Extended Application and Experimental Verification of a New Erosive Burning Model Coupled Heat Transfer between Gas and Grain Based on a Star-Grain Solid Rocket Motor
Abstract
:1. Introduction
2. Models
- (1)
 - All the variables at the same cross section are assumed to be uniform (1D assumption).
 - (2)
 - The chemical reaction is ignored. Once the propellant is ignited, the surface is treated as a surface where combustion gas flows directly into the fluid domain.
 - (3)
 - The combustion gas is assumed to be a perfect gas of a single species.
 - (4)
 - The ignition gas has the same properties as the combustion gas, but a lower temperature.
 - (5)
 - The velocity of the combustion gas generated from the grain is vertical to the axis of SRM.
 
2.1. Governing Equations
2.2. Erosive Burning
2.3. Ignition Model
2.4. Geometric Correlations
3. Numerical Procedure
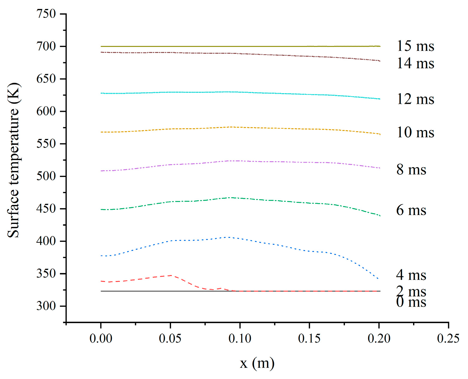
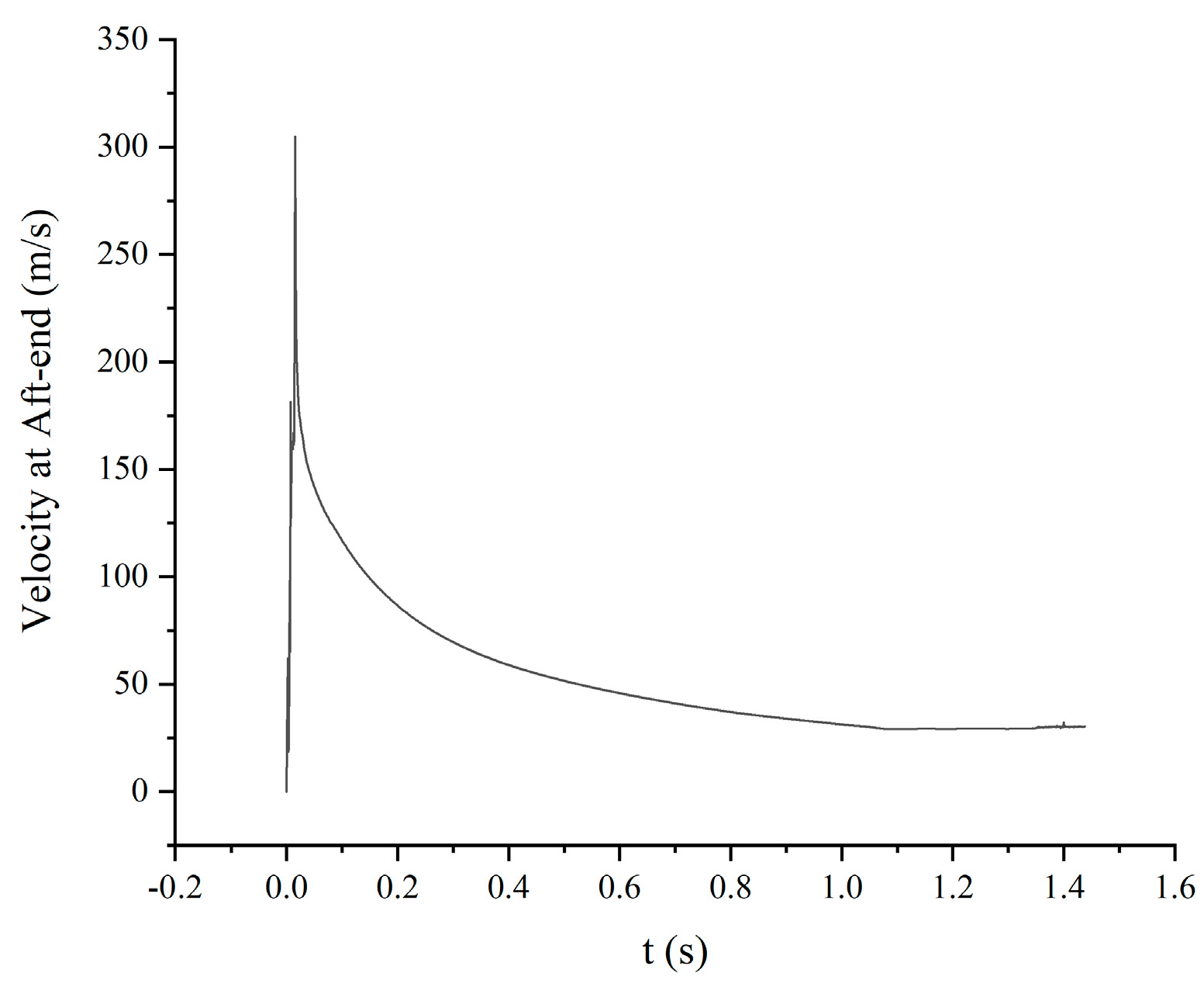
4. Results and Analysis
5. Conclusions
Author Contributions
Funding
Data Availability Statement
Conflicts of Interest
Abbreviations
| CFD | Computational fluid dynamics | 
| FVM | Finite volume method | 
| ODE | Ordinary differential equation | 
| SRM | Solid rocket motor | 
Nomenclature
| a | Proportionality coefficient in Saint Robert’s law | 
| Ap | Port area | 
| Cp | Specific heat at constant pressure | 
| Cv | Specific heat at constant volume | 
| D | Outer diameter of the grain | 
| Dh | Hydraulic diameter | 
| e | Burned web | 
| h | Heat transfer coefficient | 
| l | Characteristic length of a star grain | 
| n | Exponent in Saint Robert’s law; number of star points in star-grain section | 
| kz | Proportionality coefficient in linear erosive burning models | 
| p | Pressure | 
| r | Burning rate; radius | 
| R | Gas constant | 
| s | Burn perimeter | 
| T | Temperature | 
| Tf | Combustion temperature of the propellant | 
| u | Velocity | 
| x | Axial coordinate of the SRM | 
| z | Variable determining erosive burning in linear erosive burning models | 
| α | Thermal diffusivity of propellant | 
| ε | Erosive burning ratio; angle coefficient of a star grain | 
| λ | Thermal conductivity | 
| θ | Angle of two adjacent line segments of star (star edges) | 
| ρ | Density | 
| Subscripts and Superscripts | |
| 0 | Value without transpiration; value of normal state (no erosive burning) | 
| ∞ | Core gas flow | 
| * | Threshold value | 
| i | Initial value | 
| p | Propellant; port | 
| s | Propellant surface | 
References
- Crawford, B.; Kershner, R. Rocket Fundamentals; NDRC Division: Washington, DC, USA, 1944; Volume 3. [Google Scholar]
