter design. Electr. Power Syst. Res. 1994, 30, 63–67. [Google Scholar] [CrossRef]
- Verma, V.; Singh, B. Genetic-Algorithm-Based Design of Passive Filters for Offshore Applications. IEEE Trans. Ind. Appl. 2010, 46, 1295–1303. [Google Scholar] [CrossRef]
- Chang, G.; Chu, S.-Y.; Wang, H.-L. A New Method of Passive Harmonic Filter Planning for Controlling Voltage Distortion in a Power System. IEEE Trans. Power Deliv. 2006, 21, 305–312. [Google Scholar] [CrossRef]
- Juan, Z.; Yi-nan, G.; Shu-ying, Z. Optimal design of passive power filters of an asymmetrical system based on genetic algorithm. Procedia Earth Planet. Sci. 2009, 1, 1440–1447. [Google Scholar] [CrossRef][Green Version]
- Melo, I.D.; Pereira, J.L.; Variz, A.M.; Ribeiro, P.F. Allocation and sizing of single tuned passive filters in three-phase distribution systems for power quality improvement. Electr. Power Syst. Res. 2020, 180, 106128. [Google Scholar] [CrossRef]
- JLeite, J.C.; Abril, I.P.; Tostes, M.E.D.L.; De Oliveira, R.C.L. Multi-objective optimization of passive filters in industrial power systems. Electr. Eng. 2017, 99, 387–395. [Google Scholar]
- Wang, Y.; Yin, K.; Liu, H.; Yuan, Y. A Method for Designing and Optimizing the Electrical Parameters of Dynamic Tuning Passive Filter. Symmetry 2021, 13, 1115. [Google Scholar] [CrossRef]
- Milovanović, M.; Radosavljević, J.; Klimenta, D.; Perović, B. GA-based approach for optimal placement and sizing of passive power filters to reduce harmonics in distorted radial distribution systems. Electr. Eng. 2019, 101, 787–803. [Google Scholar] [CrossRef]
- Bajaj, M.; Sharma, N.K.; Pushkarna, M.; Malik, H.; Alotaibi, M.A.; Almutairi, A. Optimal Design of Passive Power Filter Using Multi-Objective Pareto-Based Firefly Algorithm and Analysis Under Background and Load-Side’s Nonlinearity. IEEE Access 2021, 9, 22724–22744. [Google Scholar] [CrossRef]
- Mohamed, I.F.; Aleem, S.H.E.A.; Ibrahim, A.M.; Zobaa, A.F. Optimal Sizing ofC-Type Passive Filters under Non-Sinusoidal Conditions. Energy Technol. Policy 2014, 1, 35–44. [Google Scholar] [CrossRef]
- Aleem, S.H.E.A.; Zobaa, A.; Aziz, M.M.A. Optimal C-type passive filter based on minimization of the voltage harmonic distortion for nonlinear loads. IEEE Trans. Ind. Electron. 2012, 59, 281–289. [Google Scholar] [CrossRef]
- Aleem, S.H.E.A.; Zobaa, A.F.; Balci, M.E.; Ismael, S.M. Harmonic overloading minimization of frequency-dependent components in harmonics polluted distribution systems using harris hawks optimization algorithm. IEEE Access 2019, 7, 100824–100837. [Google Scholar] [CrossRef]
- Aleem, S.H.E.A.; Zobaa, A.F.; Balci, M.E. Optimal resonance-free third-order high-pass filters based on minimization of the total cost of the filters using Crow Search Algorithm. Electr. Power Syst. Res. 2017, 151, 381–394. [Google Scholar] [CrossRef]
- Khattab, N.M.; Aleem, S.H.A.; El’Gharably, A.; Boghdady, T.A.; Turky, R.A.; Ali, Z.M.; Sayed, M.M. A novel design of fourth-order harmonic passive filters for total demand distortion minimization using crow spiral-based search algorithm. Ain Shams Eng. J. 2022, 13, 101632. [Google Scholar] [CrossRef]
- Zeineldin, H.H.; Zobaa, A.F. Particle Swarm Optimization of Passive Filters for Industrial Plants in Distribution Networks. Electr. Power Compon. Syst. 2011, 39, 1795–1808. [Google Scholar] [CrossRef]
