A Novel Algorithm for Hydrostatic-Mechanical Mobile Machines with a Dual-Clutch Transmission
Abstract
:1. Introduction
2. Problem Statement
3. Goal of This Research
4. System Modelling
4.1. Powertrain
4.2. Actuator
5. Power Shift Controller
5.1. Control Schema
5.2. Phase Selector
5.3. Torque Generator
6. Control Algorithm
6.1. Torque Phase
6.2. Inertia Phase
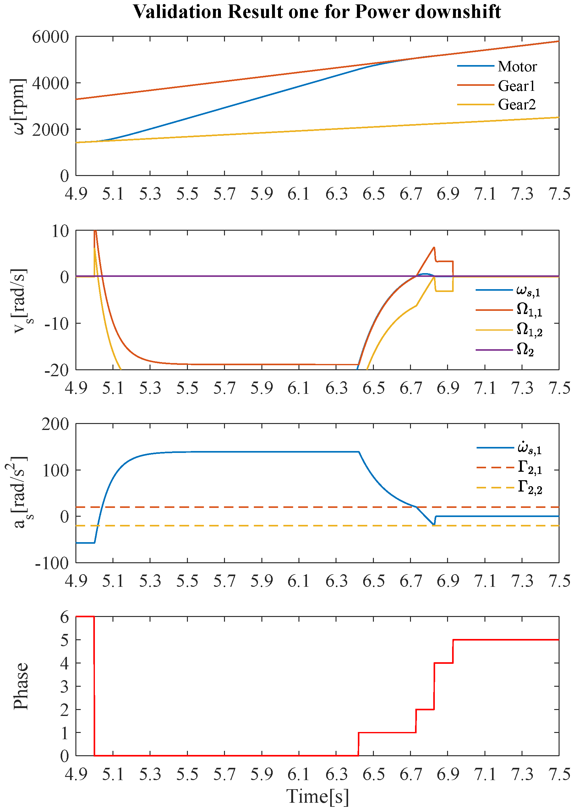
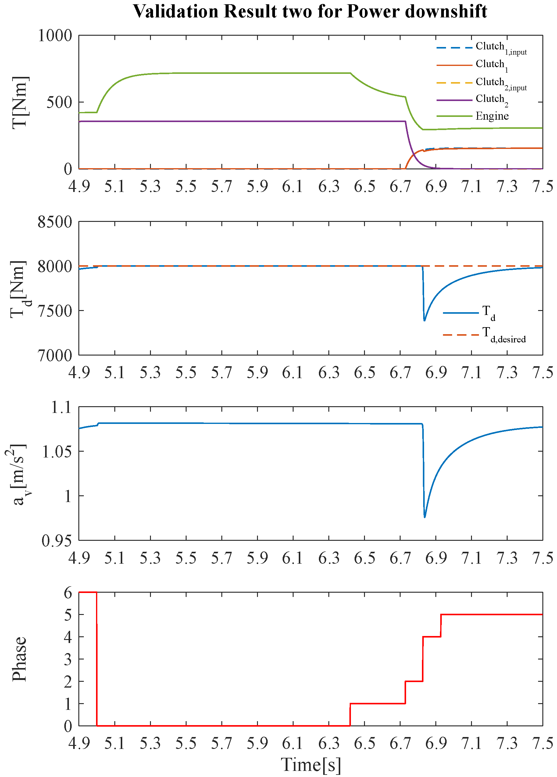
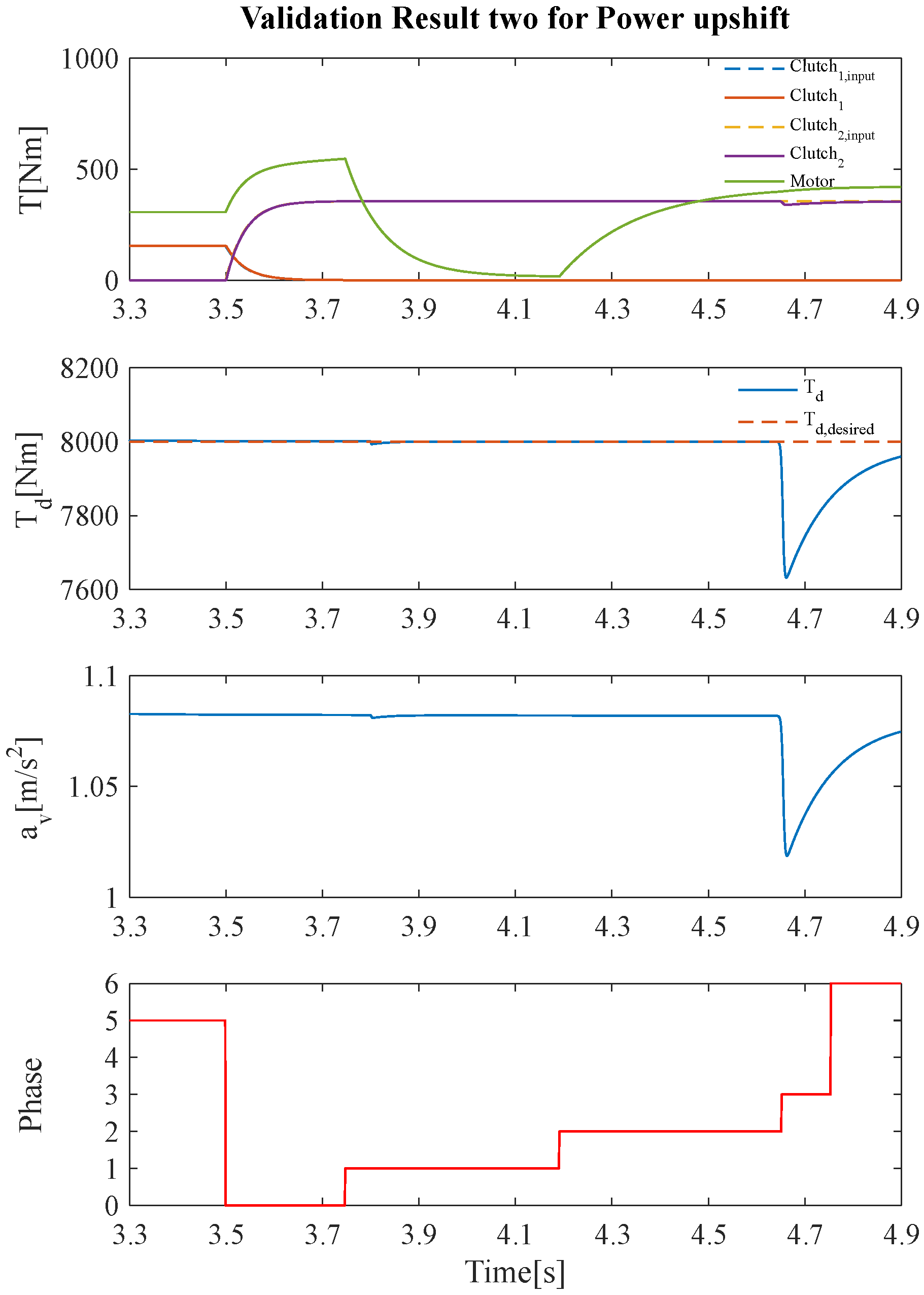
7. Simulation Results
8. Shift Management
9. Conclusions and Outlook
Outlook
Author Contributions
Funding
Institutional Review Board Statement
Informed Consent Statement
Data Availability Statement
Acknowledgments
Conflicts of Interest
Appendix A
| Symbol | Value | Unit | Description |
|---|---|---|---|
| 1.5 | kg m2 | Motor inertia | |
| 9450 | kg | Vehicle mass | |
| 615 | mm | Wheel radius | |
| 3574.2 | kg m2 | Vehicle equivalent inertia | |
| 0.8 | − | Drag coefficient | |
| 0.8 | m2 | Reference area | |
| 1.293 | kg/m3 | Density of air | |
| 3.74 | − | Gear one ratio | |
| 1.5 | − | Gear two ratio | |
| 15.429 | − | Final drive ratio | |
| 1.5 | kg m2 | Motor inertia | |
| 0.9 | − | Final drive efficiency | |
| 0.08 | s | Motor time constant | |
| 0.04 | s | Clutch time constant |
References
- Xiang, Y.; Geimer, M. Optimization of operarion strategy for primary torque based hydrostatic drivetrain using artificial intelligence. In Proceedings of the 12th International Fluid Power Conference, Dresden, Germany, 12–14 October 2020. [Google Scholar]
- Mutschler, S.; Brix, N.; Xiang, Y. Torque control for mobile machines. In Proceedings of the 11th International Fluid Power Conference, Aachen, Germany, 19–21 March 2018; Murrenhoff, H., Ed.; RWTH Publications: Aachen, Germany, 2018; pp. 186–195. [Google Scholar]
- Xiang, Y.; Mutschler, S.; Brix, N.; Brach, C.; Geimer, M. Optimization of hydrostatic-mechanical transmission control startegy by means of torque control. In Proceedings of the 12th International Fluid Power Conference, Dresden, Germany, 12–14 October 2020. [Google Scholar]
- Ge, L.; Quan, L.; Zhang, X.; Zhao, B.; Yang, J. Efficiency improvement and evaluation of electric hydraulic excavator with speed and displacement variable pump. Energy Convers. Manag. 2017, 150, 62–71. [Google Scholar] [CrossRef]
- Karpenko, M.; Bogdevičius, M. Review of Energy-saving Technologies in Modern Hydraulic Drives. Moksl. Liet. Ateitis 2017, 9, 553–558. [Google Scholar] [CrossRef] [Green Version]