 - Vandenkerckhove, J.A. Erosive Burning of a Colloidal Solid Propellant. J. Jet Propuls. 1958, 28, 599–603. [Google Scholar] [CrossRef]
 - Razdan, M.K.; Kuo, K.K. Measurements and Model Validation for Composite Propellants Burning under Cross Flow of Gases. AIAA J. 1980, 18, 669–677. [Google Scholar] [CrossRef]
 - Arkhipov, V.A.; Zarko, V.E.; Zharova, I.K.; Zhukov, A.S.; Kozlov, E.A.; Aksenenko, D.D.; Kurbatov, A.V. Solid propellant combustion in a high-velocity cross-flow of gases (review). Combust. Explos. Shock Waves 2016, 52, 497–513. [Google Scholar] [CrossRef]
 - Lenoir, J.; Robillard, G. A mathematical method to predict the effects of erosive burning in solid-propellant rockets. Symp. (Int.) Combust. 1957, 6, 663–667. [Google Scholar] [CrossRef]
 - Deverall, L. The Experimental and Theoretical Comparison of the Erosive Burning Characteristics of Composite Propellants. In Proceedings of the 3rd Solid Propulsion Conference, Atlantic City, NJ, USA, 4–6 June 1968. [Google Scholar]
 - Nickerson, G.; Coats, D.; Dang, A.; Dunn, S.; Berker, D.; Hermsen, R.; Lamberty, J. The Solid Propellant Rocket Motor Performance Prediction Computer Program (SPP), Version 6.0; Air Force Astronautics Laboratory: Wright-Patterson AFB, OH, USA, 1987; Volumes I–VI. [Google Scholar]
 - Peretz, A.; Kuo, K.K.; Caveny, L.H.; Summerfield, M. Starting Transient of Solid-Propellant ocket Motors with High Internal Gas Velocities. AIAA J. 1973, 11, 1719–1727. [Google Scholar] [CrossRef]
 - Willcox, M.A.; Brewster, M.Q.; Tang, K.-C.; Stewart, D.S.; Kuznetsov, I.R. Solid Rocket Motor Internal Ballistics Simulation Using Three-Dimensional Grain Burnback. J. Propuls. Power 2007, 23, 575–584. [Google Scholar] [CrossRef] [Green Version]
 - Cavallini, E.; Favini, B.; Di Giacinto, M.; Serraglia, F. SRM Internal Ballistic Numerical Simulation by SPINBALL Model. In Proceedings of the 45th AIAA/ASME/SAE/ASEE Joint Propulsion Conference & Exhibit, Denver, Colorado, 25–28 July 2009. [Google Scholar]
 - Mukunda, H.; Paul, P. Universal behaviour in erosive burning of solid propellants. Combust. Flame 1997, 109, 224–236. [Google Scholar] [CrossRef]
 - Mukunda, H.; Paul, P.; Javed, A.; Chakraborty, D. Extension of the universal erosive burning law to partly symmetric propellant grain geometries. Acta Astronaut. 2014, 93, 176–181. [Google Scholar] [CrossRef]
 - Javed, A.; Chakraborty, D. Universal erosive burning model performance for solid rocket motor internal ballistics. Aerosp. Sci. Technol. 2015, 45, 150–153. [Google Scholar] [CrossRef]
