Experimental Comparison of Hub- and Roller-Type Chassis Dynamometers for Vehicle Exhaust Emissions
Abstract
:1. Introduction
2. Materials and Methods
2.1. Main Facilities
2.2. Dynamometers
2.3. Vehicles
2.4. Test Cycles
2.5. Additional Roller-Type Dynamometer
2.6. Calculations
3. Results
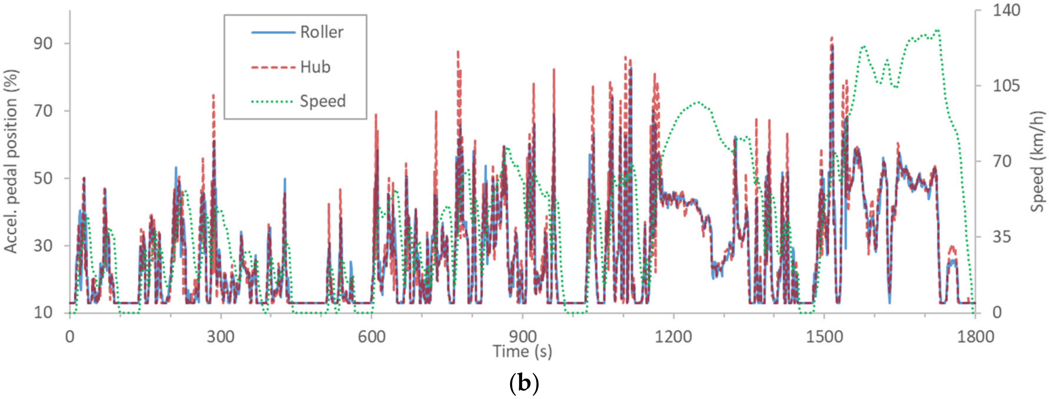
3.1. Drive Indexes
3.2. Real-Time Concentrations
3.3. Integrated Emissions
4. Discussion
- Wheel dynamic radius: Overestimation of, e.g., 1% of the radius will result in 1% lower engine speed but also 1% higher torque. That is, the power demand from the engine is the same although at another operating point.
- Slip: Overestimation of, e.g., 10% of the slip will increase the tire slip losses by 10%. Approximating a 10% overestimation of slip on the diesel vehicle in this study would have an impact of about a 0.07% increase in CO2 for the WLTC.
- Rotational mass: Overestimation of, e.g., 10% will result in a 0.3% higher acceleration load. Approximating a 10% overestimation of rotational mass on the diesel vehicle in this study would have an impact of about a 0.1% increase in CO2 for the WLTC.
5. Conclusions
Author Contributions
Funding
Institutional Review Board Statement
Informed Consent Statement
Data Availability Statement
Acknowledgments
Conflicts of Interest
Disclaimer
Appendix A


Appendix B


References
- Yogeeswaran, R.; Subramaniom, S.; Senthil Krishnan, S. Establishment of Chassis Dynamometers for Commercial Vehicles; SAE International: Warrendale, PA, USA, 2019. [Google Scholar] [CrossRef]
- Bielaczyc, P.; Klimkiewicz, D.; Woodburn, J.; Szczotka, A. Exhaust Emission Testing Methods–Bosmal’s Legislative and Development Emission Testing Laboratories. Combust. Engines 2019, 178, 88–98. [Google Scholar] [CrossRef]
- Kim, H.J.; Lee, S.H.; Kwon, S.I.; Park, S.; Lee, J.; Keel, J.H.; Lee, J.T.; Park, S. Investigation of the Emission Characteristics of Light-Duty Diesel Vehicles in Korea Based on EURO-VI Standards According to Type of After-Treatment System. Energies 2020, 13, 4936. [Google Scholar] [CrossRef]
- Park, G.; Mun, S.; Hong, H.; Chung, T.; Jung, S.; Kim, S.; Seo, S.; Kim, J.; Lee, J.; Kim, K.; et al. Characterization of Emission Factors Concerning Gasoline, LPG, and Diesel Vehicles via Transient Chassis-Dynamometer Tests. Appl. Sci. 2019, 9, 1573. [Google Scholar] [CrossRef] [Green Version]
- Valverde, V.; Giechaskiel, B. Assessment of Gaseous and Particulate Emissions of a Euro 6d-Temp Diesel Vehicle Driven >1300 Km Including Six Diesel Particulate Filter Regenerations. Atmosphere 2020, 11, 645. [Google Scholar] [CrossRef]
- Giechaskiel, B.; Valverde, V.; Kontses, A.; Suarez-Bertoa, R.; Selleri, T.; Melas, A.; Otura, M.; Ferrarese, C.; Martini, G.; Balazs, A.; et al. Effect of Extreme Temperatures and Driving Conditions on Gaseous Pollutants of a Euro 6d-Temp Gasoline Vehicle. Atmosphere 2021, 12, 1011. [Google Scholar] [CrossRef]