- Yu, Y.; Jeong, E.; Ahn, K. Review of Energy Saving Technology of Hybrid Construction Machine. J. Drive Control. 2018, 15, 91–100. [Google Scholar]
- Xiang, Y.; Su, T.; Brach, C.; Liu, X.; Geimer, M. Realtime estimation of IEEE 802.11 p for mobile working machines communication respecting delay and packet loss. In Proceedings of the 2020 IEEE Intelligent Vehicles Symposium (IV), Las Vegas, NV, USA, 19 October–13 November 2020; pp. 1516–1521. [Google Scholar]
- Quan, Z.; Ge, L.; Wei, Z.; Li, Y.W.; Quan, L. A Survey of Powertrain Technologies for Energy-Efficient Heavy-Duty Machinery. Proc. IEEE 2021, 109, 279–308. [Google Scholar] [CrossRef]
- Xiang, Y.; Tang, T.; Su, T.; Brach, C.; Liu, L.; Mao, S.S.; Geimer, M. Fast crdnn: Towards on site training of mobile construction machines. IEEE Access 2021, 9, 124253–124267. [Google Scholar] [CrossRef]
- Fischer, R.; Küçükay, F.; Jürgens, G.; Najork, R.; Pollak, B. The Automotive Transmission Book; Powertrain; Springer International Publishing: Cham, Switzerland, 2015. [Google Scholar]
- Walker, P.D.; Zhang, N.; Tamba, R. Control of gear shifts in dual clutch transmission powertrains. Mech. Syst. Signal Process. 2011, 25, 1923–1936. [Google Scholar] [CrossRef] [Green Version]
- Song, X.; Liu, J.; Smedley, D. Simulation Study of Dual Clutch Transmission for Medium Duty Truck Applications. SAE Trans. 2005, 114, 264–270. [Google Scholar]
- Van Berkel, K.; Hofman, T.; Serrarens, A.; Steinbuch, M. Fast and smooth clutch engagement control for dual-clutch transmissions. Control. Eng. Pract. 2014, 22, 57–68. [Google Scholar] [CrossRef]
- Kulkarni, M.; Shim, T.; Zhang, Y. Shift dynamics and control of dual-clutch transmissions. Mech. Mach. Theory 2007, 42, 168–182. [Google Scholar] [CrossRef]
- Liu, Y.; Qin, D.; Jiang, H.; Zhang, Y. Shift control strategy and experimental validation for dry dual clutch transmissions. Mech. Mach. Theory 2014, 75, 41–53. [Google Scholar] [CrossRef]
- Kim, S.; Oh, J.; Choi, S. Gear shift control of a dual-clutch transmission using optimal control allocation. Mech. Mach. Theory 2017, 113, 109–125. [Google Scholar] [CrossRef]
- Oh, J.J.; Choi, S.B.; Kim, J. Driveline modeling and estimation of individual clutch torque during gear shifts for dual clutch transmission. Mechatronics 2014, 24, 449–463. [Google Scholar] [CrossRef]