 - Sivan, J.; Solomon, Y.; Peles, O. Ignition Delay, Erosive Burning and Other Animals-Lessons Learnt about Transient Phenomena. Sci. Technol. Energetic Mater. 2019, 80, 159–170. [Google Scholar]
 - Ropia, B.; Upadhyay, J.; Kalal, R.; Shekhar, H.; Thakur, D.G. Study of Maximum Pressure Rise with Erosive Burning in Multi-Grain Tubular Solid Propellant. Propellants Explos. Pyrotech. 2020, 45, 1398–1406. [Google Scholar] [CrossRef]
 - Greatrix, D.R. Erosive Burning Model Predictions and Laboratory Test Data: A Retrospective. In Proceedings of the AIAA Propulsion and Energy 2020 Forum, American Institute of Aeronautics and Astronautics Virtual event. 24–28 August 2020. [Google Scholar]
 - Ma, Y.; Bao, F.; Sun, L.; Liu, Y.; Hui, W. A New Erosive Burning Model of Solid Propellant Based on Heat Transfer Equilibrium at Propellant Surface. Int. J. Aerosp. Eng. 2020, 2020, 1–9. [Google Scholar] [CrossRef]
 - Gnielinski, V. On heat transfer in tubes. Int. J. Heat Mass Transf. 2013, 63, 134–140. [Google Scholar] [CrossRef]
 - Johnston, W.A. Solid rocket motor internal flow during ignition. J. Propuls. Power 1995, 11, 489–496. [Google Scholar] [CrossRef]
 - Cho, I.H.; Baek, S.W. Numerical Simulation of Axisymmetric Solid Rocket Motor Ignition Transient with Radiation Effect. J. Propuls. Power 2000, 16, 725–728. [Google Scholar] [CrossRef]
 - Unnikrishnan, C.; Sana, V.; Raghunandan, B. Internal flow simulation of solid rockets using an unsteady Navier Stokes solver. In Proceedings of the 37th Joint Propulsion Conference and Exhibit, Salt Lake, UT, USA, 8–11 July 2001. [Google Scholar]
 - Salita, M. Modern SRM Ignition Transient Modeling (Part 1): Introduction and Physical Models. In Proceedings of the 37th Joint Propulsion Conference and Exhibit, Salt Lake, UT, USA, 8–11 July 2001. [Google Scholar]
 - Caveny, L.; Kuo, K.; Shackelford, B. Thrust and ignition transients of the Space Shuttle solid rocket motor. J. Spacecr. Rocket. 1979, 17, 489–494. [Google Scholar] [CrossRef]
 - Luke, G.; Eagar, M.; Dwyer, H. Ignition transient model for large aspect ratio solid rocket motors. In Proceedings of the 32nd Joint Propulsion Conference and Exhibit, Lake Buena Vista, FL, USA, 1–3 July 1996. [Google Scholar]
 - D’Agostino, L.; Biagioni, L.; Lamberti, G. An ignition transient model for solid propellant rocket motors. In Proceedings of the 37th Joint Propulsion Conference and Exhibit, Salt Lake, UT, USA, 8–11 July 2001. [Google Scholar]
 - Bao, F.; Hou, X. Design of Solid Rocket Motor; China Astronautic Publishing House: Beijing, China, 2016. [Google Scholar]