- Figenbaum, E.; Weber, C. Estimating Real-World Emissions of PHEVs in Norway by Combining Laboratory Measurement with User Surveys. WEVJ 2018, 9, 31. [Google Scholar] [CrossRef] [Green Version]
- Feinauer, M.; Ehrenberger, S.; Epple, F.; Schripp, T.; Grein, T. Investigating Particulate and Nitrogen Oxides Emissions of a Plug-In Hybrid Electric Vehicle for a Real-World Driving Scenario. Appl. Sci. 2022, 12, 1404. [Google Scholar] [CrossRef]
- Öberg, P.; Nyberg, P.; Nielsen, L. A New Chassis Dynamometer Laboratory for Vehicle Research. SAE Int. J. Passeng. Cars–Electron. Electr. Syst. 2013, 6, 152–161. [Google Scholar] [CrossRef]
- Fernández-Yáñez, P.; Soriano, J.A.; Mata, C.; Armas, O.; Pla, B.; Bermúdez, V. Simulation of Optimal Driving for Minimization of Fuel Consumption or NOx Emissions in a Diesel Vehicle. Energies 2021, 14, 5513. [Google Scholar] [CrossRef]
- Giechaskiel, B.; Casadei, S.; Mazzini, M.; Sammarco, M.; Montabone, G.; Tonelli, R.; Deana, M.; Costi, G.; Di Tanno, F.; Prati, M.; et al. Inter-Laboratory Correlation Exercise with Portable Emissions Measurement Systems (PEMS) on Chassis Dynamometers. Appl. Sci. 2018, 8, 2275. [Google Scholar] [CrossRef] [Green Version]
- Giechaskiel, B.; Casadei, S.; Rossi, T.; Forloni, F.; Di Domenico, A. Measurements of the Emissions of a “Golden” Vehicle at Seven Laboratories with Portable Emission Measurement Systems (PEMS). Sustainability 2021, 13, 8762. [Google Scholar] [CrossRef]
- Myung, C.L.; Lee, H.; Kwon, S.; Lee, S.; Jun, J.; Lee, Y.; Woo, Y.; Lee, M.; Bae, G.N.; Park, S. Inter-Laboratory Correlation Exercise on a Light-Duty Diesel Passenger Vehicle to Verify Nano-Particle Emission Characteristics by Korea Particle Measurement Program. J. Mech. Sci. Technol. 2009, 23, 729–738. [Google Scholar] [CrossRef]
- Zervas, E.; Dorlhène, P.; Forti, L.; Perrin, C.; Momique, J.C.; Monier, R.; Ing, H.; Lopez, B. Interlaboratory Test of Exhaust PM Using ELPI. Aerosol Sci. Technol. 2005, 39, 333–346. [Google Scholar] [CrossRef]
- Lawson, P.; Dhingra, S. Advancements in Powertrain Test Environment Delivering Productivity through Strategic Choice of Test Environment. In Proceedings of the AVL Product Development in Motion, Coverty, UK, 28 June 2018. [Google Scholar]
- Jaworski, A.; Mądziel, M.; Lew, K.; Campisi, T.; Woś, P.; Kuszewski, H.; Wojewoda, P.; Ustrzycki, A.; Balawender, K.; Jakubowski, M. Evaluation of the Effect of Chassis Dynamometer Load Setting on CO2 Emissions and Energy Demand of a Full Hybrid Vehicle. Energies 2021, 15, 122. [Google Scholar] [CrossRef]