- Della Gatta, A.; Iannelli, L.; Pisaturo, M.; Senatore, A.; Vasca, F. A survey on modeling and engagement control for automotive dry clutch. Mechatronics 2018, 55, 63–75. [Google Scholar] [CrossRef]
- D’Agostino, V.; Cappetti, N.; Pisaturo, M.; Senatore, A. Improving the engagement smoothness through multi-variable frictional map in automated dry clutch control. In Proceedings of the ASME International Mechanical Engineering Congress and Exposition, Houston, TX, USA, 9–15 November 2012; American Society of Mechanical Engineers: New York, NY, USA, 2012; Volume 45271, pp. 9–19. [Google Scholar]
- Pisaturo, M.; D’Auria, C.; Senatore, A. Friction coefficient influence on the engagement uncertainty in dry-clutch AMT. In Proceedings of the 2016 American Control Conference (ACC), Boston, MA, USA, 6–8 July 2016; pp. 7561–7566. [Google Scholar]
- Lucente, G.; Montanari, M.; Rossi, C. Modelling of an automated manual transmission system. Mechatronics 2007, 17, 73–91. [Google Scholar] [CrossRef]
- Dolcini, P.J.; Canudas-de Wit, C.; Béchart, H. Dry Clutch Control for Automotive Applications; Springer Science Business Media: Cham, Switzerland, 2010. [Google Scholar]
- Pica, G.; Cervone, C.; Senatore, A.; Lupo, M.; Vasca, F. Dry dual clutch torque model with temperature and slip speed effects. Intell. Ind. Syst. 2016, 2, 133–147. [Google Scholar] [CrossRef] [Green Version]
- Garofalo, F.; Glielmo, L.; Iannelli, L.; Vasca, F. Smooth engagement for automotive dry clutch. In Proceedings of the 40th IEEE Conference on Decision and Control (Cat. No. 01CH37228), Orlando, FL, USA, 4–7 December 2001; Volume 1, pp. 529–534. [Google Scholar]
- Geimer, M.; Pohlandt, C. Grundlagen Mobiler Arbeitsmaschinen. Karlsruher Schriftenreihe Fahrzeugsystemtechnik; KIT Scientific Publishing: Karlsruhe, Germany, 2014; Volume 22. [Google Scholar]
- Sprengel, M.; Bleazard, T.; Haria, H.; Ivantysynova, M. Implementation of a Novel Hydraulic Hybrid Powertrain in a Sports Utility Vehicle. IFAC-PapersOnLine 2015, 15, 187–194. [Google Scholar] [CrossRef]
- Gollner, W. Hydrostatic Mechanical Gearbox. U.S. Patent 2007281815, 6 March 2007. [Google Scholar]
- Bagusch, J.; Rahmfeld, R.; Göllner, W. Neue Antriebsstrategien für Radlader mit hydrostatischem Getriebe. In Hybride und Energieeffiziente Antriebe für Mobile Arbeitsmaschinen; Danfoss Power Solutions GmbH: Karlsruhe, Germany, 2019; pp. 1–11. [Google Scholar]
- Moersch, C.; Birkmann, C. Landwirtschaftliche Arbeitsmaschine Und Verfahren Zum Betrieb Einer Landwirtschaftlichen Arbeitsmaschine. European Patent EP 3457000 A1, 20 December 2017. [Google Scholar]