- Sharaf, A.M.; El-Gammal, A.A.A. A novel discrete multi-objective particle swarm optimization (MOPSO) of optimal shunt power filter. In Proceedings of the IEEE/PES Power Systems Conference and Exposition, Seattle, WA, USA, 15–18 March 2009. [Google Scholar]
- Chang, Y.-P.; Ko, C.-N. A PSO method with nonlinear time-varying evolution based on neural network for design of optimal harmonic filters. Expert Syst. Appl. 2009, 36, 6809–6816. [Google Scholar] [CrossRef]
- Chang, Y.P.; Low, C.; Wu, C.J. Optimal design of discrete-value passive harmonic filters using sequential neural-network approximation and orthogonal array. IEEE Trans. Power Deliv. 2007, 22, 1813–1821. [Google Scholar] [CrossRef]
- Na, H.; Lina, H.; Jian, W.; Dianguo, X. Study on optimal design method for passive power filters set at high voltage bus considering many practical aspects. In Proceedings of the 23rd Annual IEEE Applied Power Electronics Conference and Exposition, Austin, TX, USA, 24–28 February 2008. [Google Scholar]
- He, N.; Xu, D.; Huang, L. The Application of Particle Swarm Optimization to Passive and Hybrid Active Power Filter Design. IEEE Trans. Ind. Electron. 2009, 56, 2841–2851. [Google Scholar]
- Yang, N.; Le, M. Multi-objective bat algorithm with time-varying inertia weights for optimal design of passive power filters set. IET Gener. Transm. Distrib. 2015, 9, 644–654. [Google Scholar] [CrossRef]
- Ertay, M.M.; Tosun, S.; Zengin, A.; Tosun, S. Simulated annealing based passive power filter design for a medium voltage power system. In Proceedings of the 2012 International Symposium on Innovations in Intelligent Systems and Applications, Trabzon, Turkey, 2–4 July 2012. [Google Scholar]
- Yang, N.-C.; Mehmood, D. Multi-Objective Bee Swarm Optimization Algorithm with Minimum Manhattan Distance for Passive Power Filter Optimization Problems. Mathematics 2022, 10, 133. [Google Scholar] [CrossRef]
- Yang, N.-C.; Liu, S.-W. Multi-Objective Teaching–Learning-Based Optimization with Pareto Front for Optimal Design of Passive Power Filters. Energies 2021, 14, 6408. [Google Scholar] [CrossRef]
- Dehini, R.; Sefiane, S. Power quality and cost improvement by passive power filters synthesis using ant colony algorithm. J. Theor. Appl. Inf. Technol. 2011, 23, 70–79. [Google Scholar]
- Kahar, N.H.A.; Zobaa, A.F. Application of mixed integer distributed ant colony optimization to the design of undamped single-tuned passive filters based harmonics mitigation. Swarm Evol. Comput. 2019, 44, 187–199. [Google Scholar] [CrossRef]
- Sirjani, R.; Kusaf, M. Optimal design of passive harmonic filters using bee colony optimization. In Proceedings of the HONET-ICT, Nicosia, Cyprus, 13–14 October 2016. [Google Scholar]
- Rosyadi, A.; Penangsang, O.; Soeprijanto, A. Optimal filter placement and sizing in radial distribution system using whale optimization algorithm. In Proceedings of the International Seminar on Intelligent Technology and Its Applications (ISITIA), Surabaya, Indonesia, 28–29 August 2017. [Google Scholar]
- Hachemi, G.; Abdelkader, H.; Rachid, D. Optimal sizing of passive filters for typical industrial power systems. Appl. Mech. Mater. 2022, 905, 65–77. [Google Scholar] [CrossRef]
- Mohammadi, M. Bacterial foraging optimization and adaptive version for economically optimum sitting, sizing and harmonic tuning orders setting of LC harmonic passive power filters in radial distribution systems with linear and nonlinear loads. Appl. Soft Comput. 2015, 29, 345–356. [Google Scholar] [CrossRef]