- Gis, W.; Zoltowski, A.; Taubert, S. The Impact of Engine Cooling Fan Configuration on the Emission of Pollutants by Vehicle Exhaust Systems in Chassis Dynamometer Tests. KONES 2011, 18, 107–115. [Google Scholar]
- Giechaskiel, B.; Suarez-Bertoa, R.; Lahde, T.; Clairotte, M.; Carriero, M.; Bonnel, P.; Maggiore, M. Emissions of a Euro 6b Diesel Passenger Car Retrofitted with a Solid Ammonia Reduction System. Atmosphere 2019, 10, 180. [Google Scholar] [CrossRef] [Green Version]
- Giechaskiel, B.; Clairotte, M.; Valverde-Morales, V.; Bonnel, P.; Kregar, Z.; Franco, V.; Dilara, P. Framework for the Assessment of PEMS (Portable Emissions Measurement Systems) Uncertainty. Environ. Res. 2018, 166, 251–260. [Google Scholar] [CrossRef]
- Giechaskiel, B.; Lähde, T.; Melas, A.D.; Valverde, V.; Clairotte, M. Uncertainty of Laboratory and Portable Solid Particle Number Systems for Regulatory Measurements of Vehicle Emissions. Environ. Res. 2021, 197, 111068. [Google Scholar] [CrossRef]
- Brace, C.J.; Burke, R.; Moffa, J. Increasing Accuracy and Repeatability of Fuel Consumption Measurement in Chassis Dynamometer Testing. Proc. Inst. Mech. Eng. Part D J. Automob. Eng. 2009, 223, 1163–1177. [Google Scholar] [CrossRef] [Green Version]
- Galindo, E.; Blanco, D.; Brace, C.; Chappell, E.; Burke, R. Chassis Dynamometer Testing: Addressing the Challenges of New Global Legislation (WLTP and RDE); SAE International: Warrendale, PA, USA, 2017; ISBN 978-0-7680-8278-4. [Google Scholar]
- Fontaras, G.; Valverde, V.; Arcidiacono, V.; Tsiakmakis, S.; Anagnostopoulos, K.; Komnos, D.; Pavlovic, J.; Ciuffo, B. The Development and Validation of a Vehicle Simulator for the Introduction of Worldwide Harmonized Test Protocol in the European Light Duty Vehicle CO2 Certification Process. Appl. Energy 2018, 226, 784–796. [Google Scholar] [CrossRef]
- Kim, C.; Lee, H.; Park, Y.; Myung, C.L.; Park, S. Study on the Criteria for the Determination of the Road Load Correlation for Automobiles and an Analysis of Key Factors. Energies 2016, 9, 575. [Google Scholar] [CrossRef] [Green Version]
- Gillespie, T.D. Fundamentals of Vehicle Dynamics; Society of Automotive Engineers: Warrendale, PA, USA, 1992; ISBN 978-1-56091-199-9. [Google Scholar]
- Pacejka, H.B.; Besselink, I. Tire and Vehicle Dynamics, 3rd ed.; Butterworth-Heinemann Elsevier: Oxford, UK, 2012; ISBN 978-0-08-097016-5. [Google Scholar]
- Tsokolis, D.; Tsiakmakis, S.; Dimaratos, A.; Fontaras, G.; Pistikopoulos, P.; Ciuffo, B.; Samaras, Z. Fuel Consumption and CO2 Emissions of Passenger Cars over the New Worldwide Harmonized Test Protocol. Appl. Energy 2016, 179, 1152–1165. [Google Scholar] [CrossRef]
- SAE J2951 Drive Quality Evaluation for Chassis Dynamometer Testing J2951_201401 2014. Available online: https://www.sae.org/standards/content/j2951_201401/ (accessed on 16 March 2022).