- Vukovic, M.; Sgro, S.; Murrenhoff, H. STEAM—A mobile hydraulic system with engine integration. In Proceedings of the ASME/BATH 2013 Symposium on Fluid Power and Motion Control, Sarasota, FL, USA, 6–9 October 2013; p. V001T01A005–V001T01A005. [Google Scholar]
- Vukovic, M.; Leifeld, R.; Murrenhoff, H. STEAM—A hydraulic hybrid architecture for excavators. In Proceedings of the 10th International Fluid Power Conference, Dresden, Germany, 8–10 March 2016; Technische Universität Dresden: Dresden, Germany, 2016; pp. 151–162. [Google Scholar]
- Sprengel, M.W. Influence of Architecture Design on the Performance and Fuel Efficiency of Hydraulic Hybrid Transmissions. Dissertations, Purdue University, West Lafayette, IN, USA, 2015. [Google Scholar]
- Goetz, M.; Levesley, M.C.; Crolla, D.A. Emissions: Advanced catalyst and substrates, measurement and testing, and diesel gaseous emissions. In Proceedings of the Powertrain and Fluid Systems Conference and Exhibition, Pittsburgh, PA, USA, 27–30 October 2003; Westin Convention Center Hotel: Pittsburgh, PA, USA, 2003. [Google Scholar]










Publisher’s Note: MDPI stays neutral with regard to jurisdictional claims in published maps and institutional affiliations. |
© 2022 by the authors. Licensee MDPI, Basel, Switzerland. This article is an open access article distributed under the terms and conditions of the Creative Commons Attribution (CC BY) license (https://creativecommons.org/licenses/by/4.0/).
Share and Cite
Xiang, Y.; Li, R.; Brach, C.; Liu, X.; Geimer, M. A Novel Algorithm for Hydrostatic-Mechanical Mobile Machines with a Dual-Clutch Transmission. Energies 2022, 15, 2095. https://doi.org/10.3390/en15062095
Xiang Y, Li R, Brach C, Liu X, Geimer M. A Novel Algorithm for Hydrostatic-Mechanical Mobile Machines with a Dual-Clutch Transmission. Energies. 2022; 15(6):2095. https://doi.org/10.3390/en15062095
Chicago/Turabian StyleXiang, Yusheng, Ruoyu Li, Christine Brach, Xiaole Liu, and Marcus Geimer. 2022. "A Novel Algorithm for Hydrostatic-Mechanical Mobile Machines with a Dual-Clutch Transmission" Energies 15, no. 6: 2095. https://doi.org/10.3390/en15062095
APA StyleXiang, Y., Li, R., Brach, C., Liu, X., & Geimer, M. (2022). A Novel Algorithm for Hydrostatic-Mechanical Mobile Machines with a Dual-Clutch Transmission. Energies, 15(6), 2095. https://doi.org/10.3390/en15062095