- Tosun, S.; Öztürk, A.; Ertay, M.M.; Yalçın, M.A.; Zengin, A. An approach for designing passive power filters for industrial power systems by using gravitational search algorithm. Teh. Vjesn. Tech. Gaz. 2015, 22, 343–349. [Google Scholar] [CrossRef][Green Version]
- Badugu, R.; Acharya, D.; Das, D.K.; Prakash, M. Class topper optimization algorithm based optimum passive power filter design for power system. In Proceedings of the 5th International Conference on Computing Methodologies and Communication (ICCMC), Erode, India, 8–10 April 2021. [Google Scholar]
- Zobaa, A.M.; Aleem, S.H.E.A.; Youssef, H.K. Comparative Analysis of Double-Tuned Harmonic Passive Filter Design Methodologies Using Slime Mould Optimization Algorithm. In Proceedings of the IEEE Texas Power and Energy Conference (TPEC), College Station, TX, USA, 2–5 February 2021. [Google Scholar]
- Zhao, W.; Zhang, Z.; Wang, L. Manta ray foraging optimization: An effective bio-inspired optimizer for engineering applications. Eng. Appl. Artif. Intell. 2020, 87, 103300. [Google Scholar] [CrossRef]
- Alturki, F.A.; Omotoso, H.O.; Al-Shamma’A, A.A.; Farh, H.M.H.; Alsharabi, K. Novel Manta Rays Foraging Optimization Algorithm Based Optimal Control for Grid-Connected PV Energy System. IEEE Access 2020, 8, 187276–187290. [Google Scholar] [CrossRef]
- Elattar, E.E.; Shaheen, A.M.; El-Sayed, A.M.; El-Sehiemy, R.A.; Ginidi, A.R. Optimal Operation of Automated Distribution Networks Based-MRFO Algorithm. IEEE Access 2021, 9, 19586–19601. [Google Scholar] [CrossRef]
- Mohammadi-Balani, A.; Nayeri, M.D.; Azar, A.; Taghizadeh-Yazdi, M. Golden eagle optimizer: A nature-inspired metaheuristic algorithm. Comput. Ind. Eng. 2021, 152, 107050. [Google Scholar] [CrossRef]
- Połap, D.; Woźniak, M. Red fox optimization algorithm. Expert Syst. Appl. 2021, 166, 114107. [Google Scholar] [CrossRef]
- Braik, M.S. Chameleon Swarm Algorithm: A bio-inspired optimizer for solving engineering design problems. Expert Syst. Appl. 2021, 174, 114685. [Google Scholar] [CrossRef]
- Masoum, M.A.; Fuchs, E.F. Power system modeling under nonsinusoidal operating conditions. In Power Quality in Power Systems and Electrical Machines; Elsevier: San Diego, CA, USA, 2008. [Google Scholar]
- Das, J.C. Harmonic resonance. In Power System Harmonics and Passive Filter Designs; John Wiley & Sons: Hoboken, NJ, USA, 2015. [Google Scholar]
- Chidurala, A.; Saha, T.K.; Mithulananthan, N. Harmonic impact of high penetration photovoltaic system on unbalanced distribution networks—Learning from an urban photovoltaic network. IET Renew. Power Gener. 2016, 10, 485–494. [Google Scholar] [CrossRef]
- Alghamdi, T.A.H.; Anayi, F.J. Modelling and control development of an MVDC converter implemented for albaha power network. In Proceedings of the 5th International Conference on Power and Energy Engineering (ICPEE), Xiamen, China, 2–4 December 2021. [Google Scholar]
- Halpin, S.M.; Card, A. Power quality. In Power Electronics Handbook; Elsevier: Burlington, VT, USA, 2011. [Google Scholar]
- IEEE Std 519-2014; IEEE Recommended Practice and Requirements for Harmonic Control in Electric Power Systems. Institute of Electrical and Electronics Engineers: Piscataway, NJ, USA, 2014; 1, pp. 1–29.