- Frey, H.C.; Zheng, X.; Hu, J. Variability in Measured Real-World Operational Energy Use and Emission Rates of a Plug-In Hybrid Electric Vehicle. Energies 2020, 13, 1140. [Google Scholar] [CrossRef] [Green Version]
- Jaworski, A.; Kuszewski, H.; Ustrzycki, A.; Balawender, K.; Lejda, K.; Woś, P. Analysis of the Repeatability of the Exhaust Pollutants Emission Research Results for Cold and Hot Starts under Controlled Driving Cycle Conditions. Environ. Sci. Pollut. Res. 2018, 25, 17862–17877. [Google Scholar] [CrossRef] [PubMed] [Green Version]
- Giechaskiel, B. Gaseous and Particulate Emissions of a Euro 4 Motorcycle and Effect of Driving Style and Open or Closed Sampling Configuration. Sustainability 2020, 12, 9122. [Google Scholar] [CrossRef]
- Hwang, K.; Park, J.; Kim, H.; Kuc, T.Y.; Lim, S. Development of a Simple Robotic Driver System (SimRoDS) to Test Fuel Economy of Hybrid Electric and Plug-In Hybrid Electric Vehicles Using Fuzzy-PI Control. Electronics 2021, 10, 1444. [Google Scholar] [CrossRef]







| Technical specifications | Hub-Type | Roller-Type | Roller-Type 2 |
|---|---|---|---|
| Manufacturer | Rototest | AVL Zöllner | Maha (AIP) |
| Model | Energy 4WD | Roadsim MIL 4 × 4 | ECDM 48M-4WD |
| Control system | Rototest HDC | MMI | DynoServer ECD |
| Base inertia/axle | 48 kg | 1365 kg | 1770 kg |
| Vehicle inertia simulation | 0 to 6100 kg 1,2 | 454 to 4500 kg 1 | 454 to 4500 kg 1 |
| Max force/axle (continuous) | 18,400 N 2 | 5000 N | 6000 N |
| Max power/axle (continuous) | 400 kW | 153 kW | 150 kW |
| Wheelbase adjustment | Any | 1800–4600 mm | 1800–4000 mm |
| Roller diameter | - | 1.22 m | 1.22 m |
| Roller surface | - | <0.25 mm | <0.25 mm |
| Forces accuracy | 0.05% FS | 0.1% FS | 0.1% FS |
| Time measurement accuracy | <0.001% | <0.001% | <0.001% |
| Speed measurement accuracy | <0.08 km/h 2 | <0.02 km/h | <0.08 km/h |
| Temperature range | −10 to 40 °C | −30 to 50 °C | −10 to 30 °C |
| Dynamometer (WLTC) | Low Phase 1 | Medium Phase 2 | High Phase 3 | Extra High Phase 4 | WLTC All |
|---|---|---|---|---|---|
| Duration (s) | 589 | 433 | 455 | 323 | 1800 |
| Reference (km) | 3.095 | 4.756 | 7.162 | 8.254 | 23.266 |
| Hub (cold) (km) | 3.068 | 4.762 | 7.113 | 8.170 | 23.111 |
| Roller (cold) (km) | 3.062 | 4.722 | 7.141 | 8.230 | 23.154 |
| Roller 2 (cold) (km) | 3.105 | 4.751 | 7.187 | 8.264 | 23.307 |
| Roller 2 D2 (cold (km) | 3.096 | 4.749 | 7.156 | 8.276 | 23.277 |
| Hub (hot) (km) | 3.073 | 4.744 | 7.139 | 8.189 | 23.144 |
| Roller (hot) (km) | 3.062 | 4.703 | 7.146 | 8.230 | 23.141 |