 - Hartfield, R.; Jenkins, R.; Burkhalter, J.; Foster, W. A Review of Analytical Methods for Solid Rocket Motor Grain Analysis. In Proceedings of the 39th AIAA/ASME/SAE/ASEE Joint Propulsion Conference and Exhibit, Huntsville, Alabama, 20–23 July 2003. [Google Scholar]
 - Moukalled, F.; Mangani, L.; Darwish, M. The Finite Volume Method in Computational Fluid Dynamics: An Advanced Introduction with OpenFOAM® and Matlab; Springer International Publishing: Cham, Switzerland, 2016. [Google Scholar]
 - Gordon, S.; McBride, B.J. Computer Program for Calculation of Complex Chemical Equilibrium Compositions and Applications; Part 1: Analysis; Publication NASA-RP-1311: Cleveland, OH, USA, 1994. [Google Scholar]
 - Ma, Y.; Zhan, M.; Bao, F.; Sun, L.; Wei, R. Numerical Simulation of Ignition Transient for Solid Rocket Motors with Large Aspect Ratio. In Proceedings of the 2021 12th International Conference on Mechanical and Aerospace Engineering (ICMAE), Institute of Electrical and Electronics Engineers (IEEE), Athens, Greece, 16–19 July 2021; pp. 66–71. [Google Scholar]
 










Publisher’s Note: MDPI stays neutral with regard to jurisdictional claims in published maps and institutional affiliations.  | 
© 2022 by the authors. Licensee MDPI, Basel, Switzerland. This article is an open access article distributed under the terms and conditions of the Creative Commons Attribution (CC BY) license (https://creativecommons.org/licenses/by/4.0/).
Share and Cite
Sun, L.; Ma, Y.; Bao, F.; Liu, Y.; Hui, W. Extended Application and Experimental Verification of a New Erosive Burning Model Coupled Heat Transfer between Gas and Grain Based on a Star-Grain Solid Rocket Motor. Energies 2022, 15, 1564. https://doi.org/10.3390/en15041564
Sun L, Ma Y, Bao F, Liu Y, Hui W. Extended Application and Experimental Verification of a New Erosive Burning Model Coupled Heat Transfer between Gas and Grain Based on a Star-Grain Solid Rocket Motor. Energies. 2022; 15(4):1564. https://doi.org/10.3390/en15041564
Chicago/Turabian StyleSun, Lin, Yanjie Ma, Futing Bao, Yang Liu, and Weihua Hui. 2022. "Extended Application and Experimental Verification of a New Erosive Burning Model Coupled Heat Transfer between Gas and Grain Based on a Star-Grain Solid Rocket Motor" Energies 15, no. 4: 1564. https://doi.org/10.3390/en15041564
APA StyleSun, L., Ma, Y., Bao, F., Liu, Y., & Hui, W. (2022). Extended Application and Experimental Verification of a New Erosive Burning Model Coupled Heat Transfer between Gas and Grain Based on a Star-Grain Solid Rocket Motor. Energies, 15(4), 1564. https://doi.org/10.3390/en15041564
        
                                                