- Mirjalili, S.; Mirjalili, S.M.; Lewis, A. Grey wolf optimizer. Adv. Eng. Softw. 2014, 69, 46–61. [Google Scholar] [CrossRef]
- Carbone, R. A review of probabilistic methods for the analysis of low frequency power system harmonic distortion. In Proceedings of the Ninth International Conference on Electromagnetic Compatibility, Manchester, UK, 5–7 September 1994. [Google Scholar]
- Rios, S.M.; Castaneda, R.P. Newton-raphson probabilistic harmonic power flow through monte carlo simulation. In Proceedings of the 38th Midwest Symposium on Circuits and Systems, Rio de Janeiro, Brazil, 13–16 August 1995. [Google Scholar]
- Busatto, T.; Larsson, A.; Ronnberg, S.K.; Bollen, M.H.J. Including uncertainties from customer connections in calculating low-voltage harmonic impedance. IEEE Trans. Power Deliv. 2019, 34, 606–615. [Google Scholar] [CrossRef]
- Enslin, J.H.R.; Heskes, P.J.M. Harmonic interaction between a large number of distributed power inverters and the distribution network. IEEE Trans. Power Electron. 2004, 19, 1586–1593. [Google Scholar] [CrossRef]
- Chou, C.-J.; Liu, C.-W.; Lee, J.-Y.; Lee, K.-D. Optimal planning of large passive-harmonic-filters set at high voltage level. IEEE Trans. Power Syst. 2000, 15, 433–441. [Google Scholar] [CrossRef]













| Harmonic Order | |||||
|---|---|---|---|---|---|
| 0.02% | 0.02% | 0.02% | 0.01% | 0.01% |
| Algorithm | Parameter | Typical Value |
|---|---|---|
| MRFO [41] | Both are randomly generated and subject to iteration no. | |
| GEO [44] | Increase linearly from 0.5 to 2 Decrease linearly from 1 to 0.5 | |
| RFO [45] | ||
| CSA [46] | 0.25 | |
| 1.50 | ||
| 1.0 | ||
| 1.75 |
| Algorithm | Best Fitness | Mean | Worst Fitness | Std. Deviation | Avg. Time (s) |
|---|---|---|---|---|---|
| MRFO | 0.8026 | 0.8031 | 0.8036 | 0.00021 | 52.44 |
| GEA | 0.8195 | 0.8204 | 0.8214 | 0.00043 | 43.25 |
| RFO | 0.8031 | 0.8091 | 0.8148 | 0.00278 | 46.16 |
| CSA | 0.9158 | 0.9186 | 0.9192 | 0.00084 | 41.93 |
| Parameter (per Phase) | Uncompensated System | Compensated System | |||
|---|---|---|---|---|---|
| MRFO | GEA | RFO | CSA | ||
| - | 7.083 | 9.012 | 7.235 | 9.364 | |
| - | 1.520 | 1.471 | 1.496 | 1.543 | |
| - | 51.70 | 52.03 | 51.89 | 52.16 | |
| 0.947 | 0.986 | 0.981 | 0.983 | 0.979 | |
| 1.900 | 0.8026 | 0.8195 | 0.8031 | 0.9158 | |
| 2.550 | 1.881 | 1.948 | 1.872 | 1.970 | |
| 0.860 | 0.9610 | 0.9648 | 0.9602 | 0.9693 | |
| 0.1653 | 0.1411 | 0.1422 | 0.1413 | 0.1425 | |
| - | 0.0297 | 0.0358 | 0.0304 | 0.0371 | |
| - | |||||
| 98.35 | 98.29 | 98.22 | 98.28 | 98.20 | |
| 87.29 | 97.06 | 95.93 | 96.89 | 95.04 | |
| Harmonic Order | |||||
|---|---|---|---|---|---|
| Harmonic Contents | 0.02% | 0.02% | 0.02% | 0.01% | 0.01% |
| Characteristics | Distribution Functions | Parameters |
|---|---|---|
| Continuous Uniform | min = 0.50, max = 1.10 | |
| Continuous Uniform | min = 0.50, max = 1.10 | |
| Normal | ||
| Normal |
Publisher’s Note: MDPI stays neutral with regard to jurisdictional claims in published maps and institutional affiliations. |
© 2022 by the authors. Licensee MDPI, Basel, Switzerland. This article is an open access article distributed under the terms and conditions of the Creative Commons Attribution (CC BY) license (https://creativecommons.org/licenses/by/4.0/).
Share and Cite
Alghamdi, T.A.H.; Anayi, F.; Packianather, M. Optimal Design of Passive Power Filters Using the MRFO Algorithm and a Practical Harmonic Analysis Approach including Uncertainties in Distribution Networks. Energies 2022, 15, 2566. https://doi.org/10.3390/en15072566
Alghamdi TAH, Anayi F, Packianather M. Optimal Design of Passive Power Filters Using the MRFO Algorithm and a Practical Harmonic Analysis Approach including Uncertainties in Distribution Networks. Energies. 2022; 15(7):2566. https://doi.org/10.3390/en15072566
Chicago/Turabian StyleAlghamdi, Thamer A. H., Fatih Anayi, and Michael Packianather. 2022. "Optimal Design of Passive Power Filters Using the MRFO Algorithm and a Practical Harmonic Analysis Approach including Uncertainties in Distribution Networks" Energies 15, no. 7: 2566. https://doi.org/10.3390/en15072566
APA StyleAlghamdi, T. A. H., Anayi, F., & Packianather, M. (2022). Optimal Design of Passive Power Filters Using the MRFO Algorithm and a Practical Harmonic Analysis Approach including Uncertainties in Distribution Networks. Energies, 15(7), 2566. https://doi.org/10.3390/en15072566