| Roller 2 (hot) (km) | 3.091 | 4.759 | 7.168 | 8.258 | 23.276 |
| Roller 2 D2 (km) | 3.092 | 4.752 | 7.165 | 8.263 | 23.272 |
| Dynamometer (WLTC) | Low Phase 1 | Medium Phase 2 | High Phase 3 | Extra High Phase 4 | WLTC All |
|---|---|---|---|---|---|
| Hub (cold) (s) | 0.0 | 0.3 | 0.0 | 0.3 | 0.5 |
| Roller (cold) (s) | 0.6 | 0.0 | 0.0 | 0.0 | 0.6 |
| Roller 2 (cold) (s) | 1.2 | 0.1 | 0.0 | 0.0 | 1.3 |
| Roller 2 D2 (cold (s) | 0.0 | 0.0 | 0.0 | 0.0 | 0.0 |
| Hub (hot) (s) | 0.0 | 0.0 | 0.0 | 0.0 | 0.0 |
| Roller (hot) (s) | 0.0 | 0.5 | 0.3 | 0.0 | 0.8 |
| Roller 2 (hot) (s) | 0.0 | 0.0 | 1.5 | 0.0 | 1.5 |
| Roller 2 D2 (s) | 0.0 | 0.0 | 0.0 | 0.0 | 0.0 |
| Dynamometer (WLTC) | Low Phase 1 | Medium Phase 2 | High Phase 3 | Extra High Phase 4 | WLTC All |
|---|---|---|---|---|---|
| Hub (cold) (%) | 2.2 | 1.3 | 0.6 | 1.1 | 1.2 |
| Roller (cold) (%) | 3.6 | 1.8 | 0.8 | 2.6 | 2.1 |
| Roller 2 (cold) (%) | 3.7 | −0.2 | 1.3 | 3.8 | 2.1 |
| Roller 2 D2 (cold (%) | 3.1 | 1.9 | 1.8 | 1.8 | 2.1 |
| Hub (hot) (%) | 1.3 | 0.3 | 0.4 | 1.1 | 0.8 |
| Roller (hot) (%) | 3.3 | 0.6 | −0.1 | 2.2 | 1.4 |
| Roller 2 (hot) (%) | 2.8 | 1.0 | 1.9 | 3.7 | 2.3 |
| Roller 2 D2 (%) | 4.0 | 0.6 | 2.1 | 1.5 | 2.0 |
Publisher’s Note: MDPI stays neutral with regard to jurisdictional claims in published maps and institutional affiliations. |
© 2022 by the authors. Licensee MDPI, Basel, Switzerland. This article is an open access article distributed under the terms and conditions of the Creative Commons Attribution (CC BY) license (https://creativecommons.org/licenses/by/4.0/).
Share and Cite
Giechaskiel, B.; Forloni, F.; Otura, M.; Engström, C.; Öberg, P. Experimental Comparison of Hub- and Roller-Type Chassis Dynamometers for Vehicle Exhaust Emissions. Energies 2022, 15, 2402. https://doi.org/10.3390/en15072402
Giechaskiel B, Forloni F, Otura M, Engström C, Öberg P. Experimental Comparison of Hub- and Roller-Type Chassis Dynamometers for Vehicle Exhaust Emissions. Energies. 2022; 15(7):2402. https://doi.org/10.3390/en15072402
Chicago/Turabian StyleGiechaskiel, Barouch, Fabrizio Forloni, Marcos Otura, Christian Engström, and Per Öberg. 2022. "Experimental Comparison of Hub- and Roller-Type Chassis Dynamometers for Vehicle Exhaust Emissions" Energies 15, no. 7: 2402. https://doi.org/10.3390/en15072402
APA StyleGiechaskiel, B., Forloni, F., Otura, M., Engström, C., & Öberg, P. (2022). Experimental Comparison of Hub- and Roller-Type Chassis Dynamometers for Vehicle Exhaust Emissions. Energies, 15(7), 2402. https://doi.org/10.3390/en15072402
